科学材料站
文 章 信 息
重构正极界面双电层实现水系锌硫电池高效硫转化反应
第一作者:雷杰
通讯作者:张久俊*,颜蔚*,左银泽*
单位:福州大学
科学材料站
研 究 背 景
在全球能源转型浪潮的推动下,水系锌硫(Zn||S)电池凭借其显著的成本优势(锌:2.9美元/kg,硫:0.25美元/kg)、高安全性、高达1675 mAh g⁻¹的理论比容量,以及无多硫化物穿梭效应等特性,正成为大规模储能领域的热门候选。然而,当前研究多聚焦于导电宿主结构设计或催化剂优化,却普遍忽视了界面双电层(EDL)的关键调控作用。作为电极与电解液之间的“桥梁”,双电层的微观结构直接决定了Zn²⁺的传输效率及水分子的接触概率。在传统水系电解液中,双电层内往往呈现水分子富集而Zn²⁺分布稀疏的不利构型,不仅加剧副反应,也严重阻碍离子传输,成为制约性能突破的“卡脖子”难题。
针对上述挑战,该文章提出一种创新的混合电解液策略,通过在传统水系电解液中引入ZnI₂添加剂与有机共溶剂N,N−二甲基甲酰胺(DMF),实现了对界面双电层的精准重构。在该设计中,DMF分子优先吸附于硫电极表面,并与Zn²⁺发生强相互作用,从而重塑双电层结构,形成贫H₂O的内亥姆霍兹平面与富Zn²⁺的外亥姆霍兹平面。这一结构不仅显著促进了界面Zn²⁺传输,提升了硫转化反应动力学,还有效抑制了H₂O诱导的副反应,为高性能水系Zn||S电池的开发提供了关键解决方案。
科学材料站
文 章 简 介
近日,福州大学张久俊院士、雷杰、左银泽、颜蔚团队在Nature Communications期刊发表题为“Reconstructing interfacial electric double layer for efficient sulfur conversion reaction in aqueous zinc sulfur batteries”的研究论文。该文章以“重构双电层”为核心,创新设计ZnI2+N,N-二甲基甲酰胺(DMF)混合电解液,实现水系Zn||S电池性能上质的飞跃。
科学材料站
本 文 要 点
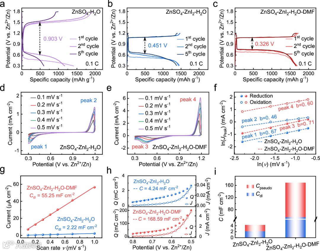
要点一:硫转化反应的电化学表征
图1a-c的恒电流充放电曲线显示,不同电解液的Zn||S电池在循环过程中电极反应极化均逐渐减小,放电过程中该现象更为显著,反映电池存在界面激活现象,且ZnSO4-ZnI2-H2O-DMF电解液体系的硫与锌可逆转化反应电压滞后最小(仅0.326V),优于ZnSO4-ZnI2与ZnSO4-ZnI2-H2O电解液体系;图1d-f的CV曲线表明,ZnSO4-ZnI2-H2O电解液中还原峰1、氧化峰2对应的b值分别为0.67和0.46,引入DMF共溶剂后,还原峰3、氧化峰4的b值提升至0.71和0.60,Zn²⁺在硫电极中的存储过程电容贡献特征显著增强(整体仍以扩散行为为主);图1g显示加入DMF共溶剂后,硫电极的双电层电容(Cdl)从2.22 mF cm⁻²大幅提升至55.25 mF cm⁻²;图1h可见ZnSO4-ZnI2-H2O-DMF电解液体系的累积电荷量明显高于未加DMF的体系,通过拟合累积电荷(Q)与电位(E)的线性斜率测得,该体系总电容达168.59 mF cm⁻²,远高于未加DMF体系的4.24 mF cm⁻²;图1i则表明不同电解液体系的赝电容(Cpseudo)存在显著差异,ZnSO4-ZnI2-H2O-DMF电解液体系的赝电容达113.34 mF cm⁻²,远高于ZnSO4-ZnI2-H2O电解液体系的2.02 mF cm⁻²。因此,合理预期DMF共溶剂会在界面EDL区域诱导更多Zn2+电荷积累,以平衡表面负电荷,这与界面电容的增加相符。
