科学材料站
文 章 信 息
高电流密度下质子交换膜燃料电池铂催化剂的不均匀衰减新机制
第一作者:韩恺
通讯作者:赵紫鹏*,倪兆静*
台湾碳能CeTech【W0S1011生碳布&W0S1011H亲水碳布】性能可靠 正品保证 科研必备!
科学材料站
研 究 背 景
质子交换膜燃料电池(PEMFC)是清洁能源技术的关键,但其在高电流密度(HCD)下的耐久性问题长期阻碍商业化进程。传统研究多聚焦低电流密度下的降解机制,而HCD条件下铂(Pt)催化剂的快速失效机理仍不明确。近期,北京理工大学韩恺教授团队通过实验与模拟结合,首次揭示了HCD下铂催化剂在催化层平面内不均匀衰减的影响参数,为提升燃料电池寿命提供了关键理论支持。
科学材料站
文 章 简 介
北京理工大学韩恺教授团队联合重庆长安汽车,在国际知名期刊Chemical Engineering Journal上发表题为“New factors driving in-plane uneven degradation of Pt in proton exchange membrane fuel cells at high current density”的最新研究,通过600小时高电流密度(2.0 A/cm2)运行实验和数值模拟,团队首次揭示了铂催化剂在燃料电池内的空间不均匀衰减新机制。研究发现:局部电流密度(LCD)分布不均导致铂颗粒聚结速率差异达8倍,阴极入口区域的聚结速率显著高于出口。这一发现揭示了局部电流密度分布对材料寿命的关键影响,为优化燃料电池设计、提升燃料电池耐久性提供了重要方向。
图1. 局部电流密度(LCD)分布与铂颗粒衰减的空间关联性
科学材料站
本 文 要 点
要点一:电压衰减与电流密度呈强正相关
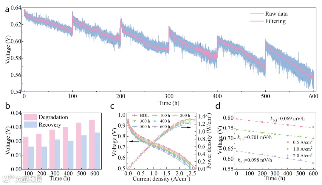
PEMFC在2.0 A/cm2高电流密度下运行600小时后,电压呈现显著衰减趋势,每次停机后电压可部分恢复(恢复率约70%),表明约七成衰减为可逆损失。阴极催化剂层(CCL)的电荷转移电阻和传质电阻分别激增42.8%和43.0%,指向CCL为降解核心区域。与此同时,随着电流密度从0.5 A/cm2增加到2.0 A/cm2,电压衰减率显著提升42%(从0.069 mV/h增至0.098 mV/h),这表明电流密度越高,电压衰减越剧烈。
图2. 电压衰减与电流密度的关系。
要点二:铂颗粒生长呈现显著空间差异
经过600小时高电流密度运行后,铂催化剂颗粒发生了显著的团聚生长现象。初始状态(BOL)下铂颗粒平均半径仅为1.51 nm,分布均匀;而衰减后(EOL)平均半径增至2.84 nm,增幅近一倍。这种颗粒生长直接导致电化学活性表面积(ECSA)大幅减少60.45%,严重影响了催化效率。特别值得注意的是,铂颗粒生长呈现出明显的空间不均匀性:阴极入口区域(S1)的铂颗粒半径达到3.35 nm,而出口区域(S11)仅为2.52 nm,两者相差32.9%。
图3. BOL与EOL阶段铂颗粒半径的空间分布对比
要点三:局部电流密度(LCD)是关键驱动因素
深入分析表明,局部电流密度(LCD)的差异是导致铂颗粒生长呈现显著空间差异的关键因素。实验测得入口区域LCD高达2.72 A/cm2,出口区域仅1.41 A/cm2。数值模拟结果进一步证实,当前操作条件下铂聚结是主要衰减机制,由于LCD的空间不均匀性,入口区域的铂聚结速率是出口区域的8倍。该发现为后续优化燃料电池流场,均衡LCD分布进而抑制不均匀衰减提供了重要依据。
图4. 局部电流密度分布。
科学材料站
文 章 链 接
New factors driving in-plane uneven degradation of Pt in proton exchange membrane fuel cells at high current density
https://doi.org/10.1016/j.cej.2025.161876
科学材料站
第 一 作 者 简 介
韩恺教授简介:2010年加入北京理工大学,现为北京理工大学机械与车辆学院动力系教授,长期从事燃料电池动力系统建模与控制研究。在能源与材料等领域国内外权威学术期刊《Chemical Engineering Journal》《Energy》《International Journal of Heat and Mass Transfer》《Applied Energy》《International Journal of Hydrogen Energy》累计发表论文40余篇,授权燃料电池相关专利4项。
科学材料站
通 讯 作 者 简 介
赵紫鹏教授简介:2021年加入北京理工大学,现为北京理工大学材料学院材料物理与化学系教授,长期从事氢能应用中的电化学催化方面研究。累计发表论文60余篇,总引用17900余次,H因子52,科睿唯安(Clarivate)全球“高被引科学家”(2024,2023,2022,2021,连续4年),担任《Nature Sustainability》《Nature Communications》等期刊的审稿人,入选国家级“四青”人才计划。
倪兆静博士简介:2022年博士毕业于北京理工大学,随后入站北京理工大学化学流动站从事博士后研究,主要研究方向为高性能燃料电池优化设计研究。在能源与材料等领域国际权威学术期刊《Chemical Engineering Journal》《Nano Research Energy》《International Journal of Hydrogen Energy》累计发表论文10余篇,授权燃料电池相关专利2项。
科学材料站
课 题 组 介 绍
韩恺教授、王永真副教授团队长期从事燃料电池等先进动力系统和数据中心智慧能源系统的能流优化、智能控制以及能源战略的研究。近年来围绕燃料电池领域,团队承担了《燃料电池应用技术》、《动力系统智能控制基础》、《电热综合能源系统》等课程教学,出版论著《燃料电池原理》、《碳中和与综合智慧能源》、《装甲车辆动力系统集成设计》等。团队在燃料电池领域搭建了PEMFC单电池性能与耐久性测试试验台、燃料电池控制硬件在环仿真系统。近年来主要聚焦于多层次电堆建模理论、状态观测与性能预测、健康管理、氢电综合智慧能源系统以及动力系统控制及热管理等方面的研究。
添加官方微信 进群交流
SCI二氧化碳互助群
SCI催化材料交流群
SCI钠离子电池交流群
SCI离子交换膜经验交流群
SCI燃料电池交流群
SCI超级电容器交流群
SCI水系锌电池交流群
SCI水电解互助群
SCI气体扩散层经验交流群
备注【姓名-机构-研究方向】
投稿请联系contact@scimaterials.cn
点分享
点赞支持
点在看

