科学材料站
文 章 信 息
通过反浓度梯度氟化提高富锂层状正极材料反应均一性
第一作者:赵佳雨
通讯作者:苏岳锋*,董锦洋*,陈来*
台湾碳能CeTech【W0S1011生碳布&W0S1011H亲水碳布】性能可靠 正品保证 科研必备!
科学材料站
研 究 背 景
本文的研究背景聚焦于锂离子电池中富锂层状氧化物(LRLOs)正极材料的性能优化。LRLOs因其锰含量丰富、成本低廉以及高比能,被认为是下一代高能量密度锂离子电池的理想候选材料。然而,其商业化应用受到不可逆氧释放、微观结构不稳定以及界面副反应等问题的限制,导致电压衰减、容量损失和倍率性能下降。为解决这些问题,研究者探索了通过氟化改性来调控氧阴离子和过渡金属阳离子的氧化还原贡献,以提高材料的结构稳定性和电化学性能。尽管表面氟化已取得一定进展,但其对体相晶格的影响有限,且低溶解度的氟离子难以实现深度扩散。因此,本研究提出了一种新型的反向氟浓度梯度设计,通过二次溶胶-凝胶法实现从颗粒中心到表面的氟浓度线性增加的结构,以优化不同深度的氟化效果,提升LRLOs的循环稳定性和倍率性能。
科学材料站
文 章 简 介
基于此,来自北京理工大学的苏岳锋教授和陈来研究员,在国际知名期刊Energy Storage Materials上发表题为“Boosting Reaction Homogeneity through Reverse Gradient Fluorination for High-Performance Li-rich Layered Cathodes”的观点文章。该观点文章提出了一种新型反向氟浓度梯度的富锂层状氧化物正极材料,通过二次溶胶-凝胶法实现从颗粒中心到表面的氟浓度线性增加。该设计显著提升了材料的循环稳定性、倍率性能,并优化了氧阴离子和过渡金属阳离子的氧化还原反应,为高性能锂离子电池正极材料的开发提供了新思路。
图1. (a) 表面氟化样品SF和(b) 表面氟化样品CF协同改性的示意图
科学材料站
本 文 要 点
要点一:新型反向氟浓度梯度设计
提出了一种新型的反向氟浓度梯度设计,通过二次溶胶-凝胶法成功制备了具有反向氟浓度梯度的富锂层状氧化物正极材料(CF)。这种设计的核心在于氟浓度从颗粒中心向表面线性增加,与传统的表面氟化(SF)形成鲜明对比。在SF样品中,氟主要集中在表面,形成一层薄的LiF层,虽然能够改善表面的机械强度和稳定性,但可能会对锂离子的传输产生阻碍作用。而CF样品通过特殊的制备工艺,使得氟在颗粒内部富集,从而在材料内部形成氟浓度梯度。这种梯度设计不仅优化了锂离子在颗粒内部的传输路径,减少了锂离子浓度梯度引起的内部应力,还显著提升了材料的整体结构稳定性。通过XRD、HRTEM、XPS等多种表征手段,研究人员确认了CF样品中氟的分布情况,以及这种分布对材料微观结构和性能的影响。这种反向氟浓度梯度的设计为高性能锂离子电池正极材料的开发提供了新的思路,尤其是在处理低溶解度元素和易形成钝化层的材料时,展现出广阔的应用前景。
图2. (a)SG、(b)SF和(c)CF正极的HRTEM和对应的FFT/iFFT图像;(d)拉曼光谱;(e)SF和(f)CF样品的XPS深度分析
要点二:显著提升的电化学性能