图1. (a–c)使用ZnSO4-ZnI2、ZnSO4-ZnI2-H2O和ZnSO4-ZnI2-H2O-DMF电解液的Zn||S电池在25°C和0.1 C下的恒电流充放电曲线。(d,e)Zn||S电池在ZnSO4-ZnI2-H2O和ZnSO4-ZnI2-H2O-DMF电解液中,扫描速率从0.1到0.5 mV s-1下的CV曲线。(f)还原/氧化峰值电流密度与扫描速率在对数图中的比例关系。(g)平均电流密度与扫描速率的线性拟合以获得不同电解液中硫电极的EDL电容。(h)根据脉冲伏安法得出的累积电荷(Q)与脉冲电位的关系图。(i)EDL电容和赝电容贡献的比率。
要点二:硫电极的界面激活与机制分析
图2a的接触角测试结果显示,硫电极表面的ZnSO4-ZnI2-H2O电解液液滴接触角为108.4°,加入DMF共溶剂后(ZnSO4-ZnI2-H2O-DMF)接触角降至92.2°,表明DMF可增强电解液对电极的渗透性,进而促进界面Zn²⁺传输和电极反应动力学,且经过五次循环后,两种电解液的接触角进一步分别降至103.0°和72.0°,证实了界面活化现象的存在;为探究正极组分与电解液溶剂的相互作用,密度泛函理论(DFT)计算结果(图2b)表明,DMF在S和ZnS表面的吸附能(Eads)分别为-0.48 eV和-1.06 eV,明显低于H₂O的吸附能(-0.19 eV和-0.46 eV),说明DMF分子优先吸附于S和ZnS表面形成S₈∙DMF和ZnS∙DMF复合物,同时Zn²⁺在S₈∙DMF上的吸附能(-1.67 eV)远高于在S₈∙H₂O上的(-0.34 eV),I⁻在ZnS∙DMF上的吸附能(-2.98 eV)低于在ZnS∙H₂O上的(-2.37 eV),表明DMF有助于增强Zn²⁺在硫电极表面的吸附,并促进I⁻在ZnS表面的吸附以利于其电化学氧化;拉曼光谱(图2c、d)揭示了硫电极的界面活化过程,初始充电后,ZnSO4-ZnI2-H2O电解液中仅出现1438 cm-1处归属于-COO基团的弱峰,而含DMF的电解液则出现多个新峰,其中487 cm-1对应Zn-O键,1251、1438和1515 cm-1归属为-COO基团,2688和2869 cm-1对应于-CHₓ基团,这些新生成物种源于DMF的氧化分解,其机制已通过DFT计算验证;结合静电势(ESP)分析(图2e)可知,DMF中羰基氧原子富集负电荷,有利于形成Zn-O键,且最高占据分子轨道(HOMO)能级计算(图2f)显示DMF的HOMO能级略高于ZnS,说明电化学氧化过程中DMF会伴随分解,在电极/电解液界面生成-COO和-CHₓ等官能团,上述结果共同揭示了界面活化的内在机制,解释了循环后电极润湿性提升及Zn2+传输增强的原因。
图2. (a)ZnSO4-ZnI2-H2O和ZnSO4-ZnI2-H2O-DMF电解液在硫电极上在25 °C和0.1 C下循环五次前后的接触角测试。(b)各种电解液溶剂分子和离子与S8和ZnS的计算吸附能值。(c,d)不同电解液中硫电极表面在25 °C和0.1 C下循环过程中的原位拉曼光谱。(e)DMF分子吸附在ZnS表面的吸附构型和静电势分布。(f)电极和电解液组分的最高占据分子轨道(HOMO)能级计算。
要点三:硫电极的动态界面特性
