科学材料站
文 章 信 息
高熵金属磷化物激活的氟化碳作为锂硫电池高容量正极的电活性载体
第一作者:高睿
通讯作者:陈鹏*,言天英*
单位:南开大学
科学材料站
研 究 背 景
锂硫电池具有较高的理论能量密度(2600 Wh/kg),是最有前途的高能量电池体系之一。然而,复合正极材料中通常使用大量的惰性载体材料,严重降低了锂硫电池的实际性能。本研究首次提出使用氟化活性炭(CF)作为硫电活性载体,释放了额外容量。特别是,高熵金属磷化物催化剂Pd0.34Sn0.15Ni0.05Co0.09Cu0.29P0.08通过原位负载沉积在CF上,对CF和硫转化过程均起到活化作用,使HEP/CF载体的额外容量几乎是原始CF的1.5倍。最终,S/HEP/CF正极在0.1C具有初始高放电容量(1059.2 mAh g−1−composite),2C下高倍率(476.5 mAh g−1−composite)和长循环稳定性。本工作展示了一种设计电活性硫载体提高锂硫电池性能的新策略。
科学材料站
文 章 简 介
基于此,南开大学材料科学与工程学院的讲师陈鹏,言天英研究员等人,在国际知名期刊Advanced Functional Materials上发表题为“High Entropy Metal Phosphide Activated Fluorinated Carbon as Electroactive Host for Extra High Cathode Capacity in Lithium–Sulfur Batteries”的研究论文。该文章利用了高熵金属磷化物活化的氟化碳作为硫正极载体,并提高了锂硫电池的实际容量。
图1. 锂硫电池用HEP激活CF载体的制备过程和容量贡献示意图。
科学材料站
本 文 要 点
要点一:高熵磷化物/氟化碳/硫复合材料的制备
HEP/CF复合材料制备是利用金属氯化物逐步加入到CF分散液,再加入NaH2PO2试剂进行磷化反应。在初始制备过程,SnCl2敏化反应将CF表面的Pd2+还原到Pd0,形成催化中心。Sn4+,Cu2+,Ni2+和Co2+在Pd中心被还原和磷化。次磷酸盐(H2PO2)作为温和的还原剂和磷源,使金属磷化物的生成得以控制。元素的局部聚集可以平衡催化活性,导电性和成本效益。特别是,Pd较高的催化活性,铜良好的导电性,Co/Ni是较好的低成本共催化剂。如图1所示,经过冷冻干燥和载硫,获得了硫,HEP和CF的正极复合材料(标记为S/HEP/CF)。电活性载体CF,在活性催化剂HEP下,提供了额外容量,从而提高了正极的能量密度。
要点二:结构表征
在氩气气氛下,利用熔融扩散法将硫负载到HEP/CF复合材料,晶态硫分散到HEP/CF纳米片,同时,没有影响CF结构(图2a)。通过硫渗透,CF纳米片形貌保持不变,而HEP纳米颗粒分散在CF上没有发生团聚(图2 b,c)。此外,相应的TEMEDS能谱图证实了硫与Pd, Sn, Ni, Co, Cu, P, C和F元素在CF纳米片均匀分布,有利于加快硫转化,促进了CF电化学可逆性(图2d)。
图2 (a). S/CF和S/HEP/CF复合材料的XRD图,(b-c). S/HEP/CF复合材料的SEM图, (d). S/HEP/CF复合材料的STEM图和相应Pd, Sn, Ni, Co, Cu, P, C, F和S元素能谱图。
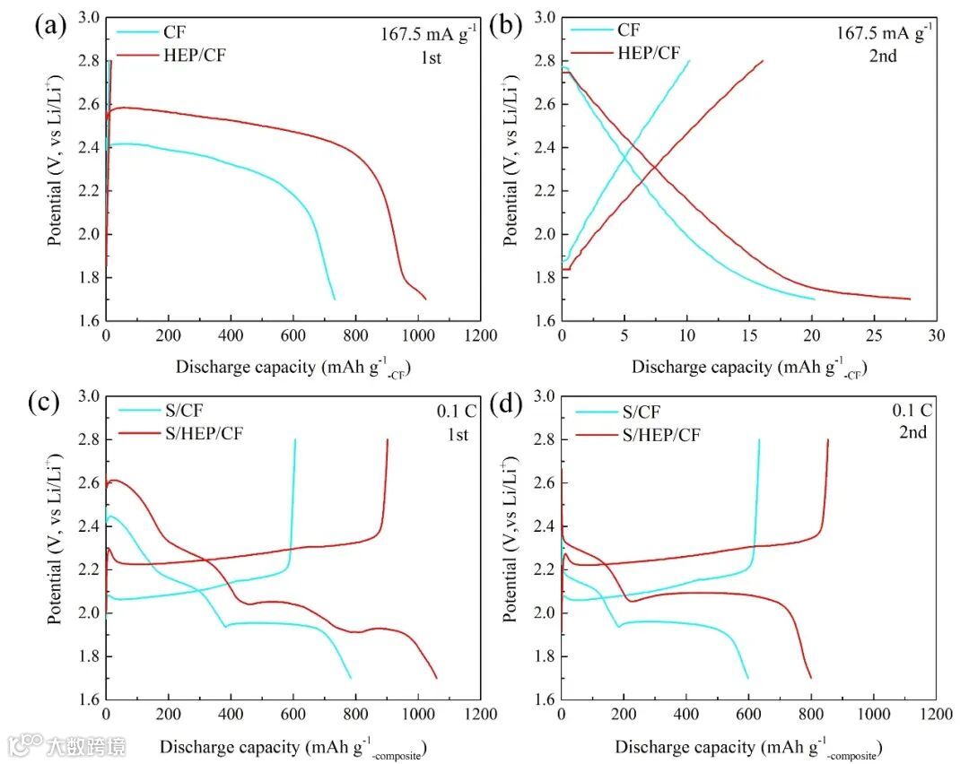
要点三:电化学性能
