科学材料站
文 章 信 息
双侧链接枝聚(芳基哌啶)含联苯基咔唑单元用于阴离子交换膜燃料电池和水电解应用
第一作者:巩守涛
通讯作者:张凤祥
单位:大连理工大学
科学材料站
研 究 背 景
随着全球能源结构向低碳化转型,氢能作为清洁、高效的二次能源载体,其开发与利用技术已成为各国战略布局的重点。氢氧燃料电池(AEMFC)与阴离子交换膜水电解(AEMWE)分别作为氢能高效利用与绿色制氢的关键技术,因其可在碱性环境中使用非贵金属催化剂(如镍、铁等),显著降低了系统成本,展现出巨大的商业化潜力。
然而,作为核心部件的阴离子交换膜(AEM),其性能与稳定性始终是制约技术发展的瓶颈。传统聚对三联苯哌啶类膜材料,虽具备良好的碱稳定性,但由于主链结构紧密、疏水微相聚集能力有限,导致亲/疏水微相分离程度不足,离子传输通道不连续,限制了电导率的提升。此外,在高碱性强亲核性的OH-环境下,膜内阳离子基团与聚合物主链易发生降解,进一步影响膜的使用寿命。因此,如何在保证化学稳定性的前提下,通过合理的分子设计增强微相分离、构建高效离子通道,成为当前AEM研究的核心挑战。
科学材料站
文 章 简 介
针对上述挑战,大连理工大学张凤祥教授团队在《Chemical Engineering Journal》上发表了题为“Dual-side-chain grafted poly (aryl piperidinium) containing biphenyl-carbazole unit for anion exchange membrane fuel cell and water electrolysis applications”的研究论文。该研究创新性地将刚性联苯基咔唑单元引入聚芳基哌啶主链,并同步接枝全氟化疏水侧链与含醚键亲水侧链,构建了一种具有“刚性主链+双功能侧链”协同作用的新型AEM。
该膜通过联苯咔唑单元扩大主链间距、增强自由体积,结合全氟侧链的强疏水效应与含醚侧链的亲水作用,显著促进了微相分离与离子团簇的连续性。系统研究表明,当联苯咔唑含量为5%时,膜在80°C下氢氧根电导率高达145.1 mS/cm,并在2 M NaOH、80°C条件下处理2000小时后仍保持92.2%的电导率,展现出优异的碱稳定性。基于该膜的燃料电池峰值功率密度达1678 mW/cm2,水电解在2.0 V下电流密度达6.35 A/cm2,为下一代高性能、长寿命阴离子交换膜的设计提供了新思路。
图1 PAP-OpF6-Bcx分子结构
图2 PAP-OpF6-Bcx结构核磁氢谱图像
科学材料站
本 文 要 点
要点一:
主链刚性调控与自由体积协同设计传统PTP主链因线性结构易致密堆积,限制离子传输。本研究引入具有大体积、刚性结构的联苯咔唑单元,有效扩大了主链间距(由3.95 Å增至4.38 Å),增强了自由体积效应,为离子团簇的聚集提供了物理空间。结合全氟侧链的强疏水效应,协同增强了亲/疏水微相之间的热力学不相容性,显著促进了微相分离。
图3 (a)联苯基咔唑的分子构型;(b)PAP-OpF6-Bcx的XRD图像
要点二:双功能侧链构建连续离子通道
研究设计了兼具疏水全氟链与亲水含醚链的双功能侧链结构。全氟链增强疏水微相,含醚链则通过形成额外亲水微区,进一步提升亲水相连续性。SAXS与TEM结果显示,最优样品PAP-OpF6-Bc5%的离子团簇尺寸达8.3 nm,形成了更为连续的离子传输路径。
图4 (a) PAP-OpF6-Bcx膜的TEM图像; (b) PAP-OpF6-Bcx膜的SAXS图像;(c) PAP-OpF6和PAP-OpF6-Bc5%膜的AFM图像
