科学材料站
文 章 信 息
重构Fe/Co双原子位点的配位环境以实现高效的锌空气电池氧电催化
第一作者:刘恒岐
通讯作者:徐平教授*,赵忠龙副教授*,钟俊教授*,宋波教授*
科学材料站
研 究 背 景
高效能量转换与存储技术对解决能源危机至关重要。锌-空气电池(ZABs)因高能量密度、成本效益和生态可持续性而备受关注,但氧还原/析出反应(ORR/OER)的缓慢动力学限制了其性能提升。氮配位的单原子碳基催化剂(M–N–C)作为贵金属替代品展现出潜力,但催化活性仍受限。优化金属位点的配位环境对于提升催化性能至关重要。以Fe–N–C为例,Fe原子通常与吡咯氮(五元环结构)或吡啶氮(六元环结构)结构配位,而吡咯氮的稳定性较差。因此,为提高催化稳定性,已在调控合成温度、改变前驱体中的配体、以及调控退火气氛等方面进行了大量工作,以增加吡啶氮配位的Fe–N含量。最近的研究发现,减少吡咯氮的含量并缩短吡啶氮配位的Fe–N键长,可显著改善ORR的活性和稳定性。
此外,OER活性位点为金属-氧结构,Fe–N–C中面外重构的轴向氧通常导致中等OER活性,而在合成中引入面内金属-氧键则可能降低ORR性能。由于ORR和OER过程中中间态结合能的线性关系,AEM难以解决该问题。激活LOM有望突破这一瓶颈,但M–N–C结构的刚性配位环境缺乏合适的桥氧,限制了LOM的激活。近年来,具有表面位点多样性和几何效应的双原子催化剂(M₁M₂–N–C)受到关注,为优化OER和ORR反应路径提供了平台。通过设计双原子中心的配位环境,实现面内重构形成桥氧,可将OER路径从AEM转向LOM,同时缩短M–N键以加速ORR动力学,克服两者路径制约。FeCo–N–C作为双功能双原子催化剂已展现潜力。利用吡咯氮和吡啶氮的C–N键能差异,吡咯氮可被优先去除。此前,LAAL方法通过锂与硫反应产生硫空位的策略已成功应用,鉴于锂也可与氮物种反应,我们推测引入锂离子可调控金属位点的配位环境,从而提升氧电催化性能。
科学材料站
文 章 简 介
近日,哈尔滨工业大学宋波教授、徐平教授与内蒙古大学的赵忠龙副教授,苏州大学的钟俊教授合作,在国际知名期刊Angewandte Chemie International Edition上发表题为“Reconstructing the Coordination Environment of Fe/Co Dual-atom Sites towards Efficient Oxygen Electrocatalysis for Zn–Air Batteries”的文章。该文章通过液氨辅助锂化手段优先去除吡咯氮而保留吡啶氮,实现了精准裁剪Fe/Co双原子位点的配位环境的目的,从而缩短Fe-N键以增强氧还原反应,并促进面内氧重构以降低氧析出反应的能垒。经过配位环境调整的Fe/Co双原子位点催化剂在锌空气电池中表现出优异的氧电催化性能。
通过密度泛函理论(DFT)评估了FeCo–N–C结构能量选择性调节吡咯氮位点的可行性。Bader电荷分析(图1a、1b)显示,锂化过程中带正电的锂离子优先与带负电的N原子结合。COHP分析(图1d–g)表明锂化先破坏五元环中的吡咯N,生成图1c所示结构。PDOS和d带中心分析(图1i、1j)显示,与原始FeCo–N–C相比,带吡咯氮空位的FeCo–N–C的d带中心更接近费米能级,有利于ORR及OER重构过程。
图1. DFT计算。a) FeCo–N–C模型和Bader电荷分布,b) FeCo–N–C/Li模型和Bader电荷分布。c) FeCo–N–C-1.25模型,其中五元C-N键在与Li反应后被破坏。棕色、白色、黄色、蓝色和绿色球体分别代表C、N、Fe、Co和Li原子。d) FeCo–N–C中六元C–N键的COHP曲线,e) FeCo–N–C中五元C–N键的COHP曲线,f) FeCo–N–C/Li中六元C–N键的COHP曲线,g) FeCo–N–C/Li中五元C–N键的COHP曲线。负COHP值的区域(蓝色)表示成键态;而正COHP值的区域(橙色)表示反成键态。h) 上述四种C-N键的键级。i) FeCo–N–C模型的PDOS图,j) FeCo–N–C-1.25模型的PDOS图。
