科学材料站
文 章 信 息
第一作者:陈雪丽(博士生)
通讯作者:苏明如、伍建春、刘云建
单位:江苏大学
科学材料站
论 文 概 要
随着电动汽车和便携式电子设备对高功率、长寿命锂离子电池需求的激增,开发新型负极材料成为研究热点。传统石墨负极因低倍率性能和锂枝晶问题难以满足需求,而铌钨氧化物(如WNb₁₂O₃₃)凭借其Wadsley-Roth剪切结构(三维离子通道和多重氧化还原反应)展现出潜力,但其本征导电性差和离子扩散速率低限制了实际应用。本研究针对锂离子电池负极材料的关键性能瓶颈,提出了一种氮掺杂碳包覆和氧空位协同调控的改性手段。采用硒化法结合自聚合多巴胺盐酸盐,制备了氮掺杂碳包覆的WNb₁₂O₃₃@N-C材料,显著提升了锂离子存储性能。实验与理论计算表明,碳包覆抑制了颗粒团聚和体积膨胀从而增强结构稳定性,而高温退火过程中引入的氧空位则优化了电子传输路径并提供了额外的活性位点,最终实现了高比容量(在100 mA g-1电流密度下充电比容量为244.3 mAh g-1)、超高速率性能(在大电流50 A g-1下,充电比容量仍有87.5 mAh g-1)和长循环稳定性(5 A g-1循环1000次容量保持率为81.4%),为下一代锂离子电池铌基负极材料的实用化提供了新思路。
科学材料站
亮 点 速 览
双功能协同改性:首次将氮掺杂碳包覆与氧空位引入结合,同时提升材料导电性和结构稳定性。
高效锂离子传输:通过Wadsley-Roth结构的开放通道和氧空位扩大的晶格间距,实现了锂离子的快速扩散(扩散系数达6.3×10⁻¹² cm²/s)。且氧空位与碳层协同作用降低材料带隙(从1.96 eV降至0.82 eV),提升电子导电10倍以上。
性能突破:在50 A g-1超高电流密度下容量仍有87.5 mAh g-1,在5 A g-1时循环1000次后容量保持率为81.4%。
跨尺度机理验证:结合非原位XPS、DFT计算与电化学测试,系统阐明了氧空位和碳层对电子结构、离子传输路径的协同优化机制。
科学材料站
图 文 概 览
图1 材料形貌与结构表征:(a-d) WNb12O33和WNb12O33@N-C的SEM图像,(e-g) WNb12O33和(h-j) 0.2WNb12O33 @N-C的TEM、HRTEM和SAED图像,(k , l) EDS元素mapping图像和0.2WNb12O33@N-C的W、Nb、O、C和N元素的EDS。
由图1a可以看出原始WNb₁₂O₃₃颗粒为不规则多面体纳米聚集体。在氮掺杂碳包覆后,颗粒尺寸减小且表面粗糙化(图1c-d),显著提升比表面积(提供更多电化学活性位点),同时有效抑制颗粒团聚,促进电极材料与电解液的充分接触。TEM显示碳层均匀包覆于WNb₁₂O₃₃表面,缓解锂离子脱嵌过程中的体积膨胀。以上结果说明碳包覆与晶面调控协同提升材料结构稳定性与电化学活性,为高倍率锂离子电池负极材料设计提供了重要依据。
图2 晶体结构与成分分析:(a) WNb12O33和WNb12O33@N-C的XRD图谱和(b , c)拉曼光谱,(d) 0.2 WNb12O33的晶体结构和WNb12O33中存在的三个离子隧道。
XRD谱图和晶体结构证明材料具有3×4×∞ ReO₃剪切结构,沿ac轴排列的ReO₃型NbO₆八面体块与WO₃四面体通过边共享(NbO₆)及边角共享(WO₃)连接,形成高度稳定的三维框架。沿b平面延伸的七条平行隧道(包括Ⅱ、Ⅲ、Ⅳ型离子通道),为锂离子提供三维开放传输路径,结合高比表面积(7.333 m²/g),显著提升锂离子存储容量与动力学性能。氮掺杂碳包覆未改变WNb₁₂O₃₃的本体晶体结构,但通过碳层修饰优化了表面特性,结合剪切结构的三维离子通道,协同实现了材料的高结构稳定性与高效锂离子传输能力。
