科学材料站
文 章 信 息
多元合金界面构筑磁-电双场:实现无负极钠金属电池的均匀沉积
第一作者:胡泽伟
通讯作者:李维杰*
单位:中南大学粉末冶金研究院
科学材料站
研 究 背 景
钠资源分布广泛、储量丰富,且价格低廉,使钠基电化学储能系统被视为有望替代锂离子电池的经济型方案。钠金属具有较低的还原电位(−2.71 V vs SHE)和高理论比容量(1166 mAh g⁻¹)。然而,传统钠金属电池普遍面临过量钠使用和钠金属薄片制备困难等问题,限制了其大规模应用。无负极钠金属电池(AFSMB)不使用负极材料,实现“钠离子原位镀钠”的设计,显著提升能量密度并提高制造兼容性,但其单一钠源特性使得电池对不可逆钠损失极为敏感。钠在裸集流体表面的非均匀沉积会引发枝晶生长与短路,尤其在高电流密度下,尖端效应会进一步放大局部电场,导致钠离子向凸起处聚集,造成界面失稳与容量快速衰减。因此,如何实现集流体界面的稳定化、均匀调控钠沉积并抑制枝晶生长,是提升AFSMB循环寿命的关键难题。
在此背景下,我们课题组围绕AFSMB的关键挑战开展了系统研究:在Advanced Functional Materials期刊上发表综述,系统总结了AFSMBs的起源、挑战与策略,明确了钠源有限、沉积不均与界面失稳等核心问题(Advanced Functional Materials, 2024, 34(22): 2313823)。在Energy & Environmental Science提出溶剂吸附隔膜(SAS-N)策略,通过钠源补偿与溶剂化结构调控显著提升低温循环稳定性(Energy & Environmental Science, 2025, 18(23): 10048–10060)。在ACS Nano报道了在铜集流体上构筑快速离子扩散界面层,实现高倍率下的无负极钠电池(ACS Nano, 2025, 19, 23193)。基于这些工作,我们进一步提出并验证了通过多元合金界面引入磁-电双场调控钠沉积的新策略,以实现更均匀的钠沉积与更长寿命的循环性能。
科学材料站
文 章 简 介
近日,中南大学李维杰课题组在Energy Storage Materials发表题为“Multicomponent Alloy–Engineered Interfaces for Magnetic Regulation of Sodium Deposition in Anode-Free Sodium Metal Batteries”的研究论文。文章提出了一种磁-电双场界面调控策略:将FeCoNiCuSn多元合金与碳纳米管复合材料(MA@CNT)涂覆于商用铝箔集流体,构建多功能界面层。该界面中,碳纳米管形成连续导电网络,提供空间约束以抑制合金颗粒粉化;Sn作为亲钠元促进均匀成核,Fe/Co/Ni等磁性元素则在沉积过程中产生局部磁场,通过洛伦兹力调控Na⁺迁移路径,使离子分布更均匀、抑制尖端效应。多元合金结构还可缓解合金化过程中的体积膨胀,从而提升界面稳定性。实验与理论表明,该策略显著提高了钠沉积的可控性与循环稳定性,且对应的无负极钠金属电池展现出优异的倍率性能与长寿命表现。该研究为解决AFSMB界面失稳问题提供了新的思路,并为高能量密度钠金属电池的实际应用提供了重要参考。
图1. 电场与磁-电双场在无负极钠金属电池中的机制示意及性能对比
科学材料站
本 文 要 点
要点一:钠金属在不同集流体上的沉积行为与界面演化机制
