科学材料站
文 章 信 息
东华理工大学,华南理工大学,电子科技大学, ACS Energy Letters:三功能二乙烯三胺五乙酸添加剂实现高可逆锌阳极
第一作者:林诗雅、赵望
通讯作者:喻能*,郭凯*,王显福*
单位:东华理工大学,华南理工大学,电子科技大学
科学材料站
研 究 背 景
水系锌离子电池因其低成本、高离子电导率、高安全性以及高理论容量等优点,被认为是最有前景的下一代大规模储能系统。然而,不可控生长的锌枝晶、不可避免的析氢反应(HER)、局部pH值升高产生的惰性副产物碱式硫酸锌(ZHS)以及腐蚀反应降低了锌阳极的库仑效率(CE)并破坏了电池的稳定性。虽然大多数具有单一或两种功能的添加剂可以为锌阳极提供保护,但它们不能全面抑制上述三个问题,因为锌枝晶的生长、析氢反应和惰性副产物的积累是相互关联和相互促进的。因此,寻找对于全面保护锌阳极的多功能添加剂具有十分重要的价值。
科学材料站
文 章 简 介
近日,来自东华理工大学的喻能副教授与电子科技大学的王显福教授合作,在国际知名期刊ACS Energy Letters上发表题为“Highly Reversible Zinc Anode Enabled by Trifunctional Diethylenetriaminepentaacetic Acid Additive”的文章。该文章研究了硫酸锌电解液中引入添加二乙烯三胺五乙酸添加剂,可以在锌表面形成 “屏蔽效应 ”层以及原位分解形成有机-无机混合SEI,取代Zn2+溶剂化层中配位的H2O分子,并缓和电解液pH值的升高,从而极大地提高了锌阳极的可逆性和循环寿命。
科学材料站
本 文 要 点
要点一:DTPA调节Zn2+溶剂化结构
图1. DTPA的保护机制和溶剂化结构分析。(a) ZSO电解质和 (b) DTPA/ZSO电解质中锌沉积循环示意图。(c) ZSO和DTPA/ZSO的D2O的1H NMR光谱对比。(d) 含有和不含DTPA的ZSO电解质的傅立叶变换红外光谱和 (e) 拉曼光谱。(f) 不含DTPA的ZSO电解质和(g)含DTPA的ZSO电解质的分子动力学(MD)模拟快照。(h) ZSO电解质和(i)DTPA/ZSO 电解质中通过 MD 模拟收集的径向分布函数 (RDF)。
在纯ZnSO4电解质中添加DTPA后,D2O的1H峰向更高的化学位移移动,这意味着DTPA分子与水形成强氢键,游离水分子进一步减少。FTIR中的O-H伸缩振动的蓝移和SO42-吸收峰向高波段的转移,都表明了DTPA能够改变Zn2+的溶剂化结构。径向分布函数(RDF)和配位数(CN)的结果显示,DTPA会改变Zn2+的溶剂化结构,与拉曼光谱和红外光谱一致。
要点二:DTPA改变锌阳极/电解液界面
图2. DFT计算以及电解质成分与锌阳极之间相互作用的特征描述。(a)结合能。(b)H2O和DTPA的HOMO和LUMO能级。(c)H2O和DTPA在Zn金属表面的吸附能。(a)在DTPA/ZSO和ZSO电解液中收集的Zn||Cu电池的差分电容曲线。(b)锌箔在ZSO和DTPA/ZSO电解液中循环100次后的傅立叶变换红外光谱。(f)在电解质中循环100次后,锌箔的N 1s的高分辨率XPS光谱。
H2O和DTPA分子之间的结合能,以进一步验证DTPA与Zn2+离子具有更强的配位能力。与H2O的HOMO能级和 LUMO 能级相比,DTPA 的 HOMO 能级更高,LUMO 能级更低,这表明电子可以很容易地从 DTPA 转移到 Zn,并在Zn阳极形成 SEI。此外,通过理论计算以及多种实验手段证实了DTPA在Zn阳极表面具有强吸附。
要点三:调节锌沉积和抑制副反应