改性显著提升了电化学性能,特别是通过反向氟浓度梯度设计(CF)实现的循环稳定性和倍率性能的优化。实验结果显示,CF样品在0.1C,100周循环后容量保持率达到95.79%,表现出优异的循环稳定性。这种性能提升主要归因于氟化策略对材料内部结构和锂离子传输动力学的优化。一方面,氟的引入改善了氧阴离子的氧化还原可逆性,减少了不可逆的氧释放和相关的副反应;另一方面,反向氟浓度梯度设计通过优化锂离子在颗粒内部的分布,减少了锂离子浓度梯度引起的内部应力,从而缓解了结构退化。此外,CF样品在高倍率条件下的表现尤为突出,其锂离子扩散系数显著高于未氟化样品(SG),这表明氟化不仅改善了材料的结构稳定性,还显著提升了锂离子的传输效率。这些结果表明,反向氟浓度梯度设计为高性能富锂层状氧化物正极材料的开发提供了一种有效的策略,尤其是在高能量密度和长循环寿命的应用场景中。
图3. (a) 本体SG、(b) SF和(c) CF的初始充电/放电曲线;(d) 所有样品的倍率性能和(e) 循环性能;(f) SG、(g) SF和(h) CF放电过程中的相应dQ/dV曲线
要点三:阴阳离子氧化还原调控
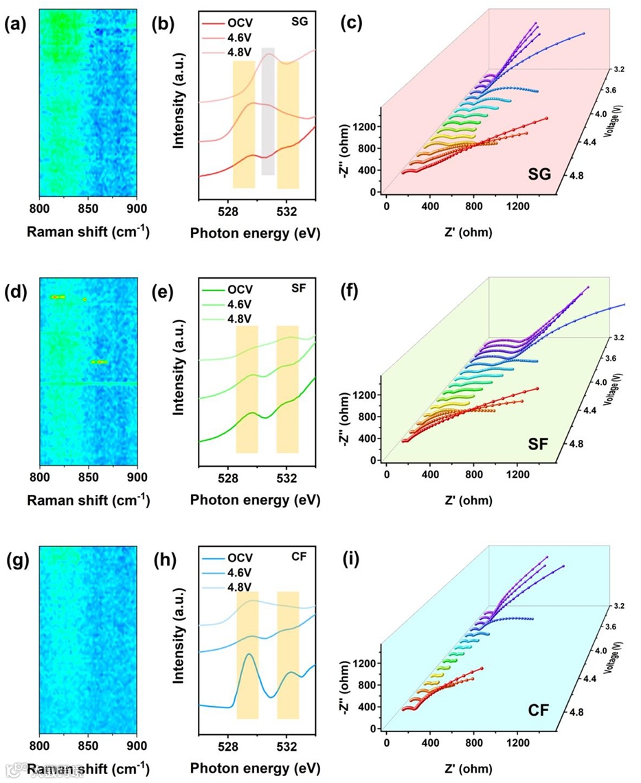
本文通过一系列原位和非原位分析手段,全面揭示了氟化对富锂层状氧化物正极材料的氧化还原反应调控机制和结构稳定性增强机制。研究中利用X射线光电子能谱(XPS)、X射线吸收光谱(XAS)、原位拉曼光谱、原位X射线衍射(XRD)以及差分电化学质谱(DEMS)等技术,深入分析了氟化对材料在不同充放电状态下的影响。结果表明,氟化显著改变了氧阴离子和过渡金属阳离子的氧化还原行为。在未氟化的样品(SG)中,氧的氧化还原反应不可逆,导致氧释放和结构退化。而在氟化样品(尤其是CF)中,氧的稳定性显著增强,氧释放被有效抑制,这归因于氟化降低了氧的氧化活性,并通过增强过渡金属的氧化还原贡献来补偿电荷平衡。
图4. 原位拉曼光谱(a) SG、(d) SF和(g) CF对应于2次充电过程;(b) SG、(e) F和(h) CF在不同电压下的O边、K边;(c) SG、(f) SF和(i) CF在不同SOC下的阻抗图
此外,氟化还优化了材料的局部电子结构,减少了氧2p轨道对态密度的贡献,从而降低了氧的氧化倾向。通过第一性原理计算(DFT)和COMSOL多物理场模拟,研究进一步揭示了氟化对氧空位形成能和内部应力分布的影响。CF样品表现出更高的氧空位形成能,表明其氧释放倾向更低,同时内部应力显著降低,从而延长了电池的使用寿命。这些研究结果不仅为氟化在富锂层状氧化物中的作用机制提供了清晰的理论支持,还为设计高性能锂离子电池正极材料提供了重要的指导。
图5. (a)O 2p轨道态密度;(b)氟化样品在不同深度的氧空位形成能;(c)样品在不同SOC下的应力分布情况
要点四:前瞻
本工作中,通过内高外低的氟浓度梯度设计,调控了阴阳离子氧化还原,缓解局部应力积累,增强了材料结构稳定性,提高其电化学性能。此外,对于不同深度氟化样品的应用场景进行探索:内高外低的氟化策略通过最小化正极颗粒不均匀性在高倍率下表现出优势,而表面氟化策略由于其制备简单和具有竞争力的循环性能而在低倍率下表现出性能优化。对浓度梯度分布的深入了解,有助于开发一种广泛适用的结构设计策略,尤其有利于溶解度低、易于形成钝化层的掺杂元素,从而提高锂离子电池的寿命和电化学性能。
科学材料站
文 章 链 接
Boosting Reaction Homogeneity through Reverse Gradient Fluorination for High-Performance Li-rich Layered Cathodes
https://doi.org/10.1016/j.ensm.2025.104137
科学材料站
通 讯 作 者 简 介
