科学材料站
文 章 信 息
第一作者:李雅文
通讯作者:王玉生副教授;孙宝全教授
单位:苏州大学
台湾碳能CeTech【W0S1011生碳布&W0S1011H亲水碳布】性能可靠 正品保证 科研必备!
科学材料站
研 究 背 景
在全球对清洁能源需求日益增长的背景下,太阳能电池凭借其可再生、无污染的特性,受到了国际社会的广泛关注。硅异质结(SHJ)太阳能电池因其高效率、低温制备工艺以及出色的稳定性,在光伏领域占据了重要地位。然而,当前SHJ太阳能电池的效率与理论极限之间仍存在显著差距,其中关键因素之一是SHJ电池由于其上表面的ITO层和a-Si:H层的带隙不够大,能够吸收短波长的光,导致SHJ电池前表面存在较为严重的寄生吸收,由此导致的短路光电流密度(Jsc)较低。为了进一步提升SHJ太阳能电池的效率,研究者们尝试引入荧光下转换(LDS)层,将高能短波长光子转换为低能长波长光子,避免这些光子被前表面的ITO层和a-Si:H层吸收,从而增强电池对短波长光的响应能力。
尽管目前已有多种材料(如有机染料、荧光粉、量子点等)被应用于LDS层以提升电池的短波长光响应度,但大多数研究主要集中在材料的合成与制备上,将效率提升更多地作为应用展示,而对LDS层性能与电池电学性能之间关系的深入研究相对较少。因此,当前在LDS层材料选择和器件性能优化方面,更多依赖于实验探索,缺乏系统的理论指导,这也在一定程度上限制了LDS技术的进一步发展。
科学材料站
文 章 简 介
基于此,来自苏州大学功能纳米与软物质学院的孙宝全教授团队在国际知名期刊 Advanced Energy Materials 上发表题为:“Critical Factors and Equilibrium Analysis of Luminescent Down-Shifting Process for Silicon Heterojunction Solar Cells”的研究工作。该工作系统地研究了LDS的光转换过程,建立了一个实用的模型将LDS层的性能与电池的电学性能建立联系,对于筛选适合用于LDS层的材料具有指导意义。
科学材料站
本 文 要 点
要点一. 建立了LDS层性能与电池电学性能之间的联系
通过建立了简化的光学射线模型,详细分析了垂直照射到硅电池表面的光在LDS层中可能发生的过程,得到了具有LDS层的太阳能电池EQE的理论计算公式:
图1. a) 双面硅异质结(SHJ)太阳能电池的典型器件结构。b) 标准太阳光谱(灰色曲线)、本研究中使用的SHJ太阳能电池的EQE光谱(红色曲线),以及SHJ器件的表面反射部分(蓝色区域)。寄生吸收部分(红色区域)。c) 含有LDS层的SHJ太阳能电池的示意图。d)垂直入射的光在 LDS层中的三种可能的过程。
并探究了上述公式中的变量(如LDS层的吸光情况,PLQY,电池表面反射率的变化等)对于EQE的影响。
图2. SHJ太阳能电池在LDS层作用下短波长光响应的理论计算,包括:a) LDS层的吸光比例;b) 电池表面的反射率;c)LDS层发射波长处电池的内部量子效率;d) LDS层的PLQY。
要点2. PLQY对于光转换过程中平衡的调控具有重要作用
LDS层的PLQY数值会显著影响其对电池短波长EQE的提升效果。当PLQY数值过低时,由于LDS的光损失较大,这时其作用更接近光截止膜,会降低电池短波长的EQE。当PLQY为100%时,会显著提高电池短波长的EQE。而当PLQY处于中间值,理论EQE曲线会和电池的原始EQE曲线存在交叉点。在这一点之前LDS层发挥正向作用,在这一点之后起到负面作用。这主要是LDS层的光转换和电池本身的光吸收和利用之间存在平衡。通过调节PLQY的数值可以调节它们之间的平衡和交叉点的位置,获得所需要的波段EQE的提升。
