科学材料站
文 章 信 息
优化轨道杂化诱导的抑制多级相变并增强超低温(-70°C)钠存储的氧化还原动力学
第一作者:赖文斌,罗奋强
通讯作者:曾令兴,陈庆华,严振华,陈军
单位:福建师范大学,南开大学
科学材料站
研 究 背 景
锂离子电池(LIBs)的发展始终受限于有限的原材料储备,而将退役锂离子电池正极进行循环利用并转化为资源更加丰富的钠离子电池(SIBs)正极有望解决锂资源储量限制。在钠离子电池正极材料中,层状过渡金属氧化物正极(NaxMO2,其中M代表过渡金属)因其合成工艺简单和理论容量高而广受关注。然而,有害的相变严重阻碍了钠离子电池的实际应用,尤其在低温条件下Na+传输动力学急剧恶化。因此,开发适用于低温的NaxMO2正极材料仍是关键挑战。基于废旧LIBs中镍(Ni)、钴(Co)和锰(Mn)的元素组成,我们聚焦研究典型P2-Na2/3Ni1/6Co1/6Mn2/3O2钠离子电池材料。由于Na+的脱嵌过程及过渡金属的氧化还原特性,其内部原子结构必然持续变化,导致不可逆相变。充电过程中Na+脱出时,相邻TM层间出现O2-离子,其相互排斥作用导致层间距逐渐扩大,使Na层无法维持P2结构,最终通过相对滑移转变为其他相。虽然P2型氧化物中的Na+可通过宽三棱柱通道直接扩散以克服能垒,但循环中不可逆相变与中间相(P2′和OP4)导致的结构不稳定性阻碍了Na+扩散,进一步加剧极端低温环境下正极性能的衰减。
通过优化轨道杂化策略可增加费米能级附近Zn 3d与TM 3d的无序度,增强轨道重叠、消除中间相,并调控正极表面电解液分解行为。然而,优化正极轨道杂化以抑制不利相变并改善低温动力学的调控机制尚不明确。亟需开发一种“一石多鸟“的策略,同步解决层状过渡金属氧化物正极在储钠过程中的不利相变与低温动力学迟滞问题,尤其适用于Ah级软包电池的应用场景。
科学材料站
文 章 简 介
近日,南开大学陈军院士、严振华副研究员和福建师范大学陈庆华教授、曾令兴教授联合研究,在国际知名期刊Advanced Functional Materials上发表题为 “Optimising Orbital Hybridization Induced Quenching Multistage Phase Transitions and Enhancing Redox Kinetics for Ultralow-Temperature (-70°C) Sodium Storage” 的文章。该文章利用退役锂离子电池正极材料制备耐低温钠离子电池正极材料。通过引入Zn来增加费米能级附近的Zn 3d和Mn 3d态的无序度,同时减小Nae与Naf之间的能量差,有效消除了中间相(P2′相和OP4相)。这使得钠离子能够持续直接沿三棱柱路径迁移。这种有利的传输机制显著降低了低温下的电荷转移电阻,最终实现了优异的电荷传输动力学。此外,优化的轨道杂化提高了过渡金属(TM)的氧化还原速率,降低了系统反应的活化能,并减少了CEI界面阻抗(RCEI),使正极能够克服极端低温下的显著动力学限制。值得注意的是,即使在-70°C(0.5 C)下仍能保持58 mAh g-1的可观比容量。此外,HC||RMNC-2全电池在-20°C(0.5 C)循环200圈后比容量仍高达97 mAh g-1。HC||RMNC-2软包电池在150圈循环中平均容量为486 mAh,实现了207 Wh kg-1的能量密度。从环境与经济角度来看,将退役锂离子电池正极再造为钠离子电池正极,相比传统正极生产工艺展现出显著优越的可持续性和成本效益。
科学材料站
本 文 要 点
要点一:
Zn离子嵌入再生正极材料过渡金属位点,有效调控了费米能级附近Zn 3d与Mn 3d态的无序度以及Nae与Naf之间的能量差,从而抑制Na+空位有序化并消除有害的P2′相和OP4中间相。在整个循环过程中,RMNC-2始终保持稳定的P2相,使钠离子能持续通过三棱柱路径传输,显著降低极端低温下的电荷转移阻抗。
要点二:
Zn离子的引入诱导形成薄而富含NaF的CEI膜,该界面层具有优异的电绝缘性和机械强度,能有效抵抗电极材料破裂(缓解应力)并抑制电解液分解。优化再生正极结构中过渡金属与氧的轨道杂化,有效降低CEI界面阻抗(RCEI)和反应活化能,显著提升钠离子在常温和低温环境下的存储速率。
要点三:
经优化的轨道杂化使RMNC-2正极在-70°C下(0.5 C)仍能保持59 mAh g–1的比容量。软包电池实现207 Wh kg–1能量密度的同时,在-30°C下(0.2 C)仍能保持206 mAh的放电容量。
要点四:
探究了退役锂离子电池正极材料回收再利用过程的经济效益和环境影响。采用生命周期成本法分析了正极材料制备的各个环节。分析结果表明,再生正极的经济成本明显低于商业化正极。评价了常见的环境影响类型,与商业化正极的合成工艺相比,再生正极的生产具有更低的环境影响值。再生正极在经济和环境方面都表现出显著的优势。
科学材料站
研 究 背 景
Figure 1. a) The working mechanism of regenerated sodium-ion battery cathodes. b) XRD patterns of RMNC-0, RMNC-2 and RMNC-4. c) Rietveld refinement analysis of the XRD pattern of RMNC-2. d) Additional TEM image of RMNC-2. e) SAED pattern of RMNC-2. f) STEM–HAADF image of RMNC-2. g) EDS analysis at the atomic scale.
