科学材料站
文 章 信 息
阴离子氯掺杂增强金属氧共价属性实现卓越的催化活性
第一作者:叶辉
通讯作者:郑益锋,崔升
科学材料站
研 究 背 景
可逆固体氧化物电池(RSOCs)作为连接可再生能源存储与高效电能转换的核心装置,独特地整合了固体氧化物燃料电池(Solid oxide fuel cell,SOFC)和固体氧化物电解池(Solid oxide electrolysis cell,SOEC)的功能,前者能通过化学燃料发电,后者则可利用可再生电力从 CO2/H2O 中生产合成具有高附加值的化学品(H2、CO等),并具有较高的法拉第效率,可灵活实现 SOFC 模式与 SOEC 模式切换,在 “双碳” 战略中具有不可替代的地位。然而,空气极作为 RSOCs 的核心组件,其催化活性、长期稳定性与抗 CO2中毒能力不足,严重制约商业化进程。传统钴基钙钛矿空气极(如 LSCF)虽催化活性高,但热膨胀系数(TEC)与电解质匹配性差,且长期运行易发生元素偏析;无钴铁基钙钛矿Bi0.5Sr0.5FeO3-δ(BSF)因其低 TEC、高离子电导率而成为候选材料,却存在氧还原 / 析出反应(ORR/OER)动力学迟缓、抗 CO2稳定性弱的问题。非金属阴离子掺杂(如 Cl⁻、F⁻)可通过调控金属 - 氧(M-O)键能、优化氧空位浓度,同步提升催化活性与稳定性,但 Cl⁻掺杂对 BSF 空气极电子结构、反应动力学的调控机制仍需系统阐明,其在 RSOCs 双模式运行中的性能表现也亟待验证。
科学材料站
文 章 简 介
近日,南京工业大学崔升教授、郑益锋教授团队在国际知名期刊《Chemical Engineering Journal》发表最新研究,提出通过氧位点 Cl⁻掺杂改性 Bi0.5Sr0.5FeO3-δ钙钛矿空气极的创新策略。该研究系统探究了Cl⁻掺杂对 BSF 晶体结构、电子特性、氧传输行为及电化学性能的影响,揭示了 “Cl⁻掺杂增强 M-O 共价性→加速氧空位迁移→提升 ORR/OER 动力学” 的构效关系,为 RSOCs 高性能空气极设计提供了新范式。
图1 阴离子Cl掺杂前后晶体结构示意图
科学材料站
本 文 要 点
要点一:Cl掺杂调控晶体结构与电子特性,增强 M-O 共价性
1、晶体结构稳定:XRD 与 Rietveld 精修表明,Cl成功掺入BSF晶格,所有样品均保持立方钙钛矿结构( 空间群 Pm-3m)),无杂质相生成;CГ掺杂因离子半径差异导致晶胞体积轻微收缩(从61.268 Å3: 降至 60.882 Å3)。
图2 (a)BSFCx(x=0、0.05、0.1)粉末的 XRD 图谱;(b)BSFC15粉末XRD的 Rietveld 精修图谱;(c)BSFC15 空气极与 GDC 之间的化学相容性;(d)BSFC15 粉末的 TEM 图像和(e)高分辨 TEM(HR-TEM)图像,插图为逆快速傅里叶变换(IFFT)图像;(f)BSFCl5粉体中元素含量及比例;(g)BSFC15 的高分辨 TEM 图像及相应的元素映射图像。