在不同电位下进行原位电化学阻抗谱(GEIS)结合弛豫时间分布(DRT)分析(图3a–d);基于多孔电极传输线模型(TLM),识别出硫转化反应中不同电化学过程的弛豫时间(τ):高频区(10⁻⁸ s < τ < 10⁻² s)对应电极与集流体间的接触电阻(Rcon),中频区(10⁻² s < τ < 1 s)对应电极孔隙中的离子输运电阻(Rion),低频区(1 s < τ < 10² s)对应界面电荷转移电阻(Rint)(其数值最大,是硫转化反应动力学的关键步骤),且该界面电荷转移过程主要由Zn²⁺界面迁移控制。图3e呈现前三个充放电循环中不同电解液下硫电极界面电容(Cint)与电荷转移电阻(Rint)的动态演变:放电过程中Rint和Cint显著变化,Cint在充放电曲线平台电位处出现拐点(标志相转变反应发生),Rint在拐点前明显下降(表明Zn²⁺界面富集,促进迁移动力学,对应硫还原反应赝电容行为),由此推断界面电荷积累是激活硫纳米颗粒向ZnS相变的必要条件(EDL区域需足够Zn²⁺富集)。在ZnSO4-ZnI2-H2O电解液中,初始Cint极低、Rint较高(反映电极润湿性差),硫的相转变电位仅为0.45V(vs. Zn²⁺/Zn);引入DMF共溶剂后,初始Cint显著提高(DMF特异性吸附与润湿性改善使OHP层Zn²⁺积累增加),相转变电位提升至0.75V,且后续循环中平台电位随Cint初始值上升而升高(与界面活化现象一致),同时含DMF电解液的Rint在充放电过程中保持稳定(纯水基电解液中Rint波动明显),说明DMF可构建更稳定的EDL结构,更高的Cint也证实其电荷转移速率更快。图3f、g进一步揭示,DMF分子优先吸附于电极表面,排挤水偶极子形成贫水IHP(抑制水分子导致的ZnS失活),且其羰基(-C=O)与Zn²⁺的强相互作用促进OHP中Zn²⁺电荷积累,最终在硫电极界面构建“贫水IHP-富Zn²⁺ OHP”结构,有效促进界面Zn²⁺传输并提升硫转化反应动力学。
图3. (a,c)使用三电极Swagelok电池在25°C和1 C下进行GEIS测量的电位曲线,以及(b,d)在ZnSO4-ZnI2-H2O和ZnSO4-ZnI2-H2O-DMF电解液中不同电位下相应的DRT谱。(e)界面电容和Zn2+转移电阻随电位的变化。(f,g)不同电解液中硫电极界面EDL结构示意图。
要点四:Zn2+溶剂结构与界面吸附
为探究不同电解液中Zn²⁺的溶剂化结构及界面吸附行为,开展了分子动力学(MD)模拟与相关理论计算:图4a、b的电解液结构模拟快照及图4c、d的径向分布函数(RDF)与配位数(CN)分析显示,引入DMF后约2.08 Å处出现ZnSO4-DMF配位峰,Zn²⁺溶剂壳层中H2O配位数从6.1降至4.8,DMF配位数由0升至0.15,SO₄²⁻配位数从0.5升高至1.1,表明DMF参与Zn²⁺溶剂化结构形成,且SO₄²⁻更易进入Zn²⁺溶剂壳层;图4e显示游离水含量由76.67%降至74.68%,归因于DMF与水分子间的强氢键作用,可降低副反应发生可能性,结合MD模拟结果确定两种电解液的Zn²⁺溶剂化结构分别为Zn²⁺-(H₂O)₆.₁∙(SO₄²⁻)₀.₅(ZnSO₄-ZnI₂-H₂O体系)和Zn²⁺-(DMF)₀.₁₅(H₂O)₄.₈∙(SO₄²⁻)₁.₁(ZnSO₄-ZnI₂-H₂O-DMF体系),并简化为Zn²⁺-(H₂O)₆∙(SO₄²⁻)与Zn²⁺-(DMF)(H₂O)₅∙(SO₄²⁻)用于后续研究;图4f、g展示了两种简化溶剂化结构在纯硫电极表面的吸附模型优化几何形状及微分电荷密度分布,其中Zn²⁺-(H₂O)₆∙(SO₄²⁻)的吸附能为-0.57 eV,Zn²⁺向电极转移0.0055 e,而Zn²⁺-(DMF)(H₂O)₅∙(SO₄²⁻)表现出更强的吸附能力(Eads=-0.78 eV)和更高的电荷转移量(0.0061 e),更利于Zn²⁺参与硫转化反应;图4h的变温循环伏安测试结合Arrhenius方程计算结果显示,引入DMF后硫还原反应的活化能由47.4 kJ mol⁻¹ 降至42.3 kJ mol⁻¹,证实DMF可有效提升反应动力学。
