科学材料站
文 章 信 息
有机光伏的发展: 偶极子距离和酸度对苝-二亚胺电子传输层的作用
通讯作者:吕杰 *,李刚 *,胡汉林 *
科学材料站
研 究 背 景
有机太阳能电池(OSCs)因其简单的器件结构、独特的透明度、轻重量、优越的灵活性和低成本,已成为一种很有前途的光伏技术。除了新型电子供体和受体材料的设计和合成以及器件优化方面做出的巨大努力外,界面工程被认为是开发高效、稳定的OSCs最有前途的方法之一。其中,活性层和阴极金属之间的阴极界面层(ETLs),具有电子提取、传输和阻挡空穴的作用,在过去的十几年中得到了国内外学者的广泛研究。目前,广泛使用的ETLs材料主要可分为两类(共轭聚合物和共轭小分子):常见的共轭聚合物有胺取代多氟烯衍生物(PFN和PFN-Br)和脂肪族胺聚合物(PEI和PEIE),常见的共轭小分子材料有萘二亚胺(NDI)和苝二亚胺(PDI)。其中,基于PDI的小分子ETLs材料因其具有较大的共轭平面和优异的本征电子转移特性脱颖而出。尽管这类ETLs在一些非富勒烯体系中表现出良好的光伏性能,但是PDI分子的宽刚性π共轭框架的强团聚倾向仍是一个挑战,这使得ETL在有源层上的成膜质量仍然不足,难以与有源层和金属电极形成紧密接触,这不仅会导致严重的漏电流,还容易产生界面缺陷,从而影响器件的性能。鉴于此,考虑到PDI结构分子的碱性烷基链末端氨基取代,选择合适的酸性材料对于促进ETL薄膜的形成,降低阱态密度,减少能量损失以提高OSCs的效率至关重要。
科学材料站
文 章 简 介
近日,河南科技学院张万庆、丁晓蔓和深圳职业技术大学霍夫曼先进材料研究院胡汉林以及香港理工大学李刚、吕杰等人在国际知名期刊Advanced Functional Materials上发表题为“Advancing Organic Photovoltaics: the Role of Dipole Distance and Acidity in Perylene-Diimide Electron Transport Layers”的研究文章。该工作选择了三种特别设计的羧基和羟基数量不同的弱酸性材料,研究了酸度和偶极子距离对PDINN界面缺陷的影响。其中,pH适中、偶极子距离大的3,5-二羟基苯甲酸(2OH)与PDINN的分子间作用力增强,多个羟基可以增强与仲氨基和亚胺基的相互作用,实现对PDINN的最佳整体调节,具有最低的WF、界面陷阱密度和能量损失。值得注意的是,P-2OH(10 nm)的PCE达到了19.1%,当P-2OH厚度达到50 nm时,PCE仍然保持在16.4%。这项工作强调了羟基和羧基在调节ETL以减少能量损失方面的重要性,并为开发高性能OSCs的厚度不敏感夹层提供了见解。
科学材料站
本 文 要 点
要点一:2OH材料调控PDINN, 构筑高效稳定的OSCs
通过密度泛函理论(DFT)计算PDINN,1OH,2COOH和2OH材料的静电势分布,其中PDINN的偶极矩较小(0.68 debye),表明三种弱酸性物质都可以通过静电吸引与PDINN产生分子间相互作用,调节PDINN分子间的电子转移。从图一中可以发现羧基增强了PDINN中与仲胺基的相互作用,而羟基数量的增加更容易与末端氨基和亚胺基中的氧形成更强的氢键。根据相反极性吸引原理和路易斯酸碱原理,pH适中、偶极子距离大的3,5-二羟基苯甲酸(2OH)具有PDINN的更强的分子间作用力。
图1 研究体系的化学结构以及分子间作用力表征
要点二:有机太阳能电池的界面层的形貌表征
分子结晶度和晶体的堆积与薄膜形成过程和电荷输运密切相关。利用二维掠入射广角x射线光谱(GIWAXS)和原子力显微镜(AFM)研究了弱酸性物质诱导PDINN薄膜的变化。酸度适中、偶极距离高的2OH能与PDINN产生适宜的分子间作用力,从而改善PDINN的π-π堆积和自聚集形态,显示出连续均匀的细纤维相结构,使陷阱密度从2.34 × 1016 /cm3降低到2.12 × 1016 /cm3,有效抑制了界面陷阱对电荷的捕获,提高OSCs的光伏性能和稳定性。
图2 ETLs薄膜的形貌表征
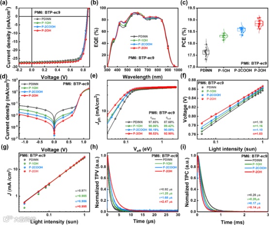
要点三:光伏性能分析
对比PDINN器件,P-2OH器件实现19.1%的最高效率,79.1%的填充因子(FF)和0.869 V的开路电压(VOC),高于PDINN器件(PCE: 18.0%, FF: 77.2%, VOC: 0.857 V)。P-2OH器件获得了较高的激子解离效率(98.52%)和电荷收集效率(92.90%),同时2OH的引入,使陷阱密度减少,陷阱辅助和双分子重组得到抑制,载流子寿命增强,电荷提取速率更高。除此之外,P-2OH器件具有更小的乌尔巴赫能(Eu),减轻了能量紊乱,非辐射能损失最小。
图3 器件性能及载流子动力学数据