陈来,北京理工大学材料学院研究员、博士生导师,入选第四届中国科协青年人才托举计划、北京市科技新星计划。目前主要从事锂离子二次电池及其它电化学储能材料与器件的研究,重点研究方向为锂离子电池用富锂正极材料、高镍正极材料及高比能锂离子二次电池等。作为负责人主持国家重点研发计划课题、国家自然科学基金面上及青年项目、宜宾市科技局揭榜挂帅项目等项目10余项;作为主研人员参与973计划、国家重点研发计划“新能源汽车”试点专项等项目。自2013年起在Advanced Materials,Advanced Energy Materials, Materials Today,Nano Energy等国际刊物发表SCI论文80余篇;受理国家发明及实用新型专利65项,已授权32项;出版专著3部。
苏岳锋,北京理工大学材料学院教授、博士生导师,北理工重庆创新中心新材料院士中心平台责任教授。2013年入选教育部“新世纪优秀人才支持计划”,资助领域为新材料领域。主要从事绿色二次电池及先进能源材料的研究,作为项目负责人主持国家自然科学基金面上项目2项,主持国家重点研发课题1项,国际合作项目1项,参研973项目、“新能源汽车”重大专项、国家自然科学基金项目等多项。以通讯作者身份在Advanced Materials,Nano Energy,Energy Storage Materials,Nano Letters,Journal of Materials Chemistry A 等刊物发表SCI论文90余篇,申请国家发明专利近60项,授权国家发明专利30余项。
董锦洋,北京理工大学材料学院博士后,合作导师为吴锋院士。主要研究方向为锂离子电池正极材料改性和储能电池加速老化失效分析,作为主研人员参与国家重点研发计划课题、宜宾市科技局揭榜挂帅项目等项目。在Advanced Materials,Energy Storage Materials,Journal of Energy Chemistry等国际刊物发表SCI论文14篇;受理国家发明及实用新型专利13项,已授权8项。
科学材料站
课 题 组 介 绍
课题组以吴锋院士为学术带头人,团队隶属于“环境科学与工程”北京市重点实验室和“动力电池及化学能源材料”北京高等学校工程研究中心两个主要从事绿色能源材料及材料电化学研究的省部级科研平台。团队多年来一直从事绿色储能材料的基础研究以及相关电化学应用体系的技术开发,在绿色二次电池体系的开发及相关材料的研究方面先后承担了国家“973”计划、“863”计划、国家重点研发计划等多项重大项目,在相关领域积累了丰富的科研经验。
科学材料站
课 题 组 招 聘
课题组主要研究方向包括:
1. 层状氧化物正极(主要为高镍正极、富锂正极)的新材料研发
2. 储能电池加速老化技术及寿命预测分析
3. 固态电解质开发及固态电池构建
课题组拟招聘科研助理(博后)2-3 名,具有锂电材料(正极材料优先)相关研究背景者优先。课题组将全力协助团队成员申请国家级、院级科研基金,以及北京市、重庆市、宜宾市等地方人才计划补助,年薪可达50万元。欢迎感兴趣的伙伴随时咨询:邮箱 chenlai@bit.edu.cn。
添加官方微信 进群交流
SCI二氧化碳互助群
SCI催化材料交流群
SCI钠离子电池交流群
SCI离子交换膜经验交流群
SCI燃料电池交流群
SCI超级电容器交流群
SCI水系锌电池交流群
SCI水电解互助群
SCI气体扩散层经验交流群
备注【姓名-机构-研究方向】
投稿请联系contact@scimaterials.cn
点分享
点赞支持
点在看