图4. (a,b)来自MD模拟的ZnSO4-ZnI2-H2O和ZnSO4-ZnI2-H2O-DMF电解液3D快照以及代表Zn2+溶剂化结构的局部放大快照。(c,d)Zn2+、SO42-、H2O和DMF之间的径向分布函数(RDF)和相应配位数。(e)来自MD模拟的不同电解液中自由H2O的百分比。(f,g)展示硫电极对Zn2+溶剂化结构的界面吸附模型的电荷密度差(前视图)。黄色区域表示电子积累区,蓝色区域表示电子耗尽区。给出了吸附能和Zn的Bader电荷。(h)显示在0.75 V vs. Zn2+/Zn处还原电流密度对数与绝对温度倒数之间比例关系的阿伦尼乌斯图。
要点五:抑制水诱导的副反应
图5a的区域拉曼光谱和图5b的FTIR光谱分析了不同DMF体积分数的ZnSO4-ZnI2-H2O电解液:拉曼光谱中,水的OH伸缩信号(3228、3425、3541 cm⁻¹)随DMF加入而减弱,DMF的C−H伸缩振动蓝移,表明DMF破坏了水分子间强氢键网络并形成DMF−H₂O氢键;FTIR光谱中,O−H伸缩区(2800–3800 cm⁻¹)分解的体相水(3223 cm⁻¹)、团簇水(3367 cm⁻¹)相对含量随DMF增加下降,孤立水(3592 cm⁻¹)变化不大,且DMF的C=O弯曲振动(1647 cm⁻¹)与H₂O的O−H弯曲振动(1633 cm⁻¹)位置相近,进一步证实DMF通过分子间作用破坏原有氢键结构并稳定水分子,抑制其反应活性。图5c的形貌表征显示,ZnSO4-ZnI2-H2O电解液中循环后的硫正极和锌负极表面粗糙,分布微纳米片状硫酸锌氢氧化物副产物(XRD确认),而含DMF电解液中电极表面保持均匀致密,说明DMF有效抑制副反应,改善电极循环稳定性。图5d的对称电池测试结果表明,ZnSO4-ZnI2-H2O电解液体系循环寿命约6300小时(优于不含碘的ZnSO4-H2O体系的<1000小时),碘离子可抑制副反应并提升锌沉积动力学;引入DMF后,Zn||Zn对称电池循环寿命延长至超10000小时,仅因电解液离子电导率和Zn²⁺去溶剂化动力学变化导致电压滞后略有上升。图5e–g的XPS分析揭示硫正极循环可逆性:S 2p谱中,ZnSO4-ZnI2-H2O体系循环后S–S键(164、166 eV)信号减弱,出现SO₄²⁻特征峰(169.5、170.8 eV),含DMF体系则S–S键信号基本不变且无明显SO₄²⁻信号;O 1s谱中,ZnSO4-ZnI2-H2O体系循环后出现SO₄²⁻相关峰(532.4 eV),含DMF体系该信号显著减弱;Zn 2p谱中,ZnSO4-ZnI2-H2O体系循环后信号强度更高,上述结果均表明DMF通过降低水分子反应活性,抑制了副产物生成和ZnS歧化反应,显著提升硫正极循环可逆性。
图5. (a,b)不同DMF浓度的ZnSO4-ZnI2-H2O电解液的拉曼和FTIR光谱。(c)25°C和0.1 C下,在ZnSO4-ZnI2-H2O和ZnSO4-ZnI2-H2O-DMF电解液中循环150次后硫正极和锌负极的SEM图像。(d)在1 mAh cm-2和1 mA cm-2下,不同电解液中Zn||Zn对称电池的循环性能。(e,f)循环后硫正极的S 2p和O 1s XPS光谱。(g)循环后锌负极的Zn 2p XPS光谱。
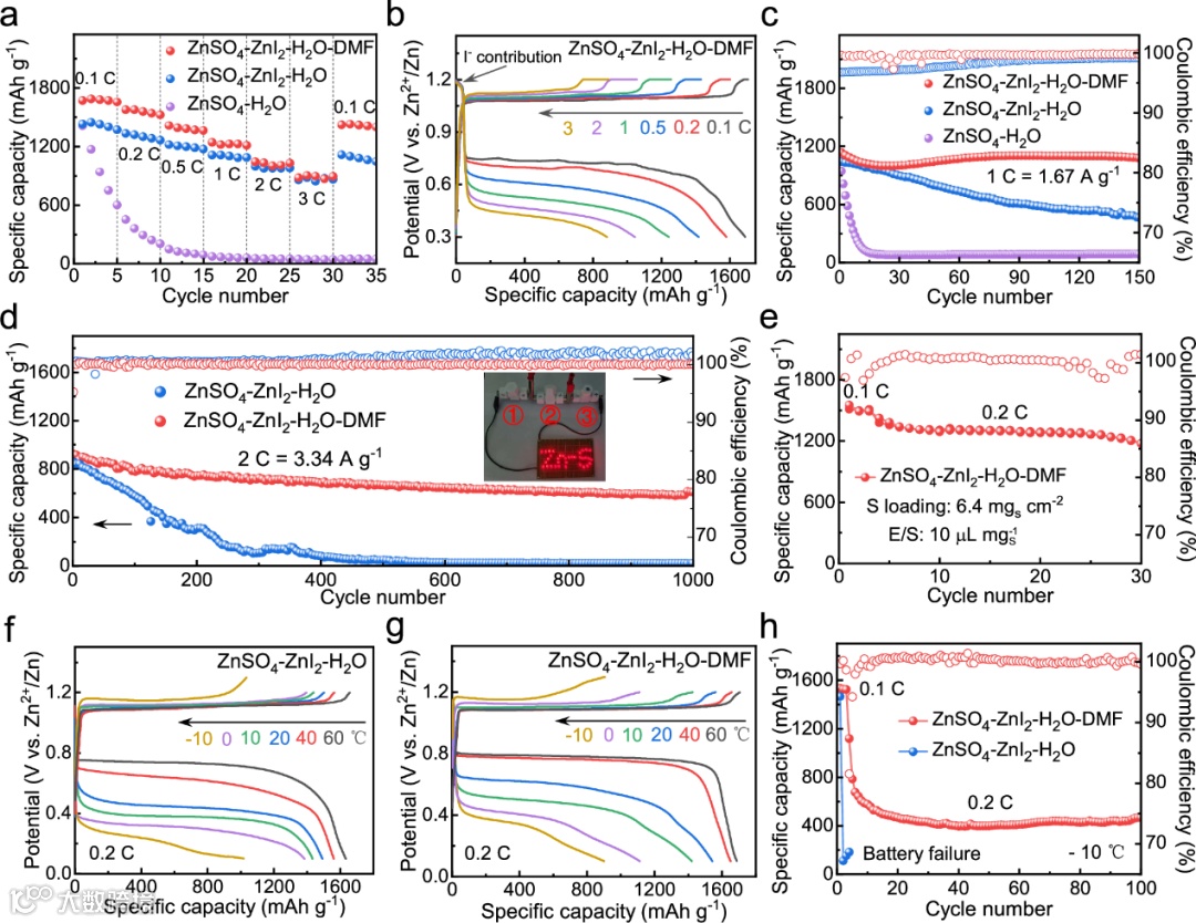
要点六:Zn||S电池的电化学性能