基于理论计算,通过退火和LAAL两步法合成了样品。LAAL过程如图2a所示,所得样品呈超薄纳米片形貌,表面元素(N、Fe、Co、C)均匀分布且无金属颗粒聚集(图2b)。Cs校正STEM–HAADF图像显示纳米片上的双原子结构(图2c、2d),EPR谱图证实了VN的引入(图2e)。XAS分析表明,Fe和Co的氧化态分别接近2+和3+(图2f、2g),FT-EXAFS模拟确认LAAL后结构为FeCoN₄(图2h)。
图2. 结构和形貌表征。a) LAAL裁剪FeCo–N–C中的氮原子示意图。b) Fe、Co、C和N元素的TEM图像及能量色散X射线光谱图。c) 扫描透射电子显微镜高角环形暗场(HAADF–STEM)图像。d) 图c中标示的1和2中强度分布图。e) 不同锂化程度下FeCo–N–C催化剂的电子顺磁共振(EPR)谱图。f) Fe foil、FePc、Fe₂O₃和FeCo–N–C-1.25的Fe K边XANES谱图。g) Co foil、Co₃O₄、CoPc和FeCo–N–C-1.25的Co K边XANES谱图。h) FT-EXAFS谱图;插图显示用于拟合的结构模型。
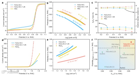
为验证C–N键配位调控对催化活性的影响,评估了电催化ORR性能。图3a-c显示,FeCo–N–C-1.25具有最高的起始电位(1.070 V)和半波电位(0.853 V)、最小的Tafel斜率(41.75 mV dec⁻¹)、最低的H₂O₂生成率(约9.6%)及最高的电子转移数(3.82)。在OER性能中(图3d、3e),FeCo–N–C-1.25的过电位为295 mV(η10),Tafel斜率为61.18 mV dec⁻¹,均优于FeCo–N–C。图3f表明,FeCo–N–C-1.25的ΔE仅为0.672 V,展现其在ZABs中的巨大潜力。
图3. 电催化ORR/OER性能。ORR性能:a) LSV曲线,b) 相应的Tafel图,c)电子转移数和H₂O₂产率。OER性能:d) LSV曲线,e) 相应的Tafel图。f) 所制备的单/双金属M–N–C样品中ORR的E1/2与OER的Ej=10之间的电位差。
为了系统地研究调整C–N键配位对FeCo–N–C和FeCo–N–C-1.25电子结构和氧物种演化的影响,进行了DFT计算(图4)。AEM和LOM路径均包含五个步骤:四个电化学步骤和一个非电化学步骤(O₂脱附)。在FeCo–N–C中,完全配位的Fe/Co金属中心有利于发生平面外重构,以吸附OH物种并形成Fe–OH/Co–OH(图4a)。A1通过OH的亲核进攻在电解质中发生放热去质子化,形成Fe–O/Co–O(A2)(图4b)。因此,FeCo–N–C遵循AEM路径。对五个步骤的计算能量比较表明,A2和A3之间的步骤(即形成*OOH中间体)是决定过电位的步骤(PDS)。Co和Fe位点的PDS反应能量相当(分别为1.86和1.89 eV,图4b)。相比之下,通过去除吡咯氮原子减少双原子FeCo的配位数,能够使d带中心上移,从而增强中间体的吸附能力(图1i和j) 。因此,在OER中重构使得形成类似于(氧)氢氧化物的活性构型成为可能,金属中心周围具有桥接O和端基OH 。更重要的是,面内重构形成的桥接O可以而触发LOM机制 。Fe位点的初始去质子化形成L2(A2的异构体0.76 eV(图4c)。相比之下,当桥接O促进去质子化时,Co位点显示出较低的反应能量(0.08 eV),这也导致PDS的反应能量较低(0.33 eV)。这一反应能量也低于FeCo–N–C-1.25中Co和Fe位点在AEM路径下的OER计算PDS(分别为0.58和1.09 eV)。因此,主导的反应机制是LOM路径,它是由Co位点去质子化引发的。O p和Fe/Co d轨道的态密度(PDOS)和波函数(图4d-g)表明σ键的存在导致FeCo–N–C-1.25的OER过程中生成了激活LOM的关键OO物种。
