科学材料站
文 章 信 息
Na3V2(PO4)2F3(NVPF) 作为一种典型的NASICON型化合物,因其高能量密度(500 Wh/kg)和高工作电压(3.9 V),一直是钠离子电池(SIB)中备受关注的正极材料。然而,其实际应用面临两大挑战:一是PO43-基团固有的绝缘性导致材料本征电子电导率较低;二是Na+离子半径较大,造成扩散动力学迟缓。这些问题共同限制了NVPF的电化学性能。
近日,临沂大学姜晓蕾教授团队与悉尼科技大学王娜娜研究员合作,在国际知名期刊《Advanced Science》上发表题为“Medium-entropy engineering enhances Na⁺/electron transport in Na3Fe0.1Mn0.2Co0.2Ni0.3V1.2(PO4)2F3@CNTs cathode for sodium-ion batteries” 的研究论文。该工作引入中熵工程策略,通过溶剂热法成功合成多元素掺杂的中熵氟磷酸盐正极材料
Na3Fe0.1Mn0.2Co0.2Ni0.3V1.2(PO4)2F3(记为ME-NV1.2PF,构型熵值1.2R),并与碳纳米管(CNTs)复合构建三维导电网络。中熵调控与碳包覆协同作用,显著提升了材料的电化学性能。在该复合材料中,V作为主体元素贡献容量,Fe、Mn、Co、Ni以中熵比例掺杂,协同调控电子结构和Na⁺扩散势垒;CNTs的引入进一步增强了电子传导并缓解循环过程中的机械应力,实现了“1+1>2”的协同增强效果。
科学材料站
本 文 要 点
要点一:ME-NV1.2PF@CNTs的形貌及其结构特征
Rietveld精修XRD结果表明,中熵工程促使晶格收缩,并显著提高了Na(2)位点的占有率(从0.50提升至0.59),有利于Na⁺的脱嵌。形貌分析显示CNTs均匀包覆在材料表面,形成连续导电网络,有效维持结构完整性并缓解循环应力。材料呈现多孔纳米结构(平均粒径约95.22 nm),在保持较高比表面积(46.92 m2/g)的同时缩短了Na⁺扩散路径,促进了电解液浸润。XPS与XAS分析表明,Mn与Ni以+2价、Fe与Co以+3价存在,其离子半径均小于V3+。WT-EXAFS结果进一步确认所有掺杂金属的配位环境与晶格中V位点一致,说明过渡金属成功固溶进晶格。
图1,a)样品材料的熵比较图;b)ME-NV1.2PF@CNTs的Rietveld细化XRD谱图,插图是NVPF和ME-NV1.2PF@CNTs晶体结构模拟图;c)NVPF和ME-NV1.2PF@CNTs的晶胞参数;d)ME-NV1.2PF@CNTs的元素分析结果。ME-NV1.2PF@CNTs的形貌分析;e)TEM;f)SEM;g)HRTEM;h)SAED。
图2,ME-NV1.2PF@CNTs的XPS高分辨光谱:a)C1s;b)V2p;c)Co2p;d)Fe2p;e)Mn2p和f)Ni2p。ME-NV1.2PF@CNTs的k边XANES光谱:g)V;h)Co;i)Fe;j)Mn和k)Ni元素的样品。ME-NV1.2PF@CNTs的WT-EXAFS光谱:l)V;m)Co;n)Fe;o)Mn和p)Ni元素的样品。
要点二:电化学性能的协同提升
系统电化学测试表明,当构型熵为1.2R时,材料表现出最优性能(包括放电比容量、极化、倍率及循环稳定性)。经CNTs包覆后,ME-NV1.2PF@CNTs在0.1 C下的放电比容量可达120 mAh/g,接近理论容量;在5 C高倍率下循环3000圈后仍保持60%的容量,库伦效率接近100%。动力学分析表明,Na⁺表观扩散系数位于10-10.5至10-12 cm2 s-1范围内,且循环后电极阻抗变化较小,显示出良好的结构稳定性与反应可逆性。