图3. 基于不同核壳结构CdSe LDS层的吸收数据计算得到的SHJ太阳能电池EQE光谱。其中,假设PLQY分别为:a) 10%;b) 50%;c) 100%,。d) 在相同发射峰(655 nm)下,不同PLQY值对应的SHJ太阳能电池的EQE曲线。e) 未考虑反射率变化时,EQE平衡点(X轴)与本实验所用SHJ太阳能电池的临界PLQY值之间的关系。f) 本研究中采用的核壳结构CdSe量子点LDS层在不同PLQY值下与SHJ太阳能电池的Jsc之间的关系。条形图中的数值表示能够增强Jsc的PLQY临界值。
要点3. 实际LDS层对高效SHJ电池的性能的贡献
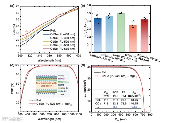
在实验上,制备了具有核壳结构CdSe量子点 LDS层的SHJ太阳能电池,并验证了模型的可靠性。分析了核壳结构CdSe LDS层对电池反射率的影响,通过优化器件结构,利用MgF2/核壳结构CdSe LDS层的结构,使高效SHJ太阳能电池的Jsc提高了0.50 mA/cm²,PCE超过了22.3%。
图4. a) 基于不同核壳结构CdSe量子点作为LDS的吸收特性、PLQY和反射率,计算得到的SHJ太阳能电池的EQE光谱。b) 通过时域有限差分(FDTD)模拟得到的SHJ太阳能电池在有/无30 nm厚核壳结构CdSe量子点层时的反射率光谱。c) 和 e) 分别展示了在300-400 nm光照射下,区域A在有/无核壳结构CdSe量子点层时的电场分布;d) 和 f) 分别展示了在400-500 nm光照射下,区域B在有/无核壳结构CdSe量子点层时的电场分布。
图5. a) 不同核壳结构CdSe量子点作为LDS层对应的SHJ硅太阳能电池短波长的EQE光谱。b) 使用不同核壳结构CdSe量子点作为LDS层时,SHJ太阳能电池的Jsc)对比。c) 添加MgF2/核壳结构CdSe量子点层前后的EQE光谱和d) 电流-电压(J-V)曲线(插图为MgF2/LDS层/SHJ太阳能电池结构示意图及最佳器件的详细性能参数)。
科学材料站
文 章 链 接
https://advanced.onlinelibrary.wiley.com/doi/full/10.1002/aenm.202405918
科学材料站
通 讯 作 者 简 介
孙宝全:苏州大学功能纳米与软物质研究院教授, 博士生导师,入选国家级人才计划,二级教授。主要研究方向:柔性电子材料与器件;共轭高分子和纳米结构材料;光伏电池;发光二极管;光电薄膜表面和界面物理。迄今为止,国际权威杂志上发表“SCI”收录学术期刊论文200多篇;他引>20000次,H因子77。相关工作曾经被Nature Photonics、Nature Climate Change, 泰晤士报、the Guardian、美国化学化学会、新华网等国内外200多家科学杂志或媒体报道。
联系方式: bqsun@suda.edu.cn
website: http://web.suda.edu.cn/bqsun
王玉生:苏州大学功能纳米与软物质研究院副教授。苏州大学“优秀青年学者”(2022)。主要致力于从事高效硅基能源器件的研究,包括:高效晶硅太阳电池(HJT,TOPCon等)的构筑、界面调控及器件物理,晶硅太阳电池的近场光学表征,新型硅基水伏器件的构筑及界面调控。目前已在Adv. Mater., Angew. Chem. Int. Ed., Adv. Energy Mater., ACS Nano, Nano Energy等能源、材料领域高水平期刊上以第一/通讯作者发表20余篇学术论文。承担国家自然科学基金青年基金项目、江苏省碳达峰碳中和科技创新专项资金(产业前瞻与关键核心技术攻关)第二批重点项目等多个重点项目。
联系方式:yushengwang@suda.edu.cn
添加官方微信 进群交流
SCI二氧化碳互助群
SCI催化材料交流群
SCI钠离子电池交流群
SCI离子交换膜经验交流群
SCI燃料电池交流群
SCI超级电容器交流群
SCI水系锌电池交流群
SCI水电解互助群
SCI气体扩散层经验交流群
备注【姓名-机构-研究方向】
投稿请联系contact@scimaterials.cn
点分享
点赞支持
点在看

