科学材料站
文 章 信 息
不饱和乙烯基支链:协同调控堆积与抑制能量损失的分子裁剪策略,实现效率超过20%的有机太阳能电池
第一作者:李玲、熊文昭、张焱焱
通讯作者:海杰峰、胡华伟、吴佳莹
科学材料站
研 究 背 景
有机太阳能电池(OSCs)具备质轻、柔性、可溶液加工等优势,在柔性电子与光伏建筑一体化领前景广阔。近年来,以Y6为代表的非富勒烯受体(NFAs)大幅提升了电池效率,单结器件已突破20%阈值。然而,性能的进一步提升受限于活性层中分子堆积无序、相分离不理想所导致的能量损失(Eloss)和形貌缺陷。传统侧链工程虽可调控溶解性与堆积行为,但常伴随空间位阻增大、结晶性下降等问题,难以同时实现高结晶性与良好加工性。如何在增强分子间作用力的同时保持溶液可加工性,是当前分子设计面临的关键挑战。
科学材料站
文 章 简 介
近期,桂林理工大学海杰峰教授、东华大学胡华伟教授与香港科技大学吴佳莹教授合作,在《Advanced Materials》上发表了题为“Unsaturated Vinyl Branching: A Molecular-Tailoring Strategy for Synergistic Stacking Regulation and Energy-Loss Suppression toward 20%-Efficiency Organic Solar Cells”的研究论文。该工作创新性提出“不饱和乙烯支链(UVB)”分子裁剪策略,通过在经典A-DA'D-A型受体材料Y6-OD的稠环核内侧链中引入乙烯基分支,设计合成新型受体BTP-vinyl。UVB设计具有双重协同效应:维持良好溶解性的同时,乙烯基的刚性与电子特性增强了C–H···F/O等多维非共价相互作用,并降低空间位阻,从而促进分子紧密有序的3D堆积。研究显示,基于D18:BTP-vinyl的活性层表现出优化的聚集动力学、高度有序的面朝上取向及适中的相区尺寸,显著提升了激子解离与电荷传输效率。二元器件实现了19.6%的优异PCE(VOC = 0.921 V, JSC = 27.25 mA cm-2, FF = 77.9%),全面超越基于Y6-OD的对照器件(18.1%)。
科学材料站
文 章 简 介
进一步将BTP-vinyl作为第三组分引入D18:L8-BO体系,所制备的三元器件效率突破20%关口,达到20.06%。通过单晶解析、原位光谱、GIWAXS、RSoXS及瞬态吸收等多尺度表征,研究系统阐明了UVB策略在调控分子堆积、抑制能量损失、延长激子扩散、降低复合等方面的作用机制,不仅为高性能有机光伏材料的理性设计提供了新范式,也为未来通过精准聚集调控实现高性能、高稳定性有机光伏器件提供了新思路。
图1 不饱和乙烯基支链优化活性层堆积的分子设计策略
核心创新点:
1、提出“不饱和乙烯基支链(UVB)”协同设计策略:在维持溶解性的同时,通过乙烯基的构象刚性与多重非共价作用位点,降低空间位阻、增强分子间作用,实现紧密有序的3D分子堆积与理想的聚集动力学。
2、实现形貌‑性能协同优化:UVB策略促使活性层形成高度有序的面朝上取向、更紧密的π–π堆积与适中的相区尺寸,显著抑制能量紊乱与非辐射复合,全面提升器件VOC, JSC, FF。
未来展望:
本工作发展的UVB策略为有机光伏材料的侧链工程提供了新思路,未来可进一步拓展至其他受体体系,并结合原位表征与理论计算,深入揭示聚集动力学与器件稳定性之间的构效关系,推动OSC向高效率、高稳定性与可规模化制备方向发展。
科学材料站
图 文 导 读
图2 BTP-vinyl与Y6-OD的分子结构、吸收光谱、能级与静电势分布
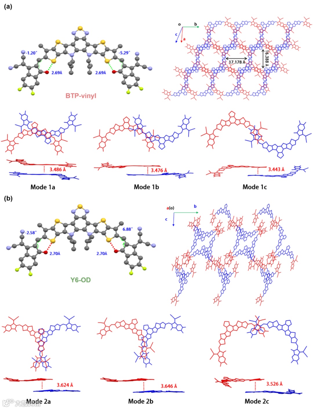
图3 单晶结构揭示BTP-vinyl更紧密的π–π堆积与三维分子网络
图4 二元与三元器件的J-V曲线、EQE及能量损失分析
图5 飞秒瞬态吸收光谱揭示更快的空穴转移与更长的激子扩散寿命
图6 原位吸收揭示UVB调控的缓慢聚集与有序成膜过程
图7 AFM、GIWAXS与RSoXS表征显示更优的形貌与相区结构
科学材料站
文 章 链 接
https://advanced.onlinelibrary.wiley.com/doi/10.1002/adma.202520692
科学材料站
通 讯 作 者 简 介
海杰峰教授简介:2005年本科毕业于广西大学,博士师从南京理工大学唐卫华教授,在香港科技大学颜河教授课题组从事博士后研究工作。2014年加入桂林理工大学,现为化学与生物工程学院能源化工专业教授。长期从事有机光伏材料与器件研究。以通讯作者身份在Adv. Mater., Adv. Energy Mater., Adv. Funct. Mater., Sci. China Chem., Chem. Eng. J., Sensors Actuators B: Chem., Chem. Commun. 等期刊上发表多篇论文。
添加官方微信 进群交流
SCI二氧化碳互助群
SCI催化材料交流群
SCI钠离子电池交流群
SCI离子交换膜经验交流群
SCI燃料电池交流群
SCI超级电容器交流群
SCI水系锌电池交流群
SCI水电解互助群
SCI气体扩散层经验交流群
备注【姓名-机构-研究方向】
投稿请联系contact@scimaterials.cn
点分享
点赞支持
点在看


