科学材料站
文 章 信 息
一种高倍率水系锌离子电池三元复合正极材料的设计
第一作者:李强,王艳宜
通讯作者:马定涛*,孙世昌*,权宗刚*
科学材料站
研 究 背 景
钒基化合物具有丰富的价态,在电化学反应过程中具有多个氧化还原电位,可以实现多电子转移,理论上具有较高的理论比容量和高倍率性能,是构建高性能水系锌离子电池的理想选择。然而,其在实际应用中循环性能与倍率性能仍需极大提升从而达到实用要求。针对上述问题,如何研发具有超高倍率与超长循环寿命的钒氧化物电极材料仍然是研究的难点。该文章提出了一种适用于高倍率水系锌离子电池三元复合正极的设计,通过发挥不同组分的优势同时实现高能量密度和高功率密度,最终得到高性能锌离子电池。本文为锌离子电池未来发展提供了新思路和新方向,有助于加快锌离子电池正极材料领域的研究及实际应用。
科学材料站
文 章 简 介
近日,来自深圳大学的马定涛助理教授,孙世昌副教授以及西安墙体材料研究设计院权宗刚博士合作,在国际知名期刊Journal of Power Sources上发表题为“A fast-kinetics ternary composite cathode design for high-rate aqueous zinc-ion batteries”的研究文章。文章报道提出了一种适用于高倍率水系锌离子电池三元复合正极(VSe2/V2O5⋅nH2O/rGO)的设计思路,充分利用V2O5⋅nH2O的高比容量,VSe2的快速传输动力学以及rGO构建的三维框架结构等各组分的独特优势,实现了优异的储锌性能,在5 A g-1的条件下输出了254 mAh g-1的比容量。此外,还深入研究该材料的储锌机制以及反应动力学机制。
科学材料站
本 文 要 点
要点一:VSe2/V2O5⋅nH2O/rGO三元复合材料的构建
采用一步水热法合成VSe2/V2O5⋅nH2O/rGO复合材料。其中,rGO充当载体,具有明显褶皱,表面粗糙并且出现一些缝隙,形成了丰富的镂空结构。VSe2/V2O5⋅nH2O晶核能够均匀的锚定在rGO 表面并逐渐长大形成大颗粒晶体。与此同时,晶粒的生长也抑制了rGO 的重叠,在二者的协同作用下,材料具有更多的活性位点,有助于电解液在材料表面的浸润,缩短了Zn2+扩散距离,赋予VSe2/V2O5⋅nH2O/rGO快速动力学。
图1. VSe2/V2O5⋅nH2O/rGO 复合材料的微观形貌
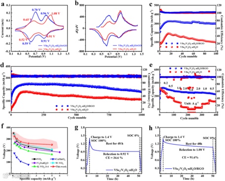
要点二:VSe2/V2O5⋅nH2O/rGO具有优异的电化学性能
得益于特殊的结构,VSe2/V2O5⋅nH2O/rGO不仅表现出良好的循环稳定性(在0.2 A g-1下循环100圈容量保持率到92.4%),还表现出良好的倍率性能(5A g-1的条件下比容量为254 mAh g-1),具有优异的电化学性能。除此之外,VSe2/V2O5⋅nH2O/rGO还极大地缓解了电池的自放电行为。
图2. VSe2/V2O5⋅nH2O/rGO 复合材料的电化学性能
要点三:非原位技术揭示材料演变过程
初始状态时,电极材料的衍射峰与粉末材料保持一致,经历一次充放电循环后,物相演化为具有层状结构的Zn3(OH)2V2O7·2H2O(简称ZVO),特别是位于12.3°、20.9°、34.1°和36.4°的衍射峰,随后出现规律性地变化。在放电过程中,其特征X射线衍射峰向低角度偏移,这是由于Zn2+嵌入ZVO 层间,导致ZVO的层间距被Zn2+撑大。随着充电过程的进行,Zn2+逐渐脱出ZVO 的层间,层间距逐渐恢复到原有状态, 极片的XRD 衍射峰又恢复到初始位置, 说明VSe2/V2O5⋅nH2O/rGO 衍生的ZVO 具有良好的结构稳定性。此外,经多圈循环后,VSe2/V2O5⋅nH2O发生明显粉化,离子不能有效传输到结构内部。而在VSe2/V2O5⋅nH2O/rGO 电极中,由于rGO 起到良好的导电和连接作用,虽然经过长循环后仍有粉化现象,但粉化后的颗粒较VSe2/V2O5⋅nH2O更大,且每个颗粒之间有薄薄的RGO 相互连接,不会导致颗粒粉化后直接脱离集流体,进一步说明VSe2/V2O5⋅nH2O材料与rGO 复合后,材料具有更稳定的结构。
图 3.VSe2/V2O5⋅nH2O/rGO的非原位XRD及非原位FESEM
科学材料站
文 章 链 接
A fast-kinetics ternary composite cathode design for high-rate aqueous zinc-ion batteries
https://doi.org/10.1016/j.jpowsour.2024.235478
科学材料站
通 讯 作 者 简 介
马定涛助理教授简介:深圳大学助理教授,特聘副研究员,硕士生导师。深圳市海外高层次人才、Energy Lab期刊青年编委,新质力材料发展联盟专家智库常务理事。主要从事二次电池关键材料的设计与开发研究。以(共同)第一/通讯作者身份发表SCI论文 40余篇,引用近4000次,h 因子 35 (Google Scholar),主持国家、省、市级科研项目多项。
孙世昌副教授简介:深圳大学特聘研究员,博士生导师,主要从事污水处理、固废资源化、电化学等方向的研究工作,主持国家、省、市级科研项目多项,在Renewable and Sustainable Energy Reviews,Chemical Engineering Journal,Journal of Hazardous Materials,Bioresource Technology,Applied Energy,Energy Conversion and Management等期刊发表SCI论文60余篇。
科学材料站
课 题 组 介 绍
https://chem.szu.edu.cn/szdw/jxdanwe/nykxygcx/zljs/mdt.htm
添加官方微信 进群交流
SCI二氧化碳互助群
SCI催化材料交流群
SCI钠离子电池交流群
SCI离子交换膜经验交流群
SCI燃料电池交流群
SCI超级电容器交流群
SCI水系锌电池交流群
SCI水电解互助群
SCI气体扩散层经验交流群
备注【姓名-机构-研究方向】
投稿请联系contact@scimaterials.cn
点分享
点赞支持
点在看