要点三:膜性能兼顾导电与稳定
在IEC为2.36 mmol/g时,PAP-OpF6-Bc5%膜电导率达145.1 mS/cm(80 °C),较无Bc样品提升约11%。同时,单阳离子型侧链结构与醚键的给电子效应共同提升了膜的碱稳定性,在苛刻条件下(2 M NaOH, 80°C, 2000 h)仍保持92.2%的离子电导率。
图5 PAP-OpF6-Bcx电导率随温度的变化曲线
图6 (a)和(b)PAP-OpF6和PAP-OpF6-Bc5%在80 ℃下于1 M和2 M的NaOH溶液中暴露不同时间的离子电导率保留率
要点四:器件性能优,良好的应用潜力
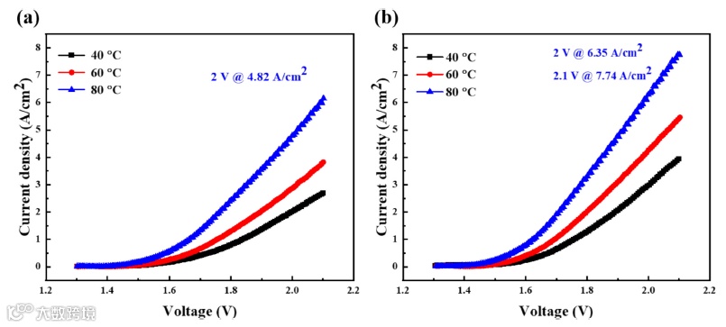
PAP-OpF6-Bc5%膜组装成的水电解池在2.0 V下电流密度达6.35 A/cm2,远超商用FAA膜(840 mW/cm2;3.51 A/cm2);H2/O2燃料电池在1.2 bar背压下峰值功率密度达1678 mW/cm2,。该膜在燃料电池间歇运行中也展现出良好的结构稳定性,验证了其在实际工况下的应用潜力。
图7 (a) PAP-OpF6和(b)PAP-OpF6-Bc5%膜的电解水极化曲线。膜厚度 40 μm; 正极采用 PFBP粘结剂和 Pt/C催化剂 (1 mg/cm2); 负极采用NiFe催化剂 (2.3 mg/cm2)。
图8 (a)和(b)PAP-OpF6和PAP-OpF6-Bc5%在0 bar和1.2 bar背压下的功率密度曲线;(c)PAP-OpF6-Bc5%燃料电池间歇运行电压稳定性曲线,(d)电池运行100小时前后的核磁谱图
要点五:微观机制深入揭示构效关系
通过XRD、SAXS、AFM、TEM等多尺度表征手段,系统揭示了Bc含量对微观结构的影响规律:适量Bc促进微相分离,过量则因空间位阻抑制离子团簇生长。该研究为后续AEM材料的理性设计提供了重要理论依据。
科学材料站
文 章 链 接
Dual-side-chain grafted poly (aryl piperidinium) containing biphenyl-carbazole unit for anion exchange membrane fuel cell and water electrolysis applications, Chemical Engineering Journal 523 (2025) 168673.
https://doi.org/https://doi.org/10.1016/j.cej.2025.168673
科学材料站
通 讯 作 者 简 介
张凤祥,大连理工大学教授、博士生导师,主要从事储能电池与燃料电池关键材料和器件研究,包括碱性电解质膜、电渗析阴离子交换膜、锂硫电池催化隔膜和高性能电极材料等。近年主持国家自然科学基金面上项目3项,承担国家重点研发计划课题及省市级及其他各类项目近20项。在Adv. Mater., ACS Nano., Chem. Eng. J., J. Mater. Chem. A, J. Membr. Sci., J. Energy. Chem.等期刊发表论文100余篇。
添加官方微信 进群交流
SCI二氧化碳互助群
SCI催化材料交流群
SCI钠离子电池交流群
SCI离子交换膜经验交流群
SCI燃料电池交流群
SCI超级电容器交流群
SCI水系锌电池交流群
SCI水电解互助群
SCI气体扩散层经验交流群
备注【姓名-机构-研究方向】
投稿请联系contact@scimaterials.cn
点分享
点赞支持
点在看