图6a的倍率性能测试结果显示,传统ZnSO₄-H₂O电解液因容量持续衰减、电池快速失效,无法支持Zn||S电池正常工作;相较于ZnSO₄-ZnI₂-H₂O电解液,含DMF的ZnSO₄-ZnI₂-H₂O-DMF电解液在低倍率下比容量更高,但高倍率下受粘度增大、离子电导率下降影响,容量与前者相近——具体而言,1 C至3 C倍率下,ZnSO₄-ZnI₂-H₂O电解液体系的可逆比容量分别为1643、1534、1372、1198、1000和837 mAh g⁻¹,含DMF电解液因浓差极化较大,倍率升高时容量衰减更明显,但图6b显示其高倍率下仍存在显著降低的电压滞后,表明DMF可有效降低活化极化,且高倍率下活化极化仍是硫转化反应的主导因素。循环稳定性方面(图6c),ZnSO₄-ZnI₂-H₂O-DMF电解液表现优异,1 C倍率循环150次后放电比容量仍保持在1080 mAh g⁻¹ 以上,每圈库仑效率接近 100%,而无 DMF 体系(尤其传统ZnSO₄-H₂O电解液)容量衰减显著,证实DMF可提升循环稳定性。长期循环测试(图6d)进一步验证该优势:ZnSO₄-ZnI₂-H₂O电解液体系比容量迅速下降至近乎无输出,含DMF体系在2 C下循环1000 圈后仍能释放约610 mAh g⁻¹比容量,容量保持率达99.966%(每圈仅衰减0.034%),且三个串联的Zn||S叠层电池成功点亮LED灯(图6e)。不同温度性能测试(图6f–g)表明,加入DMF后电压滞后显著降低,但受离子电导率下降影响,可逆容量略有下降;低温环境(-10℃)下含DMF电解液优势更突出(图6h),0.2 C倍率循环100次后仍保持500 mAh g⁻¹可逆容量,而ZnSO₄-ZnI₂-H₂O电解液体系迅速失效,说明DMF在低温Zn||S体系中同样具备应用潜力。
图6. (a)在25°C和不同比电流下的倍率性能。(b)在25°C和不同比电流下的恒电流放电-充电曲线。(c)在25°C和1 C(即1.67 A g-1)下的循环性能。(d)在25°C和2 C(即3.34 A g-1)下的长期循环稳定性。(e)在ZnSO4-ZnI2-H2O-DMF电解液中,高硫负载6.4 mgs cm-2和E/S比10 μL mg-1下,在25°C和0.2 C(即0.334 A g-1)下的循环性能。(f,g)在不同温度下的恒电流放电-充电曲线。(h)在-10°C下的循环性能。
科学材料站
文 章 链 接
Reconstructing interfacial electric double layer for efficient sulfur conversion reaction in aqueous zinc sulfur batteries
https://www.nature.com/articles/s41467-025-64974-y
科学材料站
通 讯 作 者 简 介
张久俊院士简介:中国工程院院士(外籍)、加拿大皇家科学院院士、加拿大工程院院士、加拿大工程研究院院士、国际人工智能产业联盟产业院院士,全球材料科技平台会士,国际电化学学会会士、英国皇家化学会会士、国际先进材料协会会士、中国内燃机学会会士、中国化学会会士、国际电化学能源科学院(IAOEES)主席,中国内燃机学会常务理事兼燃料电池发动机分会主任委员。现任福州大学材料科学与工程学院院长及新能源材料与工程研究院院长。
