科学材料站
文 章 信 息
快速合成的LiTaOCl4固态电解质实现全固态电池4分钟的快速充放电
第一作者:李林
通讯作者:李思吾*,余创*
单位:西安电子科技大学,华中科技大学
科学材料站
研 究 背 景
近年来,固态电池(ASSBs)因其高能量密度和安全性而备受关注。然而,传统固态电解质的离子导电性和界面稳定性仍然是限制其商业化应用的关键挑战。尤其是在高倍率充放电过程中,固态电解质的电阻变化会显著影响电池的性能。为了克服这些障碍,研究者们积极探索新型固态电解质,以提高其离子导电性和界面兼容性。在众多固态电解质材料中,LiTaOCl4(LTOC)因其优异的离子导电性和相对较高的电化学稳定窗口而受到广泛关注。然而,已报道合成方法耗时较长且效率低下,限制了其大规模应用的潜力。因此,开发一种快速、高效的合成方法对于推进固态电解质的应用至关重要。
科学材料站
文 章 简 介
近日,华中科技大学余创教授和西安电子科大学的李思吾副教授合作在国际知名期刊《Advanced Functional Materials》上发表题为“A Rapid Synthesis of Amorphous LiTaOCl4 Solid Electrolytes Through a Two-Step Reaction Pathway for High-Rate and Long-Cycling Lithium Batteries”的研究性文章。华中科技大学的李林博士为本文第一作者。本研究报告了一种简便的球磨法,在4小时内快速合成无定形氯化物固态电解质LiTaOCl4(aLTOC)。我们探讨了不同合成时间对aLTOC微观结构和离子导电性的影响。通过理论计算和是实验结合的方法探讨了aLTOC对高镍正极(Li[Ni0.9Co0.05Mn0.05]O2)和Li5.5PS4.5Cl1.5硫化物电解质的电化学稳定性。在组装的双层固态电池中,aLTOC对具有ZrO2涂层的高镍正极材料及Li5.5PS4.5Cl1.5硫化物固态电解质展现出优良化学稳定性,进而促进了高倍率和长循环寿命的卤化物基全固态电池的实现,更是在30度和60度下实现了全固态电池10C倍率下的快速充放电,充电时间可以缩短到约4分钟,分别经过2000次和1000次循环后,电池容量保持率分别为84.4%和77.4%。即使在-20°C的低温下,电池仍能实现超过1600次循环,容量保持率为76.3%(在0.5C倍率下)。
图1. a) 不同球磨时间的XRD图谱;b) 拉曼光谱;c) 不同球磨时间的离子导电性;d) 活化能;e) 不同氯化物固态电解质离子导电性与球磨时间的关系总结(详见支持信息表S1);f) 形成和饱和阶段的模型。深绿色不规则几何体代表LiCl和Li-Ta-O-Cl,浅蓝色矩形和黄色箭头分别表示无定形基质和Li+迁移路径。
图2. a) 双层电池(Cell 1)和混合电池(Cell 2)的结构示意图;b) Cell 1和c) Cell 2在60°C下随时间变化的EIS谱;d) 原始双层界面、e) 在60°C下150小时后的双层界面,f) 在60°C下150小时,施加4.3−2.7 V偏置电压后的界面SEM图像。g) aLTOC+LPSCl1.5混合固态电解质样品的Ta 4f XPS谱在原始状态下,h) 150小时后的谱,i) 各部分的对应百分比;j) TaO2Cl4中S取代的O和Cl位点的结构图及自由能。
图3. a–c) NCM955-SEs和ZrO2-SEs之间的相互反应能量,其中SEs包括aLTOC、LTC和LPSCl1.5。d) 放电曲线和e) ZrO2@NCM955+aLTOC电池与bare@NCM955+aLTOC电池在1C和30°C下的循环性能。f) ZrO2@NCM955+aLTOC电池与g) bare@NCM955+aLTOC电池在循环前后的阻抗谱,以及h) 相应的DRT曲线。
图4. ZrO2@NCM955+aLTOC|aLTOC|LPSCl1.5|Li-In电池在不同工作温度下的放电曲线:a) 30°C,b) 60°C,c) −20°C。d) 不同温度下的倍率性能。e) 放电曲线(实线为第1圈循环,虚线为第300圈循环,虚划线为第500圈循环)以及f) 30°C和60°C下2C倍率的长循环性能。
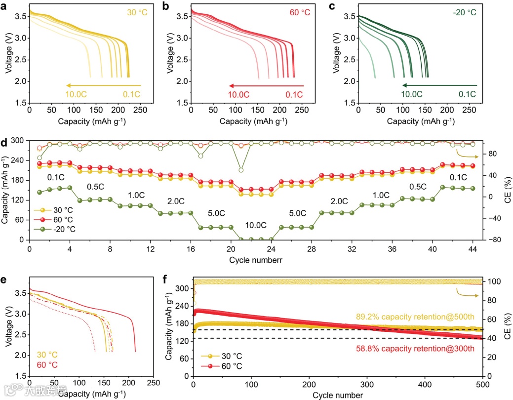
图5. a–c) ZrO2@NCM955+aLTOC|aLTOC|LPSCl1.5|Li-In电池在不同温度下的充放电曲线;d–f) dQ/dV−1曲线;g–i) 长时间循环性能。30°C和60°C下电池的电流密度为10 C,而在−20°C下的电流密度为0.5 C。
