科学材料站
成 果 简 介
卤化铅基有机-无机杂化材料因其优异的光电性能,在太阳能电池和发光二极管(LED)等领域受到广泛关注。温度依赖的带隙变化与材料的热膨胀行为密切相关,对器件的稳定性与性能具有决定性影响。然而,目前此类材料的热膨胀机制仍未被充分揭示,尤其是结构相变与光物理性质之间内在关联尚不清晰。
南京工业大学邵冬生博士、任小明教授团队与苏州大学宁为华教授团队合作,设计并合成了两种同构的一维(1D)卤化铅基有机-无机杂化材料 [XMePyr][PbX3]【XMePyr+= 1-(2-卤乙基)-1-甲基吡咯烷阳离子;X = Br(1)或 Cl(2)】。该类材料首次呈现出罕见的“PbX5四方锥链结构”,并在链方向表现单轴负热膨胀(NTE)特性,其机制源于链内卤素离子的横向振动(这是首次在1D 卤化铅基杂化体系中揭示该类 NTE 行为)。更为重要的是,NTE 行为与独特的热响应荧光性质相耦合:1 呈现激发依赖的双发射,而 2 则表现出罕见的负热猝灭现象。该研究揭示了1D卤化铅杂化物中结构相变—热膨胀—光发射之间的深度耦合机制,首次阐明了链内振动诱导的单轴NTE效应,并展示了其可逆热响应荧光特性,为新型温度响应型光电子器件的设计提供了重要指导。
相关工作以《Thermally Responsive Multistate Fluorescence Coupled with Uniaxial Negative Thermal Expansion in 1D Lead Halide Hybrids》为题在《Chemical Science》上发表。
科学材料站
图 文 导 读
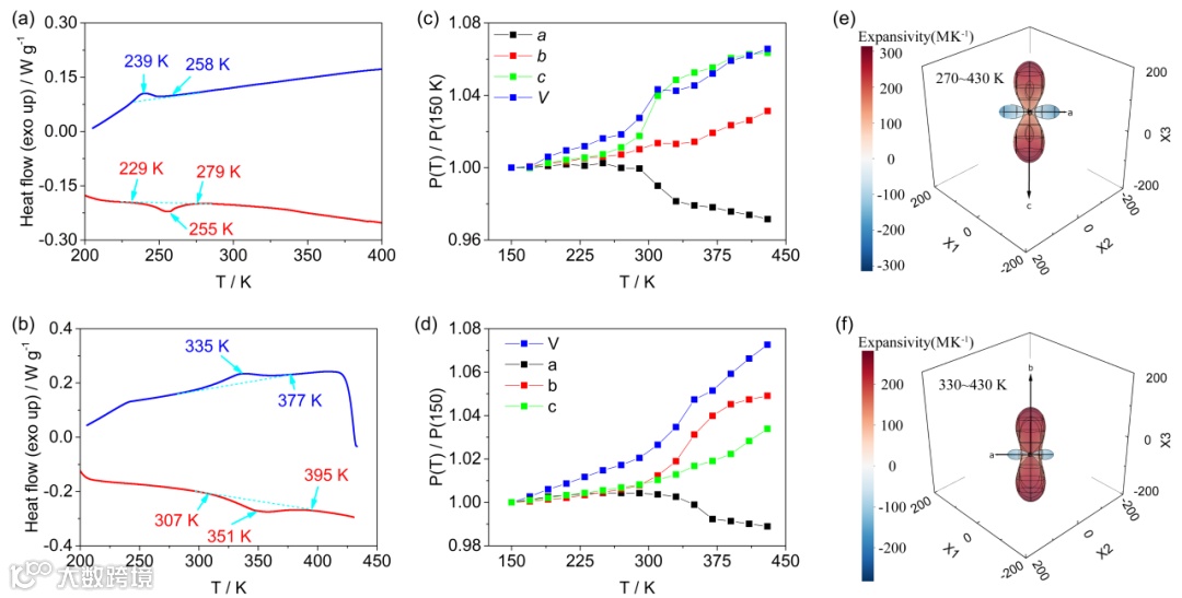
团队通过溶液挥发法制备得到白色针状晶体,变温单晶 X 射线衍射分析表明,两种化合物在高、低温相均属于正交晶系 Pnma,同时具备优异的结构稳定性。该体系的核心结构特征为“半定向 PbX5 四方锥链”,其在卤化铅基杂化体系中极为罕见。[PbX5]3- 单元沿 a 轴边共享连接形成 1D 无机链,而有机阳离子 [XMePyr]+ 以范德华力与氢键填充链间空间,实现了有机–无机相的紧密耦合。这种结构特征为后续的热响应行为提供了稳定骨架和可调控通道。
差示扫描量热(DSC)结果表明,两种化合物均经历可逆同构相变,且相变与热膨胀行为密切相关。三次加热–冷却循环后相变峰位置未发生变化,显示出优良的循环可逆性。更为关键的是,两种化合物在 a 轴方向表现出显著的单轴 NTE 行为:低温相中 a 轴几乎零膨胀(ZTE),而高温相中 a 轴转为明显收缩。机理研究揭示,NTE 源于链内卤素离子的横向振动(垂直于 a 轴),这一机制与石墨烯面内收缩效应相似,在 1D 卤化铅基体系中为首次报道。
荧光测试进一步揭示了热膨胀与发光的耦合特性。1 在不同激发下呈现带边发射与自陷激子发射的双发射行为,且发射强度比随温度线性变化(203–253 K 区间线性相关系数 0.993),伴随荧光颜色从红向蓝的可逆转变,显示其在低温传感领域的潜力。2 则表现出典型的自陷激子发射及“负热猝灭”现象,随着温度升高,发光强度反而增强(203–283 K),283 K 以上转为常规热猝灭,其转折点与相变温度一致,进一步印证了结构与光学行为的深度耦合。
科学材料站
文 献 信 息
Thermally responsive multistate fluorescence coupled with uniaxial negative thermal expansion in 1D lead halide hybrids, Chemical Science, 2025.
https://doi.org/10.1039/D5SC05322F
添加官方微信 进群交流
SCI二氧化碳互助群
SCI催化材料交流群
SCI钠离子电池交流群
SCI离子交换膜经验交流群
SCI燃料电池交流群
SCI超级电容器交流群
SCI水系锌电池交流群
SCI水电解互助群
SCI气体扩散层经验交流群
备注【姓名-机构-研究方向】
投稿请联系contact@scimaterials.cn
点分享
点赞支持
点在看