至今已发表学术论文850余篇、著作28本、书章47篇、学术专刊4期、工业研发技术报告90余篇,以及获批70余项国内外专利。论文被引用93000多次(H-Index为133),有100余篇论文均被引用100次以上。张院士是Springer-nature《Electrochemical Energy Reviews》SCI期刊主编(影响因子28.6)、CRC Press《Electrochemical Energy Storage and Conversion》丛书主编、KeAi Publishing《Green Energy & Environment》SCI期刊副主编、中国工程院院刊《Frontiers in Energy》副主编、中国化学化工出版社大型丛书《先进电化学能源储存和转换技术》及《氢能技术》主编及多个国内外期刊编委。
颜蔚研究员简介:英国皇家化学会会士,国际人工智能产业联盟会士,国际电化学能源科学院理士,福建省百人计划,福建省B级人才。在2007-2021年任职上海大学理学院、可持续能源研究院常务副院长,现任福州大学新能源材料科学与工程研究院执行院长。博士毕业于武汉大学,从事电化学能源材料研究方向。目前发布SCI学术论文110篇。同时也是Frontiers in Energy编委、International Journal of Green Energy编委
左银泽副教授简介:南京大学工学博士,上海市“超级博士后”,福建省高层次引进人才,硕士生导师,主要从事新能源储能电池电极及催化材料合成方法学研究,新能源储能电池表界面构建及其在充放电过程中原位检测与理论模拟研究,以及新能源电池放大化生产的研究。目前在Nature Communications、Advanced Materials、Electrochemical Energy Reviews、Energy Environmental Science、Advanced Energy Materials、Angewandte Chemie International Edition、Advanced Functional Materials、Energy Storage Materials、Carbon Energy、Nano Energy等国际期刊发表论文40余篇,授权专利10余项。2021年国际“互联网+“大学生创新创业大赛省级铜奖(参赛选手);2023年、2024年,国际”互联网+“大学生创新创业大赛省级金奖(指导老师)。
科学材料站
第 一 作 者 简 介
雷杰副教授简介:福州大学材料科学与工程学院副教授,福建省高层次引进人才,硕士生导师。主要聚焦材料-电化学-新能源等多领域交叉,长期从事高比能二次电池关键材料设计与材料界面化学的应用基础研究。主要研究方向为高比能硫基二次电池,包括锂硫电池、水系锌硫电池等。目前在Nature Communications (×2)、Angewandte Chemie International Edition、Advanced Materials(×2)、Chem、ACS Energy Letters、Advanced Functional Materials、Journal of Energy Chemistry、Chemistry-A European Journal等国际期刊上发表SCI论文30余篇,包括多篇ESI高被引论文。主持国家自然青年科学基金项目(C类)1项,福建省自然科学基金面上项目1项。2025年,国际大学生创新创业大赛国家级铜奖(第一指导老师)。
添加官方微信 进群交流
SCI二氧化碳互助群
SCI催化材料交流群
SCI钠离子电池交流群
SCI离子交换膜经验交流群
SCI燃料电池交流群
SCI超级电容器交流群
SCI水系锌电池交流群
SCI水电解互助群
SCI气体扩散层经验交流群
备注【姓名-机构-研究方向】
投稿请联系contact@scimaterials.cn
点分享
点赞支持
点在看