图4 器件的能损数据
图5 PM6: BTP-ec9/PDINN, PM6: BTP-ec9/P-1OH, PM6: BTP-ec9/P-2COOH和PM6: BTP-ec9/P-2OH共混膜的形貌表征
要点四:厚度不敏感性测试
与最佳厚度器件相比,50nm薄膜厚度的P-2OH器件仍保持了85.9%的原始效率,优于仅保留76.1%原始效率的PDINN器件,这充分证明了这种策略的实用性。
科学材料站
文 章 链 接
Advancing Organic Photovoltaics: The Role of Dipole Distance and Acidity in Perylene-Diimide Electron Transport Layers
https://doi.org/10.1002/adfm.202420588
科学材料站
通 讯 作 者 简 介
吕杰:香港理工大学博士后研究员。中国科学院重庆绿色智能技术研究院2019级博士生,2019年毕业于兰州交通大学获得理学硕士学位。博士期间荣获中国科学院大学“国家奖学金”,“中科院院长奖学金”,“三好学生”,“朱李月华优秀博士生奖学金”等荣誉,主要研究方向为有机太阳能电池材料与器件,以(共同)第一作者身份在Energy & Environmental Science, Materials Today, Advanced Energy Materials, InfoMat和 Advanced Functional Materials等期刊发表多篇论文。
李刚教授简介:李刚教授现任香港理工大学电子及资讯工程学系鍾士元爵士可再生能源教授。研究聚焦于可印刷太阳能电池(有机聚合物太阳能电池,钙钛矿太阳能电池)及相关领域。本科毕业于武汉大学空间物理学系,爱荷华州立大学凝聚态物理博士及电机工程硕士。2016年来港前为加州大学洛杉矶分校UCLA研究教授。李刚教授发表科技期刊论文180余篇,其中Nature系列及Science十余篇,总被引近七万次。最高单篇引用6千4百余次,超过1千次引用的论文有19篇,H-因子为78(谷歌学术)。他是美国光学学会会士(OSA Fellow)英国皇家化学会会士(FSRSC),国际光电工程学会会士(FSPIE)。自2014年至今为汤森路透/科睿唯安 全球高被引科学家(材料科学,化学,物理)。李刚教授正在主持和主持过来自香港研究资助局、香港创新科技署,中国国家自然科学基金、深圳市及香港理工大学的多项基金近2千万港元。
胡汉林副教授简介:霍夫曼先进材料研究院副教授,深圳市海外高层次“孔雀计划”B类人才,深职大打印光伏器件中心主任,霍夫曼研究院同步辐射与打印光电器件实验室负责人。2017年在沙特阿卜杜拉国王科技大学获博士学位,随后加入香港理工大学李刚教授课题组开展博士后研究。在研究院参与搭建了深圳市首台小角/广角X射线散射线站(GIWAXS/GISAXS),现为美国劳伦斯-伯克利光源和台湾光源的授权用户。主持国家自然科学基金、广东省面上项目,深圳市稳定支持项目、深圳市高层次人才启动项目等,已发表SCI论文110余篇,包括Advanced Materials, Energy & Environmental Science, Materials Science & Engineering R, Advanced Science, Advanced Energy Materials, Nano Letters, Energy & Environmental Materials等国际期刊, 现为Nature Photonics, Energy & Environmental Materials, Advanced Functional Materials等期刊的审稿人。主要研究方向为打印薄膜太阳能电池和晶体管,以及基于同步辐射对材料晶相转变的实时追踪。
科学材料站
第 一 作 者 简 介
张万庆副教授简介:河南科技学院副教授,硕士生导师,中国化学会会员,获得河南科技学院“文明教师”、河南科技学院“优秀教师”和河南科技学院“优秀工会工作者”等荣誉称号。曾获得河南省科技重点项目和新乡市科技计划重点项目等项目支持。主要从事传感新材料的制备、性能及应用工作,在SCI收录期刊发表文章十余篇。
科学材料站
课 题 组 介 绍
https://www.x-mol.com/groups/hu_hanlin
添加官方微信 进群交流
SCI二氧化碳互助群
SCI催化材料交流群
SCI钠离子电池交流群
SCI离子交换膜经验交流群
SCI燃料电池交流群
SCI超级电容器交流群
SCI水系锌电池交流群
SCI水电解互助群
SCI气体扩散层经验交流群
备注【姓名-机构-研究方向】
投稿请联系contact@scimaterials.cn
点分享
点赞支持
点在看