2、电子结构优化:XPS 分析显示,CI掺杂使Fe平均价态从3.22(BSF)降至3.11(BSFCI5),通过“价态补偿”机制促进氧空位生成;O1s 光谱中吸附氧(Oads)占比从 0.26 提升至 0.42,显著增强了表面氢吸附能力;DFT 计算证实,CI掺杂使 o-p带中心向费米能级偏移(从-0.365 eV 至-0.345 eV),M-O 键共价性增强(ICOHP 从-1.04 eV 降至-0.67 eV),加速电荷转移。
图3 BSFClx粉体XPS;(a)全扫描谱;(b)Cl 2p;(c)Fe 2p;(d)O 1s;(e)BSFClx的DOS;(f) Fe-O的晶体轨道哈密顿布居(COHP)。
要点二:提升氧传输性能,加速 ORR/OER 反应动力学
1、氧空位与传输系数优化:碘滴定与热重分析(TGA)表明,BSFCI5 在800℃下氧空位浓度(δ=0.19)较 BSF(δ=0.13)提升 46%;电子顺磁共振(EPR)中 g=2.003 处氧空位特征信号强度显著增强,证实缺陷浓度增加。
2、氧传输效率提升:电导率弛豫(ECR)测试显示,BSFCl5的体扩散系数(Dchem= 2.1 × 10−4 cm2 s−1)与表面交换系数(Kchem= 7.2 × 10−4 cm s−1)较BSF分别提升 15%与34%,为 ORR/OER提供快速离子传输通道。
3、动力学瓶颈突破:弛豫时间分布(DRT)分析表明,BSF空气极的速率控制步骤为氧解离吸附(中频区峰),而 Cl掺杂有效降低该步骤峰强,同时加速电极/电解质界面电荷转移(高频区峰),600-800℃温度区间 Rp 均显著低于未掺杂的样品。
图4 (a)BSFClx的热重曲线;(b) BSFClx中δ随温度变化曲线; (c) BSF和BSFCl5的电子顺磁共振谱;(d) BSF和BSFCl5的O2-TPD;(e)BSFClx样品在40–800℃的膨胀系数;(f) 300–800℃温度范围内BSFClx的电导率;(g) BSFClx电导率的阿伦尼乌斯图;(h) 800℃下BSFClx的ECR曲线;(i) 拟合的化学扩散系数(Dchem)和化学速率常数(Kchem)值。
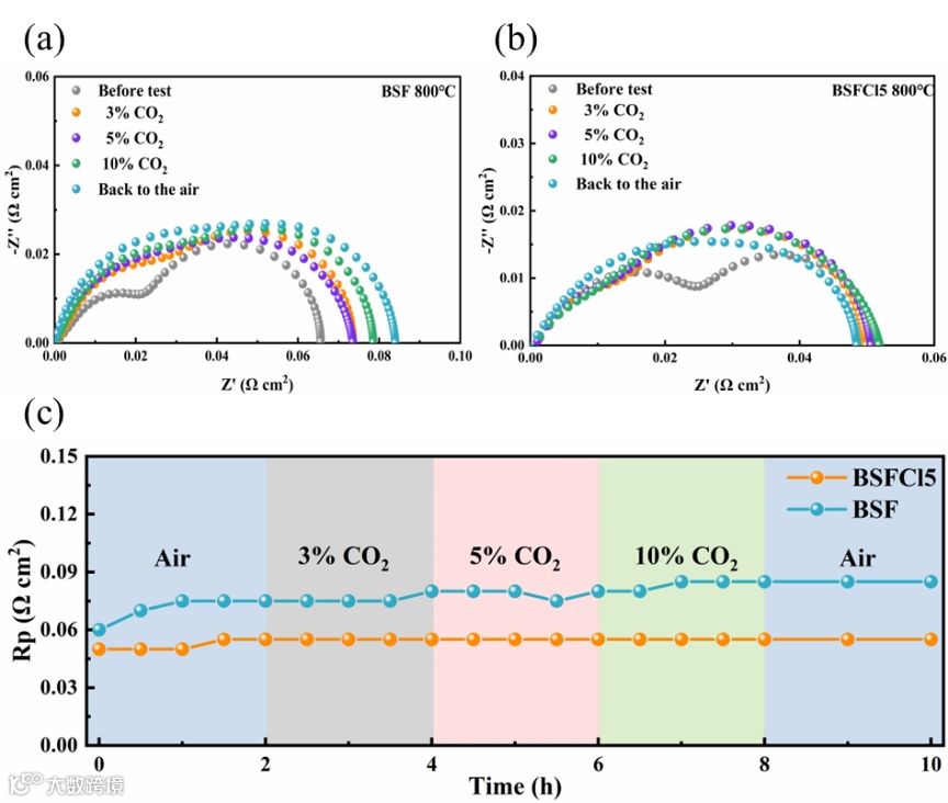
要点三:优异抗 CO2稳定性与长期运行可靠性
1、抗 CO2毒化能力:在 3%-10%CO2气氛中,BSFCI5 的Rp 无明显变化,而 BSF的Rp 显著增加;XPS 与 SEM 表征证实,CI增强 M-0 共价性,抑制与CO2的化学吸附,避免活性位点中毒。
图5不同CO2气氛中BSFClx的EIS曲线(a)BSF;(b)BSFCl5;(c)800°C下不同CO2浓度下半电池的Rp值随时间变化。
2、长期稳定性:800℃下,BSFCI5 半电池连续运行350h,Rp未出现明显的衰减;全电池在SOFC/SOEC双模式切换运行 150h,峰值功率密度从 1.22 W cm-2 降至 1.1 W cm-2,降解速率远低于传统 LSCF 空气极,且电极/电解质界面无分层、无裂纹。