图4. OER中AEM到LOM转变验证。a) OER机制,即AEM(左)和LOM(右)。A1和L1分别是AEM和LOM的OER起始点。b) FeCo–N–C和c) FeCo–N–C-1.25催化剂中OER(从左到右)和ORR(从右到左)中间体的自由能。d, e) L2中O p轨道和Fe/Co d轨道的部分态密度(PDOS)。f, g) 显示M dz2轨道和O p轨道之间重叠的波函数,分别对应面板d、e中的蓝色虚线圆和面板d、e中的红色虚线框。
所得的FeCo-N-C-1.25双功能催化剂被负载在镍泡沫上,用于制备ZABs的空气电极(图5a,命名为电池A)。为对比,还研究了一种使用Pt/C和RuO₂混合物作为催化剂的对照电池(电池B)。电池A的充放电极化曲线之间的电压差较小,表明其具有优异的充放电性能(图5b)。电池A的最大功率密度为332 mW cm⁻²,远高于电池B的144.3 mW cm⁻²,也超过了大多数已报道的ZAB系统。电池A的比容量为804.5 mAh g⁻¹(10 mA cm⁻²),反映了锌的高利用效率,比电池B高约17%(图5d)。经过超过720小时的连续充放电操作后(图5e),电势差仅出现微小增加,表明该电池在氧电催化方面具有显著的稳定性和可逆性。这些结果强调了所提出策略在开发高效催化剂以应用于ZABs及相关能量转换装置中的巨大潜力。
图5. FeCo-N-C-1.25的ZABs性能。a) 锌空气电池的示意图。b) 电池在空气电极中的充放电极化曲线。c) 放电曲线及相应的功率密度曲线。d) 在10 mA cm−2下的恒电流放电曲线。e) 在10 mA cm−2下的恒电流充放电循环曲线。
科学材料站
本 文 要 点
要点一:利用LAAL方法裁剪吡咯N原子
根据密度泛函理论(DFT)计算,吡咯氮和吡啶氮的C-N键强度存在差异。我们在LAAL过程中调节锂化程度,以优先去除吡咯氮,并制备了不同的FeCo–N–C-X样品(X为使用的锂的毫摩尔数)。通过X射线吸收光谱(XAS)分析,确认优化后的FeCo–N–C-1.25催化剂具有显著的FeCoN4结构。
要点二:激活OER中LOM路径
在FeCo–N–C-1.25中,去除吡咯氮导致Fe-N键长度缩短,从而加速了ORR过程。此外,吡咯氮缺陷在OER过程中促进了金属位点平面内氧重构,触发了具有较低能垒的晶格氧机制(LOM)路径,并打破了AEM路径强加的线性标度关系。
要点三:优异的ZABs性能
使用该催化剂作为空气电极的ZABs表现出超过332 mW cm⁻²的最大功率密度以及优异的循环稳定性(>720小时),性能优于大多数已报道的非贵金属催化剂和Pt/C+RuO₂催化剂。
科学材料站
文 章 链 接
Reconstructing the Coordination Environment of Fe/Co Dual-atom Sites towards Efficient Oxygen Electrocatalysis for Zn–Air Batteries
https://doi.org/10.1002/anie.202419595
科学材料站
通 讯 作 者 简 介
