科学材料站
文 章 信 息
Fluorine-doping and biomass nanocellulose synergy enable ultra-stable ZnMn₂O₄ cathodes for aqueous zinc-ion batteries
第一作者:权梓昂
通讯作者:崔萌*(吉林化工大学)
单位:吉林化工大学
科学材料站
研 究 背 景
水系锌离子电池(AZIBs)因本征安全、低成本而备受关注,但正极材料仍面临容量衰减快、离子扩散慢、结构不稳等难题。自旋尖晶石结构的 ZnMn₂O₄(ZMO)资源丰富、环境友好、理论容量高,却易发生 Mn³⁺不均化与结构坍塌,且导电性有限、Zn²⁺扩散瓶颈明显。如何在提升导电/扩散的同时增强晶格与电极架构稳定性,是推动 AZIB 正极走向实用的关键。
科学材料站
文 章 简 介
吉林化工大学崔萌副教授团队在 CEJ 发表观点性研究:提出“氟掺杂(缺陷工程)+ 生物质纳米纤维增强(结构工程)”的双向协同思路,系统提升 ZMO 正极的结构稳定性与传输动力学。工作通过F 掺杂诱导氧空位与能带调控,并以秸秆来源的纤维素纳米纤维(SCNFs)@碳纳米管(CNT)构建柔性导电骨架,实现高比容量、优异倍率与超长循环寿命。
图1 玉米秸秆纤维素的层级结构示意图,以及 ZMO/CNT-F 的合成流程。
科学材料站
本 文 要 点
要点一:F 掺杂引发的“缺陷—能带”联动优化
F⁻ 等位替换 O²⁻ 并诱导高浓度氧空位,在不改变 ZMO 主相的前提下,加快 Zn²⁺扩散、提升电子电导,XRD/Raman/EPR/XPS 共同验证。
DFT 指出:带隙缩窄、键长适度延展与电荷密度再分布,降低扩散能垒,构建更“开放”的扩散通道。
图2 (a) 玉米秸秆与其制得的纤维素纳米纤维(SCNFs)的 XRD 图谱;(b) 玉米秸秆与 SCNFs 的 FTIR 光谱;(c) ZMO/CNT 与 ZMO/CNT-F 的 XRD 图谱;(d) ZMO/CNT 与 ZMO/CNT-F 的 Raman 光谱;(e) ZMO/CNT 与 ZMO/CNT-F 的 EPR 光谱;(f) ZMO/CNT 与 ZMO/CNT-F 的 N₂ 吸附–脱附等温线。
图3 (a) ZMO/CNT 与 ZMO/CNT-F 的 TGA 曲线;(b) ZMO/CNT 与 ZMO/CNT-F 的全谱 XPS;(c) ZMO/CNT 与 ZMO/CNT-F 的高分辨 F 1s 光谱;(d) ZMO/CNT 与 ZMO/CNT-F 的高分辨 O 1s 光谱;(e) ZMO/CNT 与 ZMO/CNT-F 的高分辨 Mn 2p 光谱;(f) ZMO/CNT 与 ZMO/CNT-F 的高分辨 Zn 2p 光谱。
图4 (a–b) ZMO/CNT 与 ZMO/CNT-F 的总态密度与分态密度(TDOS 与 PDOS);(c–d) ZMO/CNT 与 ZMO/CNT-F 的晶体结构模型;(e–f) ZMO/CNT 与 ZMO/CNT-F 的电荷密度分布。
要点二:SCNFs@CNT 柔性导电骨架赋能
以秸秆纤维素纳米化(微波碱处理+草酸/盐酸水解+高压均质)获得 SCNFs,并与 CNT 真空过滤成膜。
该骨架兼具机械稳固+连续电子/离子通道+良好浸润,作为“承载+导电”双功能集流体,显著提升电极完整性与循环稳定性。
图5 (a1, a2) 不同放大倍数下 ZMO/CNT 的 SEM 图像;(b1, b2) 不同放大倍数下 ZMO/CNT-F 的 SEM 图像;(c1, c2) ZMO/CNT 的 TEM 与 HRTEM 图像;(d1, d2) ZMO/CNT-F 的 TEM 与 HRTEM 图像;(e) ZMO/CNT-F 的元素分布(映射)图。
要点三:综合电化学性能突出
在 0.5 A·g⁻¹ 下,ZMO/CNT-F 达到534.7 mAh·g⁻¹;
在 3 A·g⁻¹ 高倍率下循环 4000 次后仍保持224.5 mAh·g⁻¹,库仑效率≈99%;
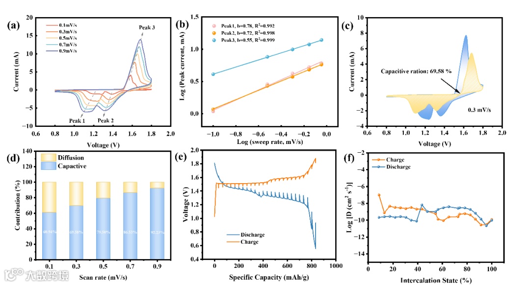
