科学材料站
推 文 作 者
王孝广课题组
科学材料站
文 章 信 息
第一作者:万子豪
通讯作者:王孝广,马自在
通讯单位:太原理工大学
论文DOI:10.1002/aenm.202501630
科学材料站
全 文 速 递
优化Fe-N-C催化剂对*OH中间体的吸附强度是提升其氧还原反应(ORR)性能的关键。本研究通过理论计算与实验协同设计,成功开发出一种新型Fe基单原子催化剂(Fe, Co/NCB),有效改善了Fe-N-C材料ORR过程中面临的*OH强吸附与稳定性难题。并创新性地提出“第二配位层双原子协同调控”策略,通过在FeN4活性中心引入非对称钴/硼(Co/B)共掺杂,系统揭示了电子结构调控对催化性能的增强机制。在理论预测指导下,采用“金属取代-空间限域封装”制备策略,成功实现了Co/B共掺杂FeN4活性位点的精准构筑。实验结果表明,Fe, Co/NCB催化剂在碱性(0.1 M KOH)和酸性(0.1 M HClO4)电解液中分别展现出0.892 V和0.798 V(vs. RHE)的优异半波电位。此外,以其组装的液态锌-空气电池(ZAB)实现了226.64 mW cm-2的高功率密度,并表现出超过700小时的稳定循环寿命;组装的柔性ZAB也展现出146.10 mW cm-2的高输出功率密度。
科学材料站
背 景 介 绍
ORR是影响质子交换膜燃料电池和锌空气电池能量转换效率的核心步骤。然而,ORR的缓慢四电子转移动力学导致高活化能垒及竞争性二电子副反应路径。Fe-N-C单原子催化剂通过FeN4位点的原子级分散与配位微环境调控,展现出媲美铂基催化剂的氧还原潜力。但Fe活性中心对*OH中间体的强吸附导致其脱附成为速率决定步骤。此外,电化学循环中Fe-N键的动态断裂会导致金属中心溶解,严重削弱催化剂的耐久性,为其在能源转换与存储系统中的长期应用带来严峻挑战。
科学材料站
本 文 亮 点
(1) 本研究首先通过密度泛函理论DFT计算证实了不对称Co和B共掺杂在FeN4(Fe, Co/NCB)的第二配位层中的可行性,并通过“金属置换-空间限制封装”策略成功地制备原子分散的Fe, Co/NCB催化剂。
(2)理论计算表明,Co与B的协同耦合可精准调控Fe活性位点3dz2轨道与*OH中间体2pz轨道间的杂化行为,显著降低反键轨道能级并提高占据率,从而促进*OH解离。同时,Co/B掺杂强化了Fe-N键的稳定性,有效抑制Fe活性位点的脱金属过程。
(3) 电化学测试结果表明,Fe, Co/NCB催化剂在碱性(0.1 M KOH)和酸性(0.1 M HClO4)电解液中分别展现出0.892 V和0.798 V (vs. RHE)的半波电位。另外,其组装的液态ZAB的功率密度达到226.64 mW cm−2,并且稳定充放电循环运行700小时。柔性ZAB也展现出146.10 mW cm−2的优异输出性能。
科学材料站
图 文 解 析
Bader电荷和差分电荷分析表明,B的低电负性导致其向邻近原子贡献电子,拓宽了电活性区域。这使得N原子优先从B而非Fe捕获电子,从而将Fe, Co/NCB中Fe中心的电荷损失由1.22 e⁻降至1.15 e⁻。同时,相邻的Co原子诱导Fe中心周围电荷分布不对称,导致局部电子密度扰动(图1a-c)。计算表明,Fe, Co/NCB中Fe和Co位点对O2的吸附能分别为-0.84 eV和-0.74 eV(图1d),证实Fe位点优先吸附活化O2。FeN4和Fe, Co/NCB模型的4e⁻-ORR自由能图(图1e-f)显示,两者的决速步(RDS)均为*OH脱附,但B/Co掺杂显著削弱了*OH脱附亲和力。态密度(DOS)及晶体轨道哈密顿布居(COHP)计算进一步证实:与FeN4相比,Fe, Co/NCB中Fe 3d轨道与OH的轨道重叠减弱。更重要的是,Co/B协同耦合降低了Fe 3dz2-O 2pz反键轨道能级并提高其占据率,从而促进*OH解离(图1g-i)
图1 理论计算