图3 表面性质与缺陷表征:WNb12O33和0.2WNb12O33@N-C的(a , b) N2吸附-脱附和BJH孔径分布曲线,0.2 WNb12O33@N-C的XPS谱(c) W 4f,(d) Nb 3d,(e) O 1s;(f) C1S;(g) N 1s,(h) WNb12O33和WNb12O33@N - C的EPR谱,(i) 0.2 WNb12O33@ N - C的热重分析。
N₂吸附-脱附等温线表明材料具有介孔和大孔结构。0.2WNb₁₂O₃₃@N-C的BET比表面积为7.333 m²/g,是纯WNb₁₂O₃₃(0.814 m²/g)的9倍,碳包覆显著提升了材料与电解液的接触面积。XPS图谱证实碳层中存在氮掺杂且引入了氧空位。EPR测试(图3h)显示0.2WNb₁₂O₃₃@N-C在g=2处有强信号,进一步证实氧空位的生成。氧空位通过产生自由电子和多价态过渡金属,扩大晶格间距并降低锂离子嵌入的位阻。氮掺杂碳包覆不仅显著提升材料比表面积,还通过引入氧空位和氮掺杂优化了表面化学态与电子结构,协同增强了材料的电化学性能。
图4 电化学性能:(a) WNb12O33和(b) 0.2WNb12O33@N-C的CV曲线,(c)所有样品在2 A g-1和5 A g-1下的倍率性能和(d, e)长期循环性能,(f)已报道的铌基材料与本工作的倍率性能对比。
图4显示了氮掺杂碳层修饰前后材料的电荷存储机制及其电化学性能。通过循环伏安法(CV)曲线分析,发现氮掺杂碳层的引入显著降低了极化,并提高了材料的电化学可逆性。在100 mA g-1的电流密度下,0.2 WNb12O33@N-C的首次充电比容量和初始库伦效率分别为244.3 mAh g-1和94.9%,优于未修饰的WNb12O33(209.6 mAh g-1和92.4%)。氮掺杂碳层减少了负极材料与电解质的接触面积,抑制了副反应,从而提高了初始库伦效率。此外,0.2 WNb12O33@N-C在即使在50 A g-1的高电流密度下,仍能保持87.5 mAh g-1的容量。长循环性能测试表明,0.2 WNb12O33@N-C在5 A g-1下经过1000次循环的容量保持率为81.4%,进一步证明了其优异的结构稳定性。氮掺杂碳层通过提高导电性、增加氧缺陷和活性位点,显著提升了材料的电化学性能和结构稳定性,使其在锂离子存储过程中表现出优异的电化学可逆性和循环稳定性。
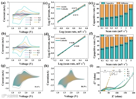
图5 动力学机制:WNb12O33和0.2WNb12O33@N-C在0.1~5 mV s-1的(a, b) CV曲线、(c、d) log i vs. log v关系、(e, f)赝电容贡献、(g, h)在5 mV s-1的电容行为,(i)样品的EIS曲线。
图5研究材料的了电化学动力学和赝电容行为,证明材料的倍率性能受其内部赝电容行为的影响。结果表明,0.2WNb₁₂O₃₃@N-C 在相同扫描速率下的赝电容贡献比例高于 WNb₁₂O₃₃,从而改善了其倍率性能。特别是在 5 mV s⁻¹ 的扫描速率下,0.2WNb₁₂O₃₃@N-C 的赝电容贡献比例达到 86.9%。0.2WNb₁₂O₃₃@N-C 材料由于其更高的赝电容贡献比例,表现出更优异的倍率性能。这主要归因于氮掺杂碳层的引入,增强了材料的导电性和赝电容行为,从而提升了电化学动力学性能。
图6 非原位XPS检测结果
图7 反应机理与理论计算:非原位XRD、晶体嵌锂过程、DFT计算结果。