钠金属在集流体上的沉积行为高度依赖于界面结构与成分特性。在传统碳基集流体(CNT)上,由于缺乏均一的钠亲和位点,初始钠成核过程呈现明显的随机性,仅形成稀疏且孤立的钠核。随着沉积的进行,这些钠核逐渐并合形成局部突起结构,而后续钠沉积生长于突起区域,导致沉积层中存在大面积未覆盖区域,从而诱发严重的非均匀沉积与枝晶生长风险。通过引入Sn或Sn/FeSn修饰,集流体表面的活性成核位点数量显著增加,在沉积初期可实现相对致密的钠成核。然而,由于界面结构稳定性不足,沉积的钠层在后续生长过程中仍然不可避免地演化为开裂、粗糙且不连续的形貌,表明单一提升成核密度仅能在一定程度上缓解而难以根本解决非均匀沉积问题。相比之下,MA@CNT集流体展现出显著优化的钠沉积行为。在该界面上,钠能够快速实现高密度、均匀成核,并在持续沉积过程中逐步演化为致密、平整且连续的钠层结构,几乎不产生明显的突起或裸露区域。示意分析表明,传统CNT集流体以“突起主导型”生长路径为特征,而MA@CNT则成功实现了由均匀成核到平面化生长的沉积模式转变,凸显了界面工程在调控钠沉积路径中的关键作用。激光共聚焦显微镜(LCSM)对表面粗糙度的定量分析同样验证了上述结论,MA@CNT上的钠沉积层粗糙度显著低于其他对比样,表明其能够有效诱导形成致密、均匀的钠金属层。
图2. 不同基底对钠金属沉积的影响。在电流密度为 1 mA cm⁻² 条件下,不同Na沉积容量下的(a)CNT、(b)Sn@CNT和(c)MA@CNT的时间序列SEM图像。(d)CNT 和(e)MA@CNT的Na成核与生长机制示意图。(f)在沉积容量为5 mAh cm⁻²时,CNT、Sn@CNT、Sn/FeSn@CNT及MA@CNT基底上钠沉积的LCSM图像。
要点二:磁场调控钠离子通量分布,抑制枝晶生长的作用机制
磁场调控钠离子通量分布的作用机制在于,CNT 和 Sn@CNT 体系中仅受电场作用,Na⁺主要沿垂直于集流体表面的方向迁移,易在表面凸起处发生局域富集,从而导致电流密度不均和不稳定的垂直枝晶生长;而在引入 Fe、Co、Ni 等铁磁元素的MA@CNT中,界面产生的局域磁场使迁移中的Na⁺额外受到切向洛伦兹力作用,该力虽不对离子做功,但能够显著偏转其运动轨迹,促使离子由单一的垂直迁移转向沿集流体表面的横向扩散,从而有效缓解局部离子堆积并均匀电流密度分布。电–磁场的协同调控不仅抑制了垂直枝晶生长,还促进了均匀成核和致密、平整的钠沉积形貌,表明MA通过磁辅助效应在纳米尺度上实现了对钠离子通量分布的有效调控。
图3 磁场对钠金属沉积的作用机制。(a) CNT、(b) Sn@CNT 和 (c) MA@CNT 条件下Na⁺轨迹的模拟结果。(d) 仅电场作用下钠沉积行为的示意图,以及 (e) 电–磁双场协同作用下钠沉积行为的示意图。
要点三:电–磁协同界面促进高可逆性钠沉积/剥离
MA@CNT界面在钠沉积/剥离过程中的高可逆性源于其对界面反应动力学和离子传输行为的协同优化。一方面,MA@CNT在不同电流密度和长时间循环条件下均表现出更高且更稳定的库仑效率、更低的极化电压和成核过电位,表明其能够实现均匀、可逆的钠成核与沉积;另一方面,原位 EIS-DRT 分析显示,MA@CNT 显著降低了SEI阻抗和电荷转移阻抗,反映出更快的界面反应动力学。这种优势不仅来自MA相提供的稳定化学界面和丰富的亲钠活性位点,还得益于其中铁磁元素产生的局域磁场与电场协同作用,通过洛伦兹力调控Na⁺的扩散路径,缓解局部浓差极化并促进均匀沉积。同时,MA 纳米颗粒与CNT构筑的连续电子/离子传输网络进一步增强了界面接触和结构稳定性,从而赋予体系优异的长期循环稳定性和沉积/剥离可逆性。
