科学材料站
文 章 信 息
通过溶液顺序沉积和固体添加剂协同作用实现高效无卤溶剂加工有机太阳电池
第一作者:李辉
通讯作者:张凯*
单位:华南理工大学
台湾碳能CeTech【W0S1011生碳布&W0S1011H亲水碳布】性能可靠 正品保证 科研必备!
科学材料站
研 究 背 景
有机太阳电池(OSCs)因其重量轻、柔韧性和易于溶液加工而被认为是一种很有前景的下一代光伏技术。高效OSC的活性层通常由聚合物给体和非富勒烯小分子受体构成。但如何使它们更好的相容并产生理想的形貌是影响光电转换效率的重要因素。溶液顺序沉积(LBL)得到的器件显示出p-i-n分离的结构,这被认为是有机太阳电池的理想结构。此外,添加剂的引入可以通过影响结晶行为、调整薄膜的干燥时间并诱导理想的相分离来仔细调节活性层的形态。然而,在OSC研究中很少看到这两种策略的组合。通过仔细优化给体和受体中的添加剂,预计可以进一步提高OSC的效率。
科学材料站
文 章 简 介
基于此,华南理工大学材料科学与工程学院发光材料与器件全国重点实验室张凯研究员等在国际知名期刊Adv. Funct. Mater上发表题为“High Efficiency Non-Halogenated Solvent Processed Organic Solar Cells Through Synergistic Effects of Layer-by-Layer and Solid Additiv”的研究论文。该论文介绍了由缺电子单元吡嗪作为中心核心组成的挥发性固体添加剂2,5-二溴吡嗪(DBP)和2-溴-5-碘吡嗪(BIP)。带负电荷的缺电子单元吡嗪很容易与受体相互作用,从而加强了受体层的π-π堆叠,增强了受体层的结晶,从而获得更理想的形貌。理想的形貌有助于激子的产生和解离、载流子迁移和收集,并减少双分子复合,最终显示BHJ器件中器件填充因子(FF)的显着改善。此外,将BIP被引入LBL器件以进行进一步研究。LBL和固体添加剂的协同作用可以更好地利用添加剂的优势来调节OSCs的形态。通过这种协同策略,基于PM1/BTP-eC9体系实现了19.63%的优异PCE,进一步应用于PM1/BTP-eC9:eC9-2Cl三元体系,PCE超过20%。
图1.给体、受体、固体添加剂和溶剂的(a)化学结构和(b)ESP分布图;(c)PM1和(d)BTP-eC9的吸收光谱;e)使用不同浓度BIP制备的LBL结构器件优化的热图。
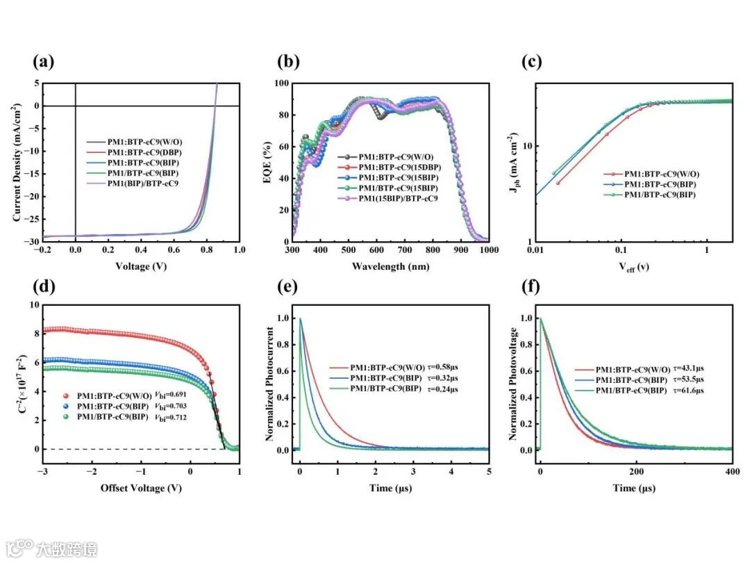
图2.(a)器件的J-V曲线和(b)EQE光谱;不同结构器件的(c)Jph−Veff曲线、(d)Mott-Schottky图、(e)TPC曲线和(f)TPV曲线。
图3. 不同结构器件的(a)空穴和电子载流子迁移率的比较、(b)Photo-CEILIV曲线、(c)Plight-VOC曲线、(d)Plight-JSC曲线、(e)非孪生系数与载流子密度的关系和(f)频率与介电常数的关系。
图4.(a)AFM;(b)2D GIWAXS图像;(c)IP和OOP方向上对应的1D剖面图和(d)薄膜形态变化示意图(I:BHJ器件中的原始薄膜,II:BHJ器件中加入BIP的薄膜,III:LBL器件中加入BIP的薄膜,IV:LBL器件中加入BIP退火后的薄膜)。
图5.(a)使用DBP处理器件的最优J-V曲线;(b)基于对照组和BIP处理的PM1/L8-BO及和D18/BTP-eC9器件的分布图;(c)给体和受体的能级图;三元器件最优的(d)J-V曲线和(e)EQE光谱;(f)已报道的LBL结构器件效率的总结图。
科学材料站
文 章 链 接
High Efficiency Non-Halogenated Solvent Processed Organic Solar Cells Through Synergistic Effects of Layer-by-Layer and Solid Additive
https://doi.org/10.1002/adfm.202505226
科学材料站
通 讯 作 者 简 介
张凯,研究员/博导,国家优青。2010年本科毕业于四川大学高分子科学与工程学院,同年获推免资格进入华南理工大学材料科学与工程学院攻读博士学位,导师曹镛教授。2015年博士毕业,于2016年1月在华南理工大学开展师资博士后研究工作,合作导师黄飞教授。2018年1月出站并留校工作至今(期间 2018年7月-2019年7月 香港科技大学 访问学者)。主要从事溶液加工高性能有机光电材料与器件的研究。在Nat. Commun., Adv. Mater., Joule等期刊发表SCI论文70余篇,主持基金委优秀青年基金等项目10余项,获中国发明专利7项,获2023年度广东省自然科学奖一等奖(排名第三)。
科学材料站
第 一 作 者 简 介
李辉,华南理工大学材料科学与工程学院2023级硕士研究生,主要研究方向为高性能有机太阳电池的制备研究。
添加官方微信 进群交流
SCI二氧化碳互助群
SCI催化材料交流群
SCI钠离子电池交流群
SCI离子交换膜经验交流群
SCI燃料电池交流群
SCI超级电容器交流群
SCI水系锌电池交流群
SCI水电解互助群
SCI气体扩散层经验交流群
备注【姓名-机构-研究方向】
投稿请联系contact@scimaterials.cn
点分享
点赞支持
点在看