非原位 XPS 结果与 CV 曲线分析一致,证明了 0.2WNb₁₂O₃₃@N-C 材料在锂离子嵌入/脱出过程中具有良好的电化学可逆性和结构稳定性。W 和 Nb 的价态变化进一步揭示了材料的反应机制,同时少量锂离子残留解释了初始库伦效率较低的原因。非原位XRD表明锂离子嵌入/脱出过程是一个复杂的固溶体和两相反应,此过程是可逆的。0.2WNb₁₂O₃₃@N-C充电过程中,衍射峰几乎完全恢复到初始状态,表明碳涂层显著提高了材料的结构稳定性和可逆性。锂离子嵌入/脱出机制可表示为:WNb12O33+ xLi+ + xe- ↔ LixWNb12O33 (0<x<25)。
0.2WNb₁₂O₃₃@N-C 材料具有较高的锂离子扩散系数(6.3 × 10⁻¹² cm² s⁻¹),这主要归因于氮掺杂碳层引入的大量氧缺陷和活性位点,这些缺陷和位点改变了电荷迁移率,从而促进了反应动力学。DFT计算显示,氧空位使材料带隙从1.96 eV降至0.82 eV,电子态密度向费米能级偏移,显著提升导电性。并且0.2WNb₁₂O₃₃@N-C的电子电导率是纯 WNb₁₂O₃₃ 的 10 倍以上。更高的电子导电性可以降低传输电阻,从而提升电化学性能。
科学材料站
总 结 展 望
本文采用硒化法成功合成了具有ReO3剪切结构的WNb₁₂O₃₃@N-C作为锂离子电池负极材料。通过碳包覆与氧空位协同策略,成功解决了铌钨氧化物负极材料导电性差和离子扩散慢的难题,改性后的材料由于碳包覆层和氧缺陷的共同作用具有优异的倍率性能和良好的稳定性,为其在高速率锂离子电池中的应用奠定了基础。此外,通过拉曼光谱、非原位XRD、和DFT计算等方法对材料的结构可逆性和结构稳定性进行了研究,系统阐明了氧空位和碳层对电子结构、离子传输路径的协同优化机制。
论文第一作者为博士生陈雪丽。
科学材料站
通 讯 作 者 简 介
刘云建教授简介:现为江苏大学材料学院院长,博士生导师。主要研究方向:新能源材料及材料电化学。课题组在权威期刊Nano Letters, ACS Nano, Nano Energy, Energy Storage Materials,ACS Catalysis, Chemical Engineering Journal, Journal of Energy Chemistry, Energy & Environmental Materials等期刊上发表论文130余篇,其中高被引论文13篇,他引次数超过4000次。
苏明如,江苏大学副教授,硕士生导师,主要研究方向:锂离子电池关键材料和电池电化学,江苏大学青年骨干教师培养对象。主持省部级以上项目4项,主要参与国家级及省部级项目6项,以第一和通讯作者发表SCI论文20余篇,ESI高被引论文5篇,获2019年度 冶金院长论坛提名奖。
伍建春,江苏大学副教授,硕士生导师,主要研究方向:新型电化学储能系统关键材料与器件研发。主持自然科学基金等纵横向项目共计10余项,以第一或通信作者发表SCI论文30余篇。
科学材料站
课 题 组 介 绍
课题组主要以新能源材料的高效制备和研究为背景,聚焦锂离子电池、钠离子电池、锌离子电子正负极材料、固态电解质的制备、电池电化学及第一性原理计算等相关研究。同时,课题组长期从事有色金属增值冶金相关研究。
科学材料站
课 题 组 招 聘
江苏大学刘云建教授课题组长期招收博士研究生和博士后,同时积极吸纳新教师加盟,欢迎具有锂离子电池,钠离子电池,锌离子电池关键材料背景的有志青年加入。
联系方式:有意向者请将个人简历发送至刘云建教授邮箱lyjian122331@163.com 。
添加官方微信 进群交流
SCI二氧化碳互助群
SCI催化材料交流群
SCI钠离子电池交流群
SCI离子交换膜经验交流群
SCI燃料电池交流群
SCI超级电容器交流群
SCI水系锌电池交流群
SCI水电解互助群
SCI气体扩散层经验交流群
备注【姓名-机构-研究方向】
投稿请联系contact@scimaterials.cn
点分享
点赞支持
点在看