图4. 钠沉积/剥离的可逆性。(a) Aurbach库仑效率曲线。(b) 在1 mA cm⁻²、1 mAh cm⁻²条件下非对称电池的库仑效率(CE)变化曲线。(c–e) 原位EIS测量得到的Nyquist曲线对应的DRT结果,分别对应CNT||Na、Sn@CNT||Na和 MA@CNT||Na电池。(f) 在5 mA cm⁻²、5 mAh cm⁻² 条件下对称电池的循环性能。(g) 循环后Na–CNT和 (h) Na–MA@CNT的SEM图像。(i) 不同基底的Tafel曲线及 (j)相应的活化能(Ea)。
要点四:MA@CNT 的结构稳定性与界面稳定机制
MA@CNT 通过三重协同机制实现优异的结构与界面稳定性:1. 与 Sn@CNT等对照组相比,MA@CNT 在循环中不发生明显Na–Sn合金化/脱合金化反应,XRD和HRTEM均未观察到明显相变或晶相变化,说明其循环体积变化极小、结构保持稳定;2. 由于多元合金的强晶格畸变与电子混成效应,显著抑制了Na–Sn合金化的热力学与动力学过程,使纳米颗粒在循环前后保持均匀分布、避免团聚和粉化,SEM显示表面无裂纹且阻抗快速稳定;3. ToF-SIMS、深度XPS与DFT结果表明,MA@CNT更易诱导 PF6⁻分解形成均匀、富无机物(如 NaF)的SEI层,从而提升离子选择性、抑制副反应并维持界面稳定,最终实现更薄、更致密、均匀的钠沉积层和更长寿命的循环性能。
图5. MA的结构稳定性。(a,b) Sn@CNT在初始状态及放电至0.01 V时的 TEM 图像;(c,d) MA@CNT在初始状态及放电至0.01 V时的TEM图像。(e,f) Sn@CNT与MA@CNT基底在初始阶段及不同循环次数后的 SEM 图像。(g) 不同循环次数下的阻抗变化。(h) 在面容量为 5 mAh cm⁻² 条件下,Sn@CNT与MA@CNT在 1、2、3和5 mA cm⁻²不同电流密度下的钠沉积层厚度。(i,j) MA@CNT与Sn@CNT中NaF₂⁻和CHO₂⁻的ToF-SIMS深度剖析结果。(k,l) MA@CNT与Sn@CNT中NaF₂⁻和CHO₂⁻的空间分布图。(m) Sn@CNT与MA@CNT作用机制的示意图。
要点五:MA@CNT 在无负极钠金属电池中的实用性能提升
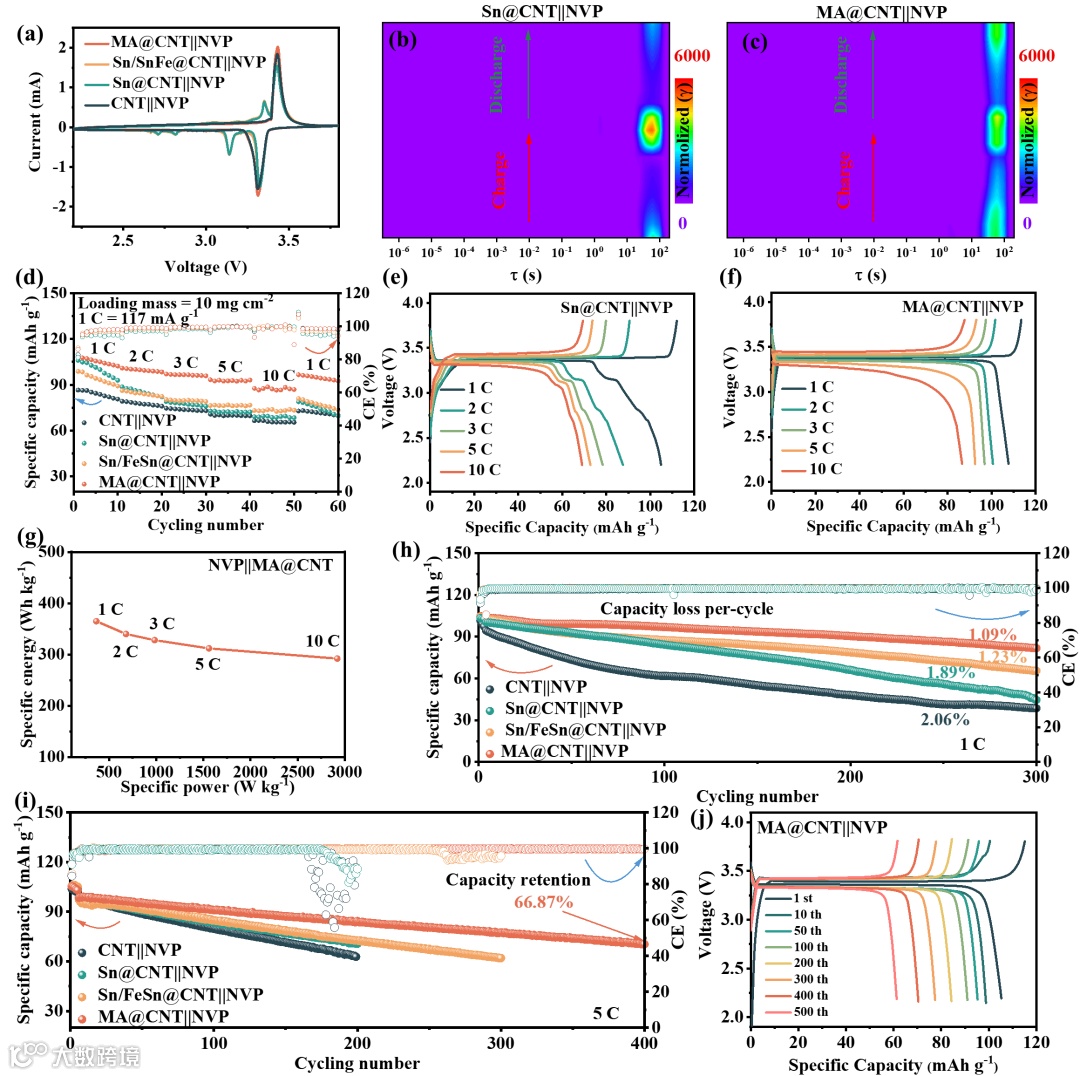
MA@CNT作为无负极电池集流体/界面层,在NVP正极的全电池中显著提升了电化学性能:其CV曲线呈现更强的氧化还原峰,说明 Na⁺ 传输更快、反应更可逆;而Sn@CNT 与 Sn/FeSn@CNT 出现明显Na–Sn合金化/脱合金化特征峰,表明存在不可避免的合金反应。原位EIS-DRT结果显示 MA@CNT 全电池具有更低的界面阻抗,且在 0.5–10 C的宽电流密度范围内始终保持最高比容量,即使在 10 C 下仍可达 94 mAh g⁻¹,并表现出稳定的放电平台。Ragone 图表明其可实现 292–365 Wh kg⁻¹ 的高能量密度与 365–2920 W kg⁻¹的高功率密度。在高正极负载(10 mg cm⁻²)条件下,MA@CNT||NVP 全电池在1 C下300周期容量衰减率仅 1.09%/cycle;即使在5 C高倍率下,400周期后仍保持66.87%容量。MA@CNT||NVP 无负极软包电池在50周期内仍保持86.3%容量保持率,并实现高比能343 Wh kg⁻¹,验证了该策略的实际可行性。
