科学材料站
研 究 背 景
人们为提高锂离子电池的能量密度做出了巨大的努力,其中设计厚电极是一种很有前途的方法。一般来说,提高能量密度主要有两种方法。一是开发更高性能的新型电极材料,二是通过电极结构工程来增加电极上活性材料的负载。然而,新型电极材料的研究和应用往往面临诸多挑战,需要克服各种潜在的问题。因此,电极结构工程提供了一种在不改变现有化学材料体系的情况下进一步提高电池能量密度的通用可行方法。其中,增加电极厚度是最为直接和有效的方法。然而电极厚度的增加会延长电荷的传输路径,缓慢的动力学引起的反应异质性会导致电极的电化学性能快速恶化。因此,为了促进厚电极的实际应用,研究人员针对厚电极的动力学性能改善做出了大量努力,包括梯度电极结构、定向孔道结构以及新型电极结构等等。事实上,电极过程与动力学和热力学都相关,然而热力学的影响却被人们长期所忽视。这项工作创新性地研究了动力学和热力学的耦合作用对电极过程的影响,并通过可视化电极过程对它们进行了竞争分析。这项工作为高性能厚电极的开发工作提供了全新的设计思路,不再局限于动力学或热力学。
科学材料站
研 究 简 介
这项工作创新性地研究了动力学和热力学的耦合作用对电极过程的影响,并通过可视化电极过程对它们进行了竞争分析。结果表明,倾斜的平衡电位曲线有利于电极的均匀利用,但严重的动力学制约会使得热力学调控作用失效。因此,修改电极的热力学性质来加强调控作用是一种很有前途的方法。此外,动力学制约是限制电池容量释放的本质因素。深入分析表明,保证离子和电子的混合控制可以显著缓解动力学反应的不均匀性。
要点一:电极反应波动的起源--热力学
电极的反应速率通常由B-V方程所描述:
放电过程中η由下式计算:
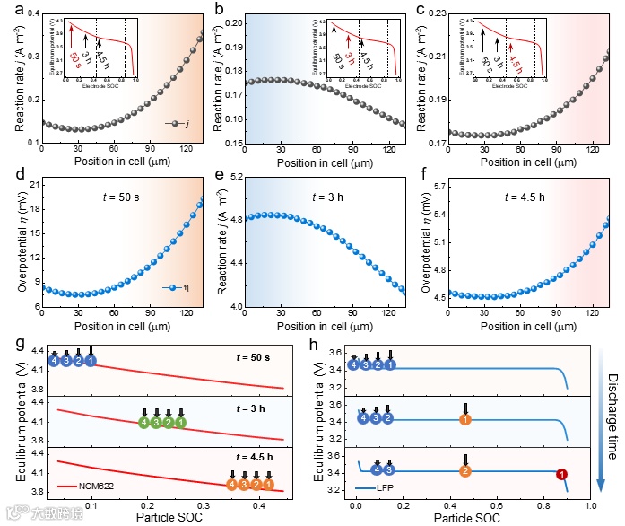
对于平衡电势的倾斜段,锂化程度的加深,Ueq降低。根据上式,Ueq降低,反应过电位η也会随着降低,进而反应速率j相应降低。放电初始隔膜侧优先反应,随后集流体侧反应速率高于隔膜侧,热力学的调控作用使得电极尽可能的均匀锂化。图1d-f分别展示了三个时刻下电极的反应过电势分布,很好地证明了平衡电势这一热力学因素对电极的调控作用。值得指出的是,平衡电位曲线的倾斜程度决定了热力学调控作用的强弱,而动力学和热力学的竞争关系则决定了复杂的电极过程。对于平台段的平衡电位曲线(例如:LFP)则不具有这种能力,动力学引起的反应异质性将持续进行。
图1. 电极反应波动起源的证明。(a-c) 厚电极的局部反应速率分布。(d-f) 厚电极反应过电位分布。(g-h) NCM622和LFP电极的锂化过程示意图
要点二:动力学和热力学的竞争分析
NCM622薄电极和厚电极在不同倍率下的放电电压曲线如图2所示,薄电极表现出不错的倍率性能,而厚电极表现出快速恶化的倍率性能。图2d和2e分别展示了薄电极在不同倍率下可视化的电极反过程。锂化过程中的局部SOC分布图中的两条黑色虚线分别是SOC=0.43和0.9的等值线,对应着不同倾斜阶段的转变。随着放电倍率的增加,电极过程的反应速率波动变得愈加剧烈。同时,两次波动的波距逐渐缩小,表现出合并的趋势,表明热力学的调控作用正逐渐减弱。提高电流密度加剧了动力学制约,使得锂化状态分布变得更不均匀。与薄电极相比,提高厚电极的倍率引起的反应速率波动要剧烈的多。在0.5C下,热力学依旧可以实现不错的调控作用,两次波动依然存在。当电流密度增加至1C时,反应速率波动已经合并,表明平衡电势曲线的前两个阶段的热力学调控作用已经失效。继续增加放电倍率,反应速率将仅在隔膜侧发生,集流体侧的活性物质不再被利用,电池容量失效。简而言之,对薄电极来说,热力学的主导地位决定了不错的倍率性能。而厚电极在高倍率时由动力学主导,热力学的失效使得容量快速的衰减。
图2. NCM622薄电极和厚电极的动力学与热力学竞争分析
要点三:动力学制约的深入分析