图6(a)BSFClx半电池在800°C时的EIS曲线;(b)BSFClx半电池Rp随温度的变化趋势;(c)不同空气电极的Rp值对比;(d)BSFCl5在800°C、不同氧分压(PO2)下的EIS曲线;(e)不同氧分压(PO2)下BSFCl5的DRT分析;在800°C、不同氧分压(PO2)下的Rp值: (f)BSFCl5(g)BSFClx;(h)BSFCl5半电池在800°C时的Rp随时间变化曲线;(i)每隔100小时测试的电化学阻抗谱(EIS)曲线。
要点四:前瞻性
当前可逆固体氧化物电池空气极研究仍面临 “催化活性 - 长期稳定性 - 抗 CO₂中毒性” 难以协同优化的核心难题,本研究提出的氧位点 Cl⁻掺杂策略为此提供了可推广的优化方案。一方面,该阴离子掺杂思路可拓展至 La0.5Sr0.5FeO3等其他铁基钙钛矿体系,通过精准调控金属 - 氧键能实现性能普适性提升,为无钴空气极材料改性提供通用范式;另一方面,Cl⁻掺杂对电子结构与氧传输动力学的调控机制,可指导其他阴离子(如 F⁻、Br⁻)的掺杂研究,进一步丰富空气极材料研究思路。此外,先进的表征手段,深入解析 Cl⁻掺杂在 SOFC/SOEC 双模中的动态作用机制,厘清长期运行中稳定性与活性衰减的关联,为高性能空气极的理性设计提供更精准的理论支撑,助力 RSOCs 在 “风光氢储” 一体化、分布式能源系统中的商业化应用。
科学材料站
文 章 链 接
Chlorine-anion doping enhances the metal-oxygen covalency of Bi0.5Sr0.5FeO3-δ air electrode: achieving superior catalytic activity for reversible solid oxide cells
https://www.sciencedirect.com/science/article/pii/S1385894725102465?via%3Dihub
科学材料站
通 讯 作 者 简 介
崔升简介:南京工业大学材料科学与工程学院院长、教授、博导,主要研究方向为气凝胶材料、光电功能材料、纳米复合材料、能源存储与转换材料等。
郑益锋简介:南京工业大学材料科学与工程学院教授,主要研究方向为固体氧化物电池(SOFC/SOEC)、多孔陶瓷等。
科学材料站
第 一 作 者 简 介
叶辉,南京工业大学材料科学与工程学院在读博士生,主要研究方向为可逆固体氧化物电池空气极材料。以第一作者在Chemical Engineering Journal期刊发表论文两篇。
添加官方微信 进群交流
SCI二氧化碳互助群
SCI催化材料交流群
SCI钠离子电池交流群
SCI离子交换膜经验交流群
SCI燃料电池交流群
SCI超级电容器交流群
SCI水系锌电池交流群
SCI水电解互助群
SCI气体扩散层经验交流群
备注【姓名-机构-研究方向】
投稿请联系contact@scimaterials.cn
点分享
点赞支持
点在看