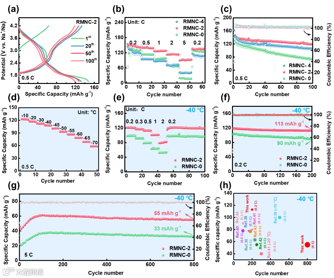
Figure 2. Electrochemical properties at 25 °C: a) GCD profiles of RMNC-2 at 0.5 C. b) Rate performance of RMNC-0, RMNC-2 and RMNC-4. c) Cycling performance of RMNC-0, RMNC-2 and RMNC-4 at 0.5 C. d) Cycling performances of RMNC-0 and RMNC-2 at 0.5 C from −10 to −70 °C. Electrochemical properties at −40 °C: e) Rate performances of RMNC-0 and RMNC-2. Cycling performances of RMNC-0 and RMNC-2 at f) 0.2 C and g) 5 C. h) Comparison of the electrochemical performance of RMNC-2 with other recently reported cathodes for SIBs at −40 °C (materials not tested at −40 °C are marked accordingly).
Figure 3. In-situ XRD patterns of a) RMNC-0 and b) RMNC-2 electrodes at different voltage states (1.5–4.2 V) at 0.1 C. c) Crystal structure evolution of RMNC-0 and RMNC-2. d) Evolution of lattice parameters obtained by rietveld refinement. e) In-situ EIS spectra of RMNC-2 and RMNC-0 at different voltages (-40°C). f) STEM–HAADF images of RMNC-2 electrodes in their uncycled state and after multiple cycles, recharged to 4.2 V. g) ICP results showing Mn ion dissolution after 200 cycles at 2 C for RMNC-0 and RMNC-2. h) Mn atomic ratio on the surface of sodium metal after 200 cycles at 2 C.
Figure 4. a) EIS study of RMNC-2 at various temperatures. Evolution of b) RCEI and c) Rct in different temperatures for RMNC-0 and RMNC-2 electrolytes. d) Calculated activation energy for RMNC-0 and RMNC-2. Comparison of the F 1s and O 1s XPS spectra of e) RMNC-0 and f) RMNC-2. g) Three-dimensional reconstructed images of the CEI for RMNC-2, showing the signals of C2HO−, CHO2−, NaF2−, NiF3−, MnF3− and CoF3− species. h) TOF-SIMS depth profiles of NiF3−, MnF3−, CoF3−, C2HO−, CHO2− and NaF2− species in RMNC-2.
Figure 5. Coordination environment characterization of RMNC-0 and RMNC-2: a) Mn normalized K-edge XANES spectra; b, c) Mn normalized K-edge XANES spectra and d, e) Mn EXAFS analysis of the samples at different voltages during the first cycle. f) WT-EXAFS spectra of RMNC-2 at different voltages. g) Crystal structure of RMNC-2 doped with Zn at the Ni site. h) Doping formation energies for Zn substitution at Co, Mn, Ni and Na sites. i) Energy difference between Nae and Naf sites in RMNC-0 and RMNC-2. j) TDOS for RMNC-2 and RMNC-0 (Local). k) DOS of O 2p and Ni 3d orbitals for RMNC-0 and RMNC-2. l) Schematic representation of the DOS for RMNC-0 and RMNC-2.
Figure 6. The performance of the full cell consisting of RMNC-2 and HC: a) Schematic diagram illustrating the operational principle of the HC || RMNC-2 full cell. b) GCD curves for RMNC-2 and hard carbon in a half-cell configuration. c) Rate performance of the HC || RMNC-2 full cell. Cycling stability of the HC || RMNC-2 full cell at d) 0.5 C and e) 2 C. f) Electrochemical energy storage performance of HC || RMNC-2 full cell at −20 °C. g) Cycling performance of HC || RMNC-2 pouch cell at 0.5 C. h) Performance of HC || RMNC-2 pouch cell under different temperatures from 25 to −30 °C during cycling at 0.2 C. i) Schematic diagram of HC || RMNC-2 pouch cell powered a mobile phone. Analysis of economic and environmental effects of synthetic regenerated RMNC-2 and commercial cathode (CM-NCM). j) Life cycle cost of each part. k) Total life cycle cost. l) Environmental impact characterization results.
科学材料站
文 章 链 接
Optimising orbital hybridization induced quenching multistage phase transitions and enhancing redox kinetics for ultralow-temperature (-70°C) sodium storage, Wenbin Lai+, Fenqiang Luo+, Lingxing Zeng*, Zhiying Lai, Kai Jia, Fuyu Xiao, Lihui Chen, Yong Lu, Qingrong Qian, Qinghua Chen*, Kai Zhang, Zhenhua Yan*, and Jun Chen*, Adv. Funct. Mater., 2025, 35, 2517602.
添加官方微信 进群交流
SCI二氧化碳互助群
SCI催化材料交流群
SCI钠离子电池交流群
SCI离子交换膜经验交流群
SCI燃料电池交流群
SCI超级电容器交流群
SCI水系锌电池交流群
SCI水电解互助群
SCI气体扩散层经验交流群
备注【姓名-机构-研究方向】
投稿请联系contact@scimaterials.cn
点分享
点赞支持
点在看