CV/GITT/EIS 证实电荷存储由扩散与赝电容协同贡献,扩散系数显著高于未掺杂样品,电荷转移电阻最低。
适度 F 含量窗口可避免 MnF₂ 副相生成,性能—相结构呈协同最优。
图6 (a) 扫描速率 0.2 mV·s⁻¹ 下 ZMO/CNT 与 ZMO/CNT-F 的 CV 曲线;(b) ZMO/CNT-F 在 0.2 mV·s⁻¹ 下前 5 圈的 CV 曲线;(c) 不同电流密度下 ZMO/CNT-F 的 GCD 曲线;(d) ZMO/CNT-F 在 0.5 A·g⁻¹ 下的长循环性能;(e) ZMO/CNT-F 在 0.5 A·g⁻¹ 下不同循环次数的 GCD 曲线;(f) ZMO/CNT-F 的倍率性能;(g) ZMO/CNT-F 在 3 A·g⁻¹ 下的长循环稳定性。
图7 (a) 0.1–0.9 mV·s⁻¹ 不同扫描速率下 ZMO/CNT-F 的 CV 曲线;(b) 各氧化还原峰的 log(i)–log(v) 拟合;(c) 0.3 mV·s⁻¹ 下的 CV 曲线及赝电容贡献高亮;(d) 不同扫描速率下赝电容与扩散控制贡献;(e) ZMO/CNT-F 电极的 GITT 曲线;(f) ZMO/CNT-F 在充放电过程中的 Zn²⁺扩散系数。
要点四:机理与可持续性的统一
原位/Ex situ 表征揭示充放电过程中的可逆结构演化、Mn 价态变化与 Zn²⁺嵌入/脱嵌行为;F 掺杂在循环中保持稳定。
绿色制造:以农业废弃物玉米秸秆为原料制备 SCNFs,兼顾环境友好与电极工程化需求。
图8 (a) ZMO/CNT-F 在 0.2 A·g⁻¹ 下的充放电曲线;(b) 不同充放电状态下 ZMO/CNT-F 的原位后(ex situ)XRD 图谱;(c) 选定充放电状态下 ZMO/CNT-F 电极的原位后 Zn 2p XPS 光谱;(d) 不同充放电状态下 ZMO/CNT-F 电极的原位后 Mn 2p₃/₂ XPS 光谱。
要点五:前瞻与展望
进一步朝高载量(≥3 mg·cm⁻²)厚电极、一致化测试协议与界面/副相原位追踪推进;
“缺陷工程 + 纤维骨架工程”的通用策略有望推广到更多 Mn 基或其他水系正极体系。
科学材料站
文 章 链 接
Fluorine-doping and biomass nanocellulose synergy enable ultra-stable ZnMn2O4 cathodes for aqueous zinc-ion batteries
https://doi.org/10.1016/j.cej.2025.169947
科学材料站
通 讯 作 者 简 介
崔萌,工学博士,副教授,吉林省“E+”类人才,研究方向长期聚焦于纤维素及其衍生物功能化;复合生物传感器研究;纤维素基储能材料等。主持吉林省科技厅项目1项、吉林省教育厅项目1项、吉林市科技局项目1项、吉林化工学院校级重大科研项目1项;参与吉林省科技厅项目2项、吉林省教育厅项目1项、吉林化工学院校级重大科研项目3项;与北方世纪纤维素有限公司合作横向技术服务项目1项;作为主要成员获吉林省科技进步三等奖1项。共计发表高水平科研论文30余篇,申请发明专利6项。
科学材料站
第 一 作 者 简 介
权梓昂,吉林化工大学在读硕士研究生,吉林化工大学材料科学与工程研究中心,主要从事水系锌离子电池正极材料设计与表征研究。
科学材料站
课 题 组 介 绍
吉林化工大学崔萌团队长期聚焦纤维素及其衍生物功能化;复合生物传感器研究;纤维素基储能材料等,围绕缺陷工程、界面工程与生物质材料在储能电极中的耦合应用开展工作,注重机制驱动的材料—结构一体化设计与工程可实施性,欢迎学术/产业界合作洽谈。
添加官方微信 进群交流
SCI二氧化碳互助群
SCI催化材料交流群
SCI钠离子电池交流群
SCI离子交换膜经验交流群
SCI燃料电池交流群
SCI超级电容器交流群
SCI水系锌电池交流群
SCI水电解互助群
SCI气体扩散层经验交流群
备注【姓名-机构-研究方向】
投稿请联系contact@scimaterials.cn
点分享
点赞支持
点在看


