科学材料站
文 章 信 息
抑制尖晶石ZnMn2O4的副反应实现高性能水系锌离子电池
第一作者:邱策,黄河儒
通讯作者:夏晖*
单位:南京理工大学,联动天翼新能源有限公司
科学材料站
研 究 背 景
水系锌离子电池(ZIBs)因其具备低成本、高安全性、高理论容量以及环境友好性等优势而受到广泛关注。在ZIBs中,水系电解液的不可燃特性从本质上确保了电池的安全性。然而,水的电化学稳定窗口较为狭窄,这一因素在很大程度上限制了ZIBs的能量密度。为提升ZIBs的能量密度,目前普遍采用的策略是开发具有高比容量的锌离子存储正极材料。尖晶石ZnMn₂O₄拥有较高的结构稳定性,但在典型的1.0–1.8 V(vs. Zn²⁺/Zn)电压区间内,其锌存储能力通常较差。因此,提高尖晶石ZnMn₂O₄的电荷存储容量是其在ZIBs中未来应用的关键。
科学材料站
文 章 简 介
近日,南京理工大学夏晖教授团队,在国际知名期刊Energy Storage Materials上发表题为“Suppressing side reactions in spinel ZnMn₂O₄ for high-performance aqueous zinc-ion batteries”的研究论文。该研究将二甲基亚砜(50 %) (50-DMSO) 添加到纯ZnSO4电解液中,以抑制正极界面处的氧析出反应(OER),提高了电荷截止电压,有助于充分利用ZnMn2O4的理论容量。此外,将0.1 M H2SO4引入50-DMSO电解液(50-DMSO+0.1)中,电解液的电导率显著提升,并有效抑制了Zn4SO4(OH)6·xH2O(ZSH)副产物的形成。这项工作提供了一种有效的电解液改性策略,并展示了抑制正极材料副反应的重要性,以开发高性能锌离子电池。
图1. 二甲基亚砜电解液添加剂抑制正极界面处的氧析出反应。
科学材料站
本 文 要 点
要点一:DMSO电解液添加剂抑制水分解,拓宽电化学稳定性窗口
通过线性扫描伏安法(LSV)确定了电解液的电化学稳定性窗口。使用恒电流充放电(GCD)测试比较了不同电解液体系中Zn/ZnMn2O4电池的有效充电电压极限。当使用50-DMSO电解液时,0.1 和 1.0 A g−1下的充电极限分别增加到1.96 V 和 2.08 V。在0.1 mV s−1的扫描速率下,使用0-DMSO电解液的Zn/ZnMn2O4电池的循环伏安(CV)曲线,在1.8 – 1.9 V 显示出明显的尖峰,这归因于高电位下的OER。相反,对于50-DMSO电解液,CV曲线在充电结束附近没有观察到这样的突然电流跃升,表明使用改性电解液显著抑制了正极处的OER,从而拓宽电池电化学稳定性窗口。
图2. 二甲基亚砜电解液添加剂对电池电化学稳定性窗口的影响研究。
要点二:少量H2SO4添加剂提升电解液电导率
虽然DMSO可以作为添加剂来抑制正极处的OER,但随着DMSO量的增加,电解液的离子导电性降低。为了解决这个问题,引入了一种在含DMSO的电解液中添加少量H2SO4的可行策略。选择50-DMSO电解液来研究不同H2SO4添加量的影响,随着H2SO4添加剂浓度从0 M 增加到0.4 M,离子导电性从22.5 增加到 82.4 mS cm−1。同时,锌在50-DMSO+0.05和50-DMSO+0.1中的腐蚀电位与50-DMSO相当,表明少量(0.1 M) H2SO4添加剂对金属锌的负面影响较小。然而,过量(0.15 M)的H2SO4添加剂会加速锌的腐蚀过程。此外,使用50-DMSO的电池锌剥离/沉积的库仑效率(CE)高于0-DMSO,这是是因为引入DMSO添加剂后,锌负极表面的副反应得到抑制。
图3. 少量 H2SO4添加剂对电解液电导率及锌负极的影响。
要点三:少量H2SO4添加剂改善Zn/ZnMn2O4全电池容量
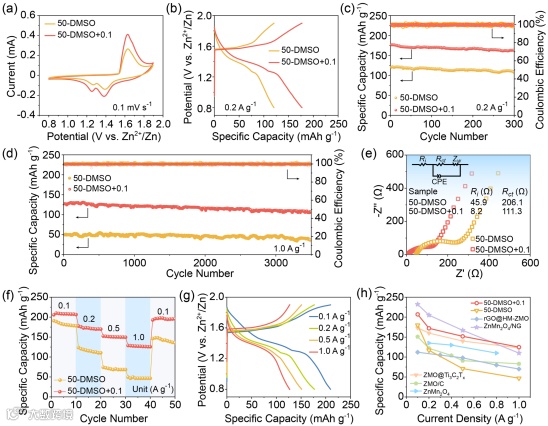
使用CR-2032型扣式电池在50-DMSO和50-DMSO+0.1电解液体系中评估了ZnMn2O4正极的电化学性能。与50-DMSO电解液相比,Zn/ZnMn2O4在50-DMSO+0.1电解液中的CV曲线显示出更大的电流,表明具有更大的电荷存储能力。通过GCD测试,Zn/ZnMn2O4电池在50-DMSO+0.1电解液中显示出与50-DMSO电解液相似的循环性能,但具有更高的比容量。在引入H2SO4后全电池的增强容量可能源于电解液的离子导电性增加。使用50-DMSO+0.1电解液的Zn/ZnMn2O4电池显示出改善的倍率性能和更低的电荷转移电阻,表明在添加H2SO4后电化学反应动力学得到了增强。
图4. Zn/ZnMn2O4全电池的电化学性能。
要点四:少量 H2SO4添加剂抑制副产物的形成
通过多种非原位表征技术证实了在50-DMSO体系中,放电完成后,正极表面有ZSH副产物的形成;相比之下,在50-DMSO+0.1电解液中,无论是在放电还是充电状态下,电极表面都没有明显的副产物。在50-DMSO电解液中,主要的电荷存储机制涉及H+和Zn2+的共嵌入/脱出以及ZSH纳米片的相应沉积/溶解,ZSH中的OH–来自电解液中50 % H2O的电离。在50-DMSO+0.1 电解液中,电荷存储仍然以H+和Zn2+的共嵌入/脱出进行,但在ZnMn2O4正极表面没有形成ZSH,这是因为50-DMSO+0.1电解液中的H+来自H2SO4的电离,而不是H2O的电离。
图5. Zn/ZnMn2O4电池的储能机制。
科学材料站
文 章 链 接
Suppressing side reactions in spinel ZnMn₂O₄ for high-performance aqueous zinc-ion batteries
https://doi.org/10.1016/j.ensm.2025.104014
添加官方微信 进群交流
SCI二氧化碳互助群
SCI催化材料交流群
SCI钠离子电池交流群
SCI离子交换膜经验交流群
SCI燃料电池交流群
SCI超级电容器交流群
SCI水系锌电池交流群
SCI水电解互助群
SCI气体扩散层经验交流群
备注【姓名-机构-研究方向】
投稿请联系contact@scimaterials.cn
点分享
点赞支持
点在看