图6. 无负极钠金属电池的电化学性能。(a) CNT||NVP、Sn@CNT||NVP、Sn/FeSn@CNT以及 MA@CNT||NVP 的循环伏安(CV)曲线。(b,c) 原位EIS测试获得的Nyquist曲线对应的DRT结果,分别对应Sn@CNT||NVP和MA@CNT||NVP电池。(d) CNT||NVP、Sn@CNT||NVP、Sn/FeSn@CNT和 MA@CNT||NVP的倍率性能。(e,f) Sn@CNT||NVP和MA@CNT||NVP在不同电流密度下的充放电曲线。(g) MA@CNT||NVP的Ragone 图。(h,i) 在 1C和5C条件下,CNT||NVP、Sn@CNT||NVP、Sn/FeSn@CNT及MA@CNT||NVP无负极电池的长循环性能。(j) MA@CNT||NVP无负极电池在不同循环次数下的充放电曲线。
科学材料站
文 章 链 接
Multicomponent Alloy–Engineered Interfaces for Magnetic Regulation of Sodium Deposition in Anode-Free Sodium Metal Batteries
https://www.sciencedirect.com/science/article/pii/S2405829726000486
科学材料站
通 讯 作 者 简 介
李维杰 教授简介:李维杰老师在博士与博后期间主要从事有商业应用前景的钠离子电池电极材料(红磷负极和普鲁士蓝正极)的理论与应用研究。2018年荣获了澳大利亚Discovery Early Career Research Award(DECRA)称号及项目支持,随后作为独立PI开始向水系锌离子电池拓展新研究方向,主要研究方向为钠离子电池及锌离子电池,涉及普鲁士蓝正极材料、磷负极材料、水系电解液的设计及固态电池界面等方面的研究。以第一作者或通讯作者在Adv. Mater.、ACS Nano、Nano Lett.、Angew. Chem. Int. Ed.、 Adv. Funct. Mater.、Adv. Energy Mater.、 Sci. Adv. 等国际著名学术期刊上发表SCI论文40余篇,以合作者身份在Nature Comm.、Energy Environ. Sci.等国际知名期刊发表论文50余篇,Google 引用 9600次, H因子49,13篇论文为ESI近十年高被引论文。
科学材料站
课 题 组 介 绍
目前,李维杰老师课题组已完成实验室的建设,拥有材料制备、电化学检测等仪器设备,并且,所在系所拥有一系列电化学相关的高端检测设备,比如原位XRD,DEMS, TOF-SIMS,SEM-FIB等,具有完善的电池电极材料制备和测试条件。课题组主要从事高性能钠离子电池、锌离子电池电极材料研发、新能源储能器件等领域的研究。
科学材料站
课 题 组 招 聘
欢迎有兴趣的同学加入我们课题组,课题组招收硕士、博士和博士后。
添加官方微信 进群交流
SCI二氧化碳互助群
SCI催化材料交流群
SCI钠离子电池交流群
SCI离子交换膜经验交流群
SCI燃料电池交流群
SCI超级电容器交流群
SCI水系锌电池交流群
SCI水电解互助群
SCI气体扩散层经验交流群
备注【姓名-机构-研究方向】
投稿请联系contact@scimaterials.cn
点分享
点赞支持
点在看