在理论计算指导下,本研究通过协同"金属置换-空间限域封装"策略成功构建了原子级分散的Fe, Co/NCB催化剂(图2a)。SEM与TEM表征显示该催化剂具有菱形十二面体形貌特征(图2b, c),HRTEM图像进一步证实材料中无金属团簇或纳米颗粒存在(图2d)。AC-HAADF-STEM分析揭示了Fe-Co原子对的成对分布模式,其原子间距主要为0.32 nm(图2e-f)。通过EELS与EDS联合表征,证实了Fe、Co、B、C、N元素在催化剂中的均匀空间分布(图2g-h)。
图2催化剂制备流程及形貌结构表征
通过XPS与XAS分析催化剂的化学态与局域结构。XPS结果表明(图3a),Fe, Co/NCB中吡啶-N为主要氮物种,这利于提升O₂吸附效率与电荷转移动力学。功函数结果显示(图3b),Fe, Co/NCB(4.22 eV)显著低于Fe/NC(4.72 eV),表明掺杂体系具有更强的O2活化能力。Fe K边XANES谱显示(图3c),Fe, Co/NCB的吸收边位于FePc与Fe2O3之间,表明Fe价态呈+2至+3混合状态。FT-EXAFS谱中1.48 Å处的特征峰归属于Fe-N配位(图3d),拟合结果证实为FeN4结构(图3e)。类似地,Co K边XANES表明Co价态接近+2(边前位置接近CoO,图3f),FT-EXAFS中1.54 Å处的特征峰对应Co-N配位(图3f),拟合结果证实为CoN4构型(图3g)。小波变换分析进一步验证上述配位结构(图3h)。综上,Fe中心的第一配位层的特征是分别与四个N原子直接成键,而B与Co原子则位于FeN4的第二配位层实现电子结构调控。
图3 化学态与精细结构表征
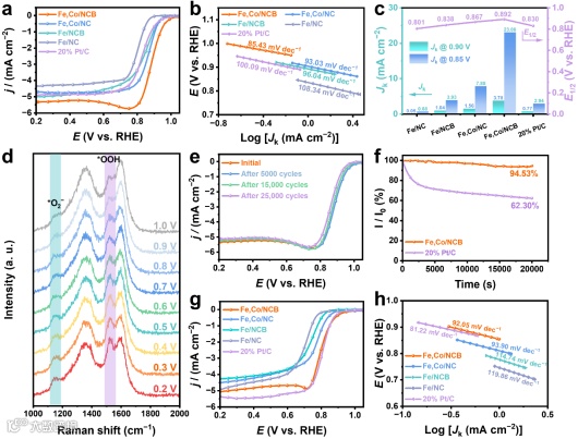
在0.1 M KOH中具有优异的ORR性能,Fe, Co/NCB的半波电位(0.892 V)、Tafel斜率(85.43 mV dec-1)及动力学电流密度(Jk@0.90 V=23.08 mA cm-2和Jk@0.85 V=3.78 mA cm-2)均显著优于商用Pt/C和其他对照催化剂(图4a-c)。图4d为Fe, Co/NCB催化剂在0.1 M KOH电解液中的原位拉曼光谱。结果表明在不同施加电位下,位于1155 cm-1(D 峰)和 1590 cm-1(G 峰)处的峰强度未发生明显变化,表明催化剂具有优异的结构稳定性。随着电位负移,ORR动力学逐渐加速。位于1153 cm-1处的峰强度逐渐增强,该峰归属于吸附在催化活性位点上的*O2⁻的O-O振动模式。该过程涉及单电子转移,将O2转化为*O2⁻,标志着ORR从氧气活化到后续中间体形成的关键起始步骤。同时,在1530 cm-1处观察到的峰源自*OOH的O-O振动模式,这与*O2⁻进一步还原密切相关。值得注意的是,*O2⁻(1153 cm⁻¹)和*OOH(1530 cm⁻¹)两种中间体的信号强度均随电位降低而增强,进一步证实了催化剂遵循4e⁻的ORR路径。稳定性测试表明,经过25000次循环后,Fe, Co/NCB的E1/2仅衰减了20 mV(图4e)。此外,i-t曲线表明,Fe, Co/NCB在测试20000 s后电流密度仍保持原来的94.53%,优于商用Pt/C催化剂(20000 s后62.30%),从而证明了Fe, Co/NCB出色的稳定性(图4f)。不仅如此,Fe, Co/NCB在0.1 M HClO4中的半波电位(0.798 V)和Tafel斜率(92.05 mV dec-1)虽略低于商用Pt/C催化剂,但是仍优于其他对照催化剂(图4g-h)。
图4催化剂的ORR性能图
将Fe, Co/NCB催化剂应用与液态ZAB中(图5a),其组装的电池实现226.64 mW cm-2的峰值功率密度与786.53 mAh gZn⁻¹(20 mA cm-2)的高容量,并表现出长达700 h的循环稳定性(图5b-d)。而且,Fe, Co/NCB基柔性ZAB在动态变形下也表现出出色的机械电化学稳定性。如图5e-f,基于Fe,Co/NCB的柔性ZAB实现了146.10 mW cm-2的峰值功率密度,即使在充放电过程中弯曲产生的机械应力下,也能在2 mA cm-2下保持优异的循环稳定性。