图3. DTPA添加剂关于抑制枝晶和副反应的电化学表征。(a) 在-150mV时Zn电极的计时安培曲线。(b) Tafel曲线。(c) LSV曲线。(d-e) 在5 mA cm-2循环条件下对称电池中ZSO、DTPA/ZSO和S-ZSO电解质的pH 监测。(g) 在10 mA cm-2条件下,记录不同时间的锌沉积原位光学可视化观测结果。(h) XRD图谱。
在DTPA添加剂的作用下,不仅实现了锌的均匀沉积,而且还有效抑制了锌阳极的腐蚀以及析氢反应等。因为其具有稳定pH值的作用,从而减少了惰性副产物ZHS的累积。
要点四:锌负极对称电池与全电池性能
图4. Zn||Zn对称电池 (a) 在 1 mA cm-2和0.5 mAh cm-2和(b) 5 mA cm-2和1 mAh cm-2条件下长期电镀/剥离曲线。(c) Zn||Zn 对称电池的倍率性能。(d) 1 mA cm-2、0.5 mAh cm-2下Zn||Cu电池中锌沉积/剥离的库伦效率。(e)不同电解质添加剂的性能比较。
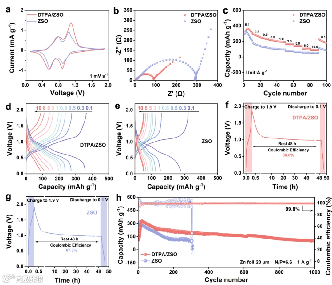
图5.全电池性能。(a) V2O5||Zn电池的循环伏安曲线。(b) 循环前的EIS图。(c) V2O5||Zn 全电池的速率性能,以及(d,e)使用 DTPA/ZSO 和ZSO电解质对应的充电/放电曲线。(f) DTPA/ZSO 和 (g) ZSO以1 A g-1完全充电至1.9V,然后电池静置48小时,接着完全放电至0.1V。(h) V2O5||Zn扣式电池在不同电解质中1 A g-1下的循环性能。
含有DTPA添加剂组装的Zn||Zn对称电池在1 mA cm-2和5 mA cm-2下能够稳定循环5000小时和4000小时,平均库伦效率高达99.4%。此外,在DTPA/ZSO中运行的V2O5||Zn 电池在1A/g的电流密度和低的N/P(6.6)下,循环 1000 次后仍能保持较高的容量保持率。
科学材料站
文 章 链 接
Highly Reversible Zinc Anode Enabled by Trifunctional Diethylenetriaminepentaacetic Acid Additive”
https://doi.org/10.1021/acsenergylett.4c01646
科学材料站
通 讯 作 者 简 介
喻能副教授简介:2016年博士毕业于华中科技大学武汉光电国家研究中心,博士师从朱明强教授和陈娣教授。2017年加入东华理工大学,现为化学与材料学院副教授。长期从事电化学储能研究,研究方向包括锌离子电池、超级电容器和锂离子电池。目前主持国家自然科学基金青年项目1项,江西省自然科学基金2项,江西省教育厅项目1项,省级开放基金2项。目前以第一作者/通讯作者在Adv. Energy Mater., J. Mater. Chem. A, ACS Appl. Mater. Interfaces,Sci. China Mater. 等学术刊物上发表多篇研究论文。
郭凯博士简介:2017年毕业于华中科技大学材料科学专业,2017年加入东华理工大学;主要研究方向为电化学储能材料,在国内外主流期刊发表SCI收录论文40余篇;主持各类基金项目10余项,其中国家级项目1项。
添加官方微信 进群交流
SCI二氧化碳互助群
SCI催化材料交流群
SCI钠离子电池交流群
SCI离子交换膜经验交流群
SCI燃料电池交流群
SCI超级电容器交流群
SCI水系锌电池交流群
SCI水电解互助群
SCI气体扩散层经验交流群
备注【姓名-机构-研究方向】
投稿请联系contact@scimaterials.cn
点分享
点赞支持
点在看