图3 a,b展示了CF和HEP/CF在前两圈循环的充放电曲线。结果表明,CF作为电催化载体,可以释放超过700 mAh g-1的高容量,而HEP活性催化剂的加入使容量提高约1.5倍(接近1100 mAh g-1)。这种载体的容量贡献对于提高整体正极的能量密度至关重要。在HEP的活化作用下,S/HEP/CF正极在首周呈现出四平台的特征,其中包含两个硫转化反应的平台,以及两个CF转化反应的平台。图3c是S/HEP/CF正极在0.1C倍率下(1C=1675 mA gs−1),复合材料作为活性材料,具有1059.2 mAh g−1−composite放电容量,高于S/CF正极(905.9 mAh g−1−composite)。容量提升来源于CF贡献和HEP优化硫的转化过程。
图3 CF和HEP/CF的容量贡献。
要点四:结构稳定性
图4 (a,b).S/CF和S/HEP/CF正极在0.1C下循环100圈的SEM图
图5 (a,b)S/CF和(c,d)S/HEP/CF在0.1C下循环100圈,锂负极的SEM和相应EDS能谱图
如图所示,S/CF正极表面可以清晰观察到大量硫颗粒。相比之下,S/HEP/CF正极表面光滑,扩散路径更优,有利于维持长循环。此外,与S/CF正极相比,S/HEP/CF正极的锂负极表面更光滑,裂纹较少。EDS能谱图展示S/HEP/CF在锂负极侧,硫元素分布相对较少,表明HEP/CF纳米片的加入有效抑制了“穿梭效应”,减少了LiPS向锂负极侧的迁移。结果表明HEP/CF纳米片不仅有效捕捉正极侧的LiPS,而且保护了锂负极,因此减弱了腐蚀,提高了锂硫电池的电化学性能。
要点五:结论
我们首次提出了一种利用电活性载体CF和活性催化剂HEP为锂硫正极提供了额外高容量的新策略。HEP纳米颗粒原位沉积在CF上,为CF和硫转化反应提供催化位点。结果表明,Pd0.34Sn0.15Ni0.05Co0.09Cu0.29P0.08(HEP)纳米颗粒分散在CF上,对LiPS到Li2S2/Li2S的转化具有较高的催化活性,也促进了CF的氧化还原,使S/HEP/CF正极具有较高的容量和能量密度。此外,S/HEP/CF正极具有更好的长循环稳定性,在0.1C下循环100圈具有550 mAh g−1−composite的高放电容量。本工作为设计高能量密度的锂硫电池电活性载体,提供了一种合理的策略。
科学材料站
文 章 链 接
High Entropy Metal Phosphide Activated Fluorinated Carbon as Electroactive Host for Extra High Cathode Capacity in Lithium–Sulfur Batteries
https://doi.org/10.1002/adfm.202502090
科学材料站
通 讯 作 者 简 介
陈鹏,南开大学材料科学与工程学院,新能源材料化学研究所,讲师。主要从事新能源材料领域的研究,包括新型光储能系统,全固态锂硫电池等。近五年以第一/通讯作者在Nature Communications,Advanced Functional Materials等知名期刊发表论文十余篇。
言天英,南开大学材料科学与工程学院,新能源材料化学研究所,研究员。教育部“新世纪优秀人才支持计划”入选者。主要开展新能源与材料化学相关体系的理论与计算化学方面的研究。使用计算机模拟方法深入理解微观分子间的相互作用,使之与宏观的物理化学性质联系起来。应用体系主要为能源材料、电解质体系等,研究兴趣在于界面的物理化学性质、溶剂化效应等。
科学材料站
第 一 作 者 简 介
高睿,南开大学材料科学与工程学院,博士研究生,研究方向是锂硫电池正极材料。
添加官方微信 进群交流
SCI二氧化碳互助群
SCI催化材料交流群
SCI钠离子电池交流群
SCI离子交换膜经验交流群
SCI燃料电池交流群
SCI超级电容器交流群
SCI水系锌电池交流群
SCI水电解互助群
SCI气体扩散层经验交流群
备注【姓名-机构-研究方向】
投稿请联系contact@scimaterials.cn
点分享
点赞支持
点在看