图5 催化剂在液态和柔性ZABs器件中的应用
科学材料站
总 结 与 展 望
本研究提出了一种FeN4第二配位层的非对称Co/B共掺杂策略,通过“金属取代与空间限域封装”协同机制成功制备原子级分散的Fe, Co/NCB催化剂。理论计算表明,Co/B共掺杂导致Fe 3dz2-O 2pz反键轨道能级下移且占据率提升,同时增强Fe-N键稳定性,协同优化*OH解吸动力学并抑制金属浸出。优化后的Fe, Co/NCB催化剂在碱性和酸性电解质中均展现出优异的ORR性能(碱性E1/2=0.892 V,酸性E1/2=0.798 V),超越多数报道的过渡金属单原子催化剂。当应用于液态ZAB和柔性ZAB时,该催化剂均实现高功率密度和优异的循环稳定性。该工作从电子轨道层面揭示了杂原子掺杂的催化调控机制,为新一代氧还原催化剂开发提供了新理论框架与技术路径。
科学材料站
文 献 信 息
Weakening the Dissociation Barrier of Hydroxyl in Fe–N–C Catalysts via Precisely Manipulating d–p Orbital Hybridization Behaviors for Efficient Oxygen Reduction Reaction, Zihao Wan, Zizai Ma, Xiaoyang Deng, Yun Wu, Jinping Li, Xiaoguang Wang, 2025. https://doi.org/10.1002/aenm.202501630
科学材料站
TOC 图
科学材料站
通 讯 作 者 简 介
马自在,太原理工大学化学与化工学院讲师。研究领域为电催化、光电催化材料的设计、合成及其在能源小分子(水分解、固氮等)催化转化领域应用。近年来,在Adv. Energy Mater., Chem. Eng. J., ChemSusChem, ACS Appl. Mater. Interfaces, Electrochim. Acta等知名期刊发表学术研究论文30余篇,获授权国家发明专利5项,2020年获山西省自然科学二等奖(第二完成人),主持国家基金青年项目1项、山西省基础研究面上基金1项。
王孝广,太原理工大学材料科学与工程学院教授、博导。研究领域涉及制氢及燃料电池用低铂/非铂催化剂设计合成及评价、锂/钠离子二次电池正/负极材料合成、电解液体系构建与商业化推广。近年来,以第一或通讯作者身份在Angew. Chem. Int. Ed., Adv. Energy Mater., Adv. Funct. Mater, ACS Catal., J. Mater. Chem. A, ACS Appl. Mater. Interfaces, Chem. Commun., J. Power Sources, J. Colloid Interface Sci.等知名学术期刊上发表论文80余篇;主持国家自然科学基金(青年、面上)、山西省基础研究面上项目、山西省高等学校优秀青年学术带头人资助项目、山西青年拔尖人才资助项目、企业委托项目等10余项;获2018山西省自然科学一等奖(第二完成人);以第一发明人获授权国家发明专利12项(已转化2项)。
添加官方微信 进群交流
SCI二氧化碳互助群
SCI催化材料交流群
SCI钠离子电池交流群
SCI离子交换膜经验交流群
SCI燃料电池交流群
SCI超级电容器交流群
SCI水系锌电池交流群
SCI水电解互助群
SCI气体扩散层经验交流群
备注【姓名-机构-研究方向】
投稿请联系contact@scimaterials.cn
点分享
点赞支持
点在看