科学材料站
总 结
总之,我们采用两步反应路径通过球磨法合成了aLTOC电解质,显著缩短加工时间至仅4小时。该电解质实现了高达5.03 mS cm−1的离子导电性,以及约4.1 V(相对于Li/Li+)的电化学氧化电压上限。在升高的温度和偏置电压的共同作用下,双层固态电池中aLTOC电解质对LPSCl1.5表现出比Li3InCl6更小的电阻变化,显示出优良的界面稳定性,并首次通过SEM观察到硫/氯的界面演变。此外,aLTOC固态电解质与ZrO2@NCM955阴极的兼容性良好,组装的ZrO2@NCM955+aLTOC电池在10C下展现出优异的循环稳定性,实现了约4分钟的极短充放电时间。更重要的是,这些电池在30°C和60°C下分别经过2000次和1000次循环后,容量保持率分别为84.4%和77.4%。即使在-20°C的低温下,电池仍能实现超过1600次循环,容量保持率为76.3%(在0.5C下)。本研究为无定形氯化物固态电解质的大规模生产及其在高性能全固态锂电池中的应用铺平了道路。
科学材料站
文 章 链 接
A Rapid Synthesis of Amorphous LiTaOCl4 Solid Electrolytes Through a Two-Step Reaction Pathway for High-Rate and Long-Cycling Lithium Batteries
https://doi.org/10.1002/adfm.202410008
科学材料站
通 讯 作 者 简 介
余创:华中科技大学电气与电子工程学院教授,九三学社社员,国家海外高层人才青年项目入选者,湖北省青年专家,武汉市“武汉英才“产业领军(创新类)人才入选者,湖北省科技厅高端专家库专家。2017年于荷兰代尔夫特理工大学获博士学位:先后在荷兰代尔夫特理工大学和加拿大西安大略大学从事博士后研究工作,2020年12月加入华中科技大学电气工程学院。近年研究方向主要为面向电网的电化学储能技术,高性能全固态电池关键材料和技术及极端环境下应用的固态储能器件开发等。目前承担或参与国家自然科学基金面上项目(主持)、科技部重点研发计划新能源汽车重点专项(青年科学家项目,技术骨干),科技部重点研发计划智能电网技术重点专项(青年科学家项目,技术骨千),工信部项目等多项科研项目 。已经在 J. Am. Chem. Soc.,Nature Communications,Energy Storage Materials等国际期刊发表论文150多篇,发表文章被引用7000余次,发表英文专章3章,担任国际期刊 Batteries编委Frontiers in Energy Research期刊客座编辑担任Energy Environmental Materials, Journal of Energy Chemistry, Energy Materials Advance, eScience,Chinese Chemical Letters,Rare Metals等多个期刊青年编委。
李思吾:西安电子科技大学前沿交叉研究院菁英副教授。2014年本科毕业于北京理工大学化学专业,2020年博士毕业于北京理工大学无机化学专业,同年进入华中科技大学电气与电子工程学院开展博士后工作。目前主要从事晶态多孔材料及衍生物的设计制备及其在新型电化学储能体系和气体传感器中的应用和机理研究,近年来主持和参与多项国家自然科学基金、博士后基金以及省部级项目,共发表SCI论文30余篇,其中以第一/通讯作者身份在Nat. Commun.、Adv. Mater.、Energy Environ. Sci.、ACS Energy Lett.、Energy Storage Mater.、Chem. Eng. J.、J. Mater. Chem. A等国际权威学术期刊发表论文11篇,累计引用次数3500余次,H指数24,授权发明专利8项。
科学材料站
第 一 作 者 简 介
李林:华中科技大学化学与化工学院博士研究生,导师为余创教授,研究方向为卤化物、硫化物固态电解质的开发及电极/电解质界面设计。
添加官方微信 进群交流
SCI二氧化碳互助群
SCI催化材料交流群
SCI钠离子电池交流群
SCI离子交换膜经验交流群
SCI燃料电池交流群
SCI超级电容器交流群
SCI水系锌电池交流群
SCI水电解互助群
SCI气体扩散层经验交流群
备注【姓名-机构-研究方向】
投稿请联系contact@scimaterials.cn
点分享
点赞支持
点在看