尽管热力学可以调控动力学反应异质性,但是导致电极活性物质利用不均的根本原因在于缓慢的动力学本身,其主要包括离子和电子的传输。对固定载量的厚电极进行了不同程度的压延,其离子和电子的传输的示意图如图3a所示。过高的孔隙率会导致电子传输路径的不连通,而过低的孔隙率却会导致离子传输困难。S1 to S5 分别对应着孔隙率为0.68,0.6,0.55,0.5和0.4的厚电极。图3b展示了不同孔隙率的厚电极在放电结束时的锂化状态分布。孔隙率过高,电极受电子传输控制,仅集流体侧的活性物质得以被利用。孔隙率过低,电极受离子传输控制,仅隔膜侧的活性物质得以被利用。只有合适的孔隙率才能保证电极受到电子和离子的协同控制,电极得以均匀利用并实现较高的容量保持。相比于薄电极,厚电极对孔隙率这一参数更为敏感,仅在较小的范围内可以保持安全容量。最后,总结了动力学对电极性能的控制机制。电子和离子的传输机制将孔隙率划分为了危险区域和安全区域,并且随着电极载量的增加,安全区域逐渐缩小。因此想要实现对厚电极的应用推广,孔隙率的控制需要更为精准的把控。
图3. 不同压延程度电极的模拟结果
要点四:动力学和热力学的竞争的概念验证
为了追求更高的体积能量密度,工业上电极会被实施尽可能更高程度的压延,以维持较低的孔隙率。因此从电极实用角度出发,缓解离子传输制约的挑战是更迫切的。通过激光图案工艺制造了具有垂直通道结构的电极,垂直通道的存在极大程度的缓解了离子传输的限制,离子不在需要通过迂曲的孔隙网络,而是直接到达集流体。即使在4C的高倍率下,电池也并未失效,实现了63%的容量保持。在较低倍率下,动力学并未成为制约因素,垂直通道结构对电极性能影响不大。在高倍率下,二者差异开始显现,表明离子传输通过垂直通道结构得到了强化。为了阐明垂直孔道结构对电极的作用,分别对采用垂直通道结构和常规结构的电极进行了模拟。采用垂直通道结构的电极表现出均匀的锂化状态,而常规结构的电极严重不均匀锂化。采用垂直通道结构的设计很大程度缓解了动力学制约,电流密度分布变得更加均匀。此外,缓解动力学限制使得热力学的调控作用再次显现,放电末期电极反应速率分布反转,使得电极最终呈现均匀的锂化状态分布。这表明,热力学重新主导了电极过程。
图4. 动力学和热力学的竞争的概念验证
科学材料站
文 章 链 接
相关研究论文以“Rational design of thick electrodes in lithium-ion batteries by re-understanding the relationship between thermodynamics and kinetics”为题在线发表于能源领域权威期刊《Advanced Functional Materials》,先进电源实验室博士生付康为论文第一作者,谈鹏教授为论文通讯作者。
https://doi.org/10.1002/adfm.202409623
科学材料站
通 讯 作 者 简 介
谈鹏教授简介:中国科学技术大学热科学和能源工程系执行主任、博导,入选中国科学院(2018)、安徽省(2019)和国家(2020)人才计划青年项目。主要从事电化学能源系统中多场耦合能质传递与转化问题研究,包括物种输运特性、能质传递及转化机理和调控机制。近年来,主持国家重点研发计划“储能与智能电网技术”重点专项青年科学家项目、国家自然科学基金青年/面上项目、安徽省自然科学基金和企业技术开发项目多项。已在PNAS、AEM、AFM、EnSM等国际知名学术期刊上发表SCI论文170余篇,总引用6900余次,H指数46,连续四年入选斯坦福大学“前2%科学影响力榜单”及“终身科学影响力榜单”;授权中国发明专利10余项。担任Energy Reviews编委、Advanced Powder Materials特聘编委、Research青年编委等。积极与国轩高科、国家电网等知名企业开展合作,推动新型储能电池技术的实用化。
科学材料站
第 一 作 者 简 介
付康:目前为中国科学技术大学博士研究生,研究方向为锂离子电池模拟仿真。目前已在Journal of Power Source、Advanced Functional Materials等国际期刊发表多篇文章。
科学材料站
课 题 组 介 绍
课题组(先进电源研究组)网站:https://institution.ustc.edu.cn/AdvancedBatteryGroup
添加官方微信 进群交流
SCI二氧化碳互助群
SCI催化材料交流群
SCI钠离子电池交流群
SCI离子交换膜经验交流群
SCI燃料电池交流群
SCI超级电容器交流群
SCI水系锌电池交流群
SCI水电解互助群
SCI气体扩散层经验交流群
备注【姓名-机构-研究方向】
投稿请联系contact@scimaterials.cn
点分享
点赞支持
点在看