图3,a) 0.1 C下的充放电曲线;b)倍率性能;C)1 C下的循环性能图;d)2 C下的循环性能;e)ME-NV1.2PF@CNTs在0.1 C、0.5 C、1 C、2 C、5 C和10 C下的充电-放电曲线;f)在ME-NV1.2PF@CNTs在0.1 mV s−1下的前三圈CV曲线;g)ME-NV1.2PF@CNTs在1 C和2 C下的长循环性能;h)ME-NV1.2PF@CNTs在5 C下的长循环性能和库仑效率。
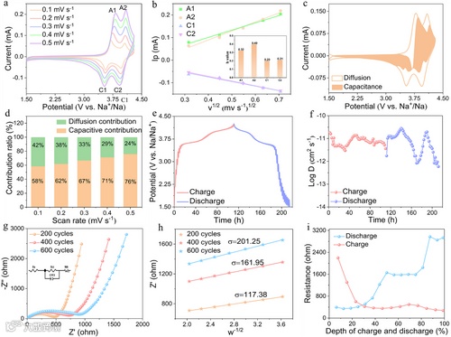
图4,ME-NV1.2PF@CNTs的动力学性能:a)不同扫描速率(0.1-0.5 mV s-1)下的CV测试曲线;b)v1/2与i之间的关系曲线;c)0.3 mV s-1下的伪电容贡献曲线;d)0.1-0.5 mV s-1下的伪电容贡献直方图;e)GITT测试曲线和f)Na+扩散系数变化曲线;g)EIS测试曲线和h)Warburg效率拟合曲线;i)充放电深度电阻变化曲线。
要点三:储钠机制研究
通过原位XRD与非原位XPS分析,揭示了ME-NV1.2PF@CNTs的储钠机制为“单相+双相”协同反应:在较低电压平台(≈3.5 V)发生单相反应,晶格参数可逆变化,结构稳定性高;在较高电压(≈3.9 V)则出现新衍射峰,属于两相反应,贡献额外容量。该机制兼具结构稳定性与高容量特性。非原位XPS结果进一步证实多电子反应参与储过程,支撑其优异容量表现。
图5,ME-NV1.2PF@CNTs:a)原位XRD测试曲线和b)原位XRD测试数据的等高线图。首圈的非原位XPS谱图:c)V2p;d)Fe2p;e)Mn2p;f)Ni2p和g)Co2p。
要点四:中熵增强机制的理论计算
过DFT计算与电荷分布分析,从原子/电子尺度阐释了性能提升机制。与传统NVPF相比,ME-NV1.2PF@CNTs中的中熵晶格调控减弱了Na⁺与周围离子的相互作用,显著降低Na⁺迁移能垒(0.248 eV vs. 0.402 eV)。三维电荷密度图显示[TMO4F2] 八面体单元具有更负的Bader电荷,表明其结构更稳定,Na⁺扩散路径更优。
图6,态密度(DOS)图:a)NVPF和b)ME-NV1.2PF。c)NVPF和ME-NV1.2PF晶体的[TMO4F2]八面体中氧原子的Bader电荷分析,插图显示了[TMO4F2]八面体在相应平面上的电荷密度等值线图。d)ME-NV1.2PF的钠离子迁移路径,e)NVPF和ME-NV1.2PF的Na+迁移能量势垒。
科学材料站
文 章 链 接
Ju Yang, Najun Liu, Guanglu Jiang, Huili Peng, Kan Mi, Nana Wang,* Zhongchao Bai, and Xiaolei Jiang*, Medium-Entropy Engineering Enhances Na⁺/Electron Transport in Na3Fe0.1Mn0.2Co0.2Ni0.3V1.2(PO4)2F3@CNTs Cathode for Sodium-Ion Batteries, Advanced Science, 2025, e07806.
https://advanced.onlinelibrary.wiley.com/doi/10.1002/advs.202507806
添加官方微信 进群交流
SCI二氧化碳互助群
SCI催化材料交流群
SCI钠离子电池交流群
SCI离子交换膜经验交流群
SCI燃料电池交流群
SCI超级电容器交流群
SCI水系锌电池交流群
SCI水电解互助群
SCI气体扩散层经验交流群
备注【姓名-机构-研究方向】
投稿请联系contact@scimaterials.cn
点分享
点赞支持
点在看