徐平教授简介:徐平,在哈尔滨工业大学获得学士、硕士和博士学位,在美国能源部Los Alamos国家实验室进行联合培养(国家公派)、博士后研究。现任本科生院副院长兼教务处处长,龙江学者特聘教授,入选江苏省“双创人才”计划,入选科睿唯安2022年度全球“高被引科学家”。担任美国化学会ACS Applied Materials & Interfaces副主编,Polymers、《光散射学报》编委,黑龙江省能源环境学会常务理事。主要从事“功能导向纳米材料”研究,近年来以第一或通讯作者在Chem. Soc. Rev.、J. Am. Chem. Soc.、Adv. Mater.、Adv. Funct. Mater.等期刊发表SCI论文100余篇。获得Los Alamos国家实验室Distinguished Performance Award,黑龙江省自然科学一等奖3项(排序1、2、4)、科技进步二等奖1项(排序3),黑龙江省高等教育教学成果一等奖1项(排序5)、二等奖2项(排序1、2),中国石油和化工教育教学优秀成果二等奖1项(排序1)等荣誉。
赵忠龙副教授简介:内蒙古大学物理科学与技术学院副教授,硕士生导师。2015年毕业于吉林大学超硬材料国家重点实验室,获凝聚态物理博士学位;2015-2019年美国加州州立大学北岭分校博士后;2019年加入内蒙古大学物理科学与技术学院。入选内蒙古自治区第十批“草原英才”。主要从事纳米能源催化材料的第一性原理模拟工作,以第一作者、共同第一作者或通讯作者在Nat. Commun.、Angew. Chem. Int. Ed.,Adv. Mater.,Chem. Sci.,Adv. Energy Mater.,Nano Lett.、ACS Catal.,Phys. Rev. B等国际著名刊物发表研究论文多篇。主持国家自然科学基金、内蒙古自然科学基金等项目。
钟俊教授简介:苏州大学教授、博导,入选国家级青年人才计划。2002年获清华大学工学学士学位;2007年获中国科学院高能物理研究所凝聚态物理博士学位;2006.3-2007.4在美国劳伦斯-伯克利国家实验室ALS光源进行合作交流。2008.1-2010.8在中国科学院高能物理研究所任助理研究员;2010.9加入苏州大学功能纳米与软物质(材料)研究院。主要致力于同步辐射X射线谱学技术发展及其应用,利用多种谱学方法研究纳米能源材料电子结构与性能之间的关系。主持建设了合肥光源首条同步辐射软X射线谱学原位线站。累计发表SCI论文160余篇,其中第一作者/通讯作者论文70余篇,包括Angew. Chem. Int. Ed., Adv. Mater., Energy Environ. Sci.等国际重要刊物。设计搭建了多种原位谱学装置, 揭示了碳纳米材料内部的协同催化效应,提出了氧化铁纳米材料表面微观处理提升性能的新机制,获得多种高效催化剂。合作发表了包括Science, Nat.Commun., Angew. Chem. Int. Ed., JACS, Adv. Mater.等在内的多篇有重要影响力的论文, 其中Science工作入选“2015年度中国科学十大进展”。
科学材料站
课 题 组 主 页
https://homepage.hit.edu.cn/songbo?lang=zh
科学材料站
课 题 组 招 聘
https://mp.weixin.qq.com/s/GW8q99s6dysJ0j-EFsJ3wA
添加官方微信 进群交流
SCI二氧化碳互助群
SCI催化材料交流群
SCI钠离子电池交流群
SCI离子交换膜经验交流群
SCI燃料电池交流群
SCI超级电容器交流群
SCI水系锌电池交流群
SCI水电解互助群
SCI气体扩散层经验交流群
备注【姓名-机构-研究方向】
投稿请联系contact@scimaterials.cn
点分享
点赞支持
点在看

