科学材料站
文 章 信 息
源自木材碳原子的电子结构调控以提高锌空电池性能
第一作者:张盛玥
通讯作者:惠彬*
单位:青岛大学
科学材料站
研 究 背 景
锌空气电池(ZAB)具有制造成本低、能量密度高、环境友好和安全性高等优点,被认为是下一代储能系统的理想选择。空气阴极的氧还原反应(ORR)对于ZAB性能的改善至关重要。然而,与其他金属-空气电池装置类似,缓慢的ORR动力学阻碍了ZAB的商业化。铂基催化剂被认为是用于商业化ZAB的良好阴极材料,但高成本、稀缺性和不稳定性阻碍了其发展。近年来非金属碳基材料因其高表面积、良好的电子导电性、结构稳定性和低制造成本而成为新型氧电催化剂,在实际应用中显示出良好的发展前景。
科学材料站
文 章 简 介
基于此,来自青岛大学的惠彬特聘教授团队在国际期刊Journal of Materials Chemistry A上发表题为“Electronic structure regulation of carbon atoms from wood for enhancing Zn–air battery performances”的文章。该研究提出了一种嵌入氮和硫原子的轻木衍生碳作为非金属碳基电催化剂,以增强锌空气电池的ORR动力学过程。通过一步高温热解,同时实现了木材碳化/活化和氮、硫共掺杂,最终形成了氮、硫掺杂的碳化木材(NSCW-900)。生成的NSCW-900显示出排列整齐的微通道/分级孔隙、较大的比表面积和良好的润湿性,增加了活性位点并改善了反应动力学。N原子和S原子的引入改变了相邻碳原子的电子结构,使电荷得以重新分配,从而提高了本征催化活性。这项工作为将木材生物质转化为用于商业化ZAB的高性能和稳定的非金属碳基阴极材料铺平了道路。
科学材料站
本 文 要 点
要点一:
通过一步高温热解,同时实现了木材碳化/活化和氮、硫共掺杂,最终形成了氮、硫掺杂的碳化木材(NSCW-900)。三聚硫氰酸(TA)富含氮和硫元素,是碳材料中氮和硫的来源。N和S原子的引入调整了相邻碳原子的电子结构,导致电荷的重新分配和本征催化活性的提高。
图1. NSCW-900合成示意图
要点二:
轻木具有三维互连的多孔结构,20-80 μm的纤维通道和200-250 μm的大导管通道,为水和各种成分构建了高效的运输系统。在碳化过程中,木材通道和孔隙得以保留并且在垂直通道中形成了小孔隙,为电解质离子和电子的快速传输提供了有效途径。在催化过程中,气体易于从垂直开放通道流出,确保快速传质。微孔可以显著增加催化剂的比表面积,增强与反应物分子的接触,改善反应动力学。TEM图像显示NSCW-900由石墨碳和无定形碳组成(图2f)。石墨碳具有优异的导电性和稳定性,而无定形碳的高比表面积提供了大量的活性位点。
图2. NSCW-900与原始轻木的SEM、TEM图像
要点三:
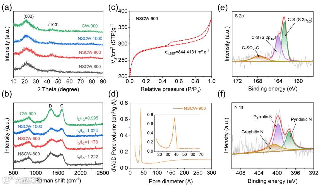
进行了XRD、Raman Spectrum、N2吸附-脱附和XPS分析。宽峰归因于石墨碳的(002)和(100)晶面,证明了样品的宏观碳质结构(图3a)。N2吸附-脱附等温线和孔径分布显示NSCW-900的BET比表面积为844.4 m2 g−1。由于在N和S原子掺杂过程中气体和挥发物的快速扩散,NSCW-900比CW-900具有更多的中孔。此外,NSCW-900中丰富的介孔有利于电解质中的离子传输,从而增强催化性能。
图3. NSCW-900及其对比样品的XRD、Raman Spectrum、N2吸附-脱附和XPS表征
要点四:
在氧饱和的0.1M KOH溶液中进行电化学测试,以评估NSCW样品的ORR活性。如图4a所示,NSCW-900显示出0.93 V的起始电位和0.832 V的半波电位(E1/2)。将ORR活性其他文献研究的相关催化剂性能进行比较,显示出NSCW-900优越的催化活性。除此,NSCW-900也具有与Pt/C相当的Tafel斜率。计时电流法测试在1600 rpm下研究催化剂的耐久性,NSCW-900的电流密度在50000 s内保持在91.9%(图4d)。经过3000次加速循环测试后,NSCW-900的E1/2几乎没有衰减(图4f),表明其优异的稳定性。
图4. NSCW-900及其对比样品的电化学性能
要点五:
在碳化过程中,木材通道和孔隙得以保留,使轻木成为合适的碳源。引入TA作为N、S源,形成N、S共掺杂的非金属碳基催化剂,两个杂原子之间的协同效应可以有效调控电催化剂的电子性质和表面极性。石墨态氮决定了极限电流密度,吡啶态氮提高了起始电位。S原子以噻吩和硫氧化物的形式存在于碳平面的边缘区域或缺陷位置,这有助于平衡ORR过程中反应物和产物的化学吸附和脱附。合适的碳化温度有利于调节石墨氮、吡啶氮和噻吩硫的含量和比例,使其以高含量引入碳骨架,增加活性中心的密度,从而提高ORR活性。
图5. NSCW-900体系中ORR过程机制示意图
要点六:
为了评估NSCW-900在ZAB中的应用潜力,使用标准气体扩散电极技术组装了水系可充电ZAB。基于NSCW-900的ZAB的最大功率密度达到149 mW·cm-2。在125 h的循环后,NSCW-900的充放电电压差为0.87 V(图6g),表明其具有良好的循环稳定性。
图6. NSCW-900基ZAB性能
科学材料站
文 章 链 接
Electronic structure regulation of carbon atoms from wood for enhancing Zn–air battery performances
https://doi.org/10.1039/D4TA07226J
科学材料站
通 讯 作 者 简 介
惠彬,博士,青岛大学特聘教授,硕士生导师,山东省优青。2017年博士毕业于东北林业大学材料科学与工程学院/生物质材料科学与技术教育部重点实验室,师承我国木材领域的著名专家李坚院士。2015-2016年获国家留学基金委公派在美国奥本大学林产品实验室访学一年。该团队长期致力于木/竹/海藻生物基功能材料研究,利用天然的生物纳米/分子结构导向构建了先进的电催化材料与环境催化材料。近年来在Advanced Energy Materials、Applied Catalysis B-Environmental等国内外著名期刊上发表SCI论文47篇,ESI高倍引论文3篇,热点论文1篇;授权国家发明专利12件;参编《木竹材仿生与智能响应》和《海藻基能源环境材料》专著2部。主持山东省优秀青年基金、山东省高校青年创新团队项目、国家自然科学基金青年项目等近10项科研项目。
科学材料站
第 一 作 者 简 介
张盛玥(1999年11月),青岛大学化学化工学院2022级硕士研究生,本科就读于青岛大学化学化工学院(2018-2022)。师从惠彬特聘教授,主要从事木基锌空气电池阴极电催化剂的制备及其氧还原反应机理研究。
添加官方微信 进群交流
SCI二氧化碳互助群
SCI催化材料交流群
SCI钠离子电池交流群
SCI离子交换膜经验交流群
SCI燃料电池交流群
SCI超级电容器交流群
SCI水系锌电池交流群
SCI水电解互助群
SCI气体扩散层经验交流群
备注【姓名-机构-研究方向】
投稿请联系contact@scimaterials.cn
点分享
点赞支持
点在看

