科学材料站
文 章 信 息
新型双相多孔Mn2O3/(Co,Mn)(Co,Mn)2O4复合正极材料增强界面稳定性实现锌离子电池超长循环寿命
通讯作者:侯朝霞*,张会*,周丹*
科学材料站
研 究 背 景
水系锌离子电池(AZIBs)凭借本征安全性高、成本低廉、理论容量大等优势,被视为极具前景的下一代储能技术。在AZIBs众多正极材料中,锰基氧化物因理论比容量高、晶体结构多样、地壳储量丰富、环境友好等特点脱颖而出。但锰基氧化物仍存在关键瓶颈:充放电过程中不可逆相变、低离子电导率、不可避免的Mn3+溶解与Jahn-Teller效应,常导致电池容量快速衰减、循环稳定性极差,严重限制了其实际应用。现有改性策略多存在合成工艺复杂、界面调控难度大等问题,亟需开发简便高效的策略,从根本上解决锰基正极的结构失稳与循环寿命短板。
科学材料站
文 章 简 介
基于此,来自沈阳大学的侯朝霞教授团队,在国际知名期刊Chemical Engineering Journal上发表题为Novel dual-phase porous Mn2O3/(Co,Mn)(Co,Mn)2O4 composite cathode material with enhanced interfacial stability for ultra-long cycle life in zinc ion batteries的研究论文。
该工作以Co2+掺杂的MnCO3为前驱体,通过一步热分解法,简便合成了具有介孔结构与稳定相界面的新型双相复合材料Mn2O3/(Co,Mn)(Co,Mn)2O4(MO/CMO)。其中,介孔结构为电化学反应提供了丰富的活性位点,大幅加快了反应动力学;而原位构筑的双相稳定界面,可有效抑制Mn3+的自发溶解,从根源上提升了电极的结构稳定性与循环寿命。该材料在水系锌离子电池中实现了高比容量、优异倍率性能与超长循环寿命的兼顾,在柔性准固态锌离子电池中同样表现出卓越的电化学稳定性与机械耐受性,为开发高稳定性、超长循环寿命的水系锌离子电池正极材料,提供了全新、简便的设计思路与实验依据。
科学材料站
本 文 要 点
要点一:一步热分解法构建双相介孔结构,实现两相均匀分布与丰富孔道调控
图1 Mn2O3与MO/CMO-x物相、价态及孔结构表征
图2 MO/CMO-10与Mn2O3形貌、元素及结构表征
证实了该合成策略可同步完成双相生成、稳定界面构筑与介孔结构构建,两相在材料中实现分子级均匀混合,形成清晰稳定的相界面;同时Co掺杂有效抑制了晶粒长大,赋予材料更丰富的介孔结构与更高的比表面积,较纯相Mn2O3提升近一倍,为电化学反应提供了充足的活性位点,也为离子快速传输搭建了高效通道。
要点二:双相协同效应显著优化电化学动力学,实现比容量与倍率性能的同步提升
图3 Mn2O3与MO/CMO-x电化学性能及DFT计算
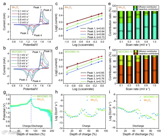
图4 Mn2O3与MO/CMO-x的动力学表征
通过电化学测试证实,双相结构大幅降低了电极的电荷转移阻抗,显著加快了电化学反应动力学;MO/CMO-10在0.1 A/g电流密度下初始比容量达253 mAh/g,较纯相Mn2O3提升49%,在2.0 A/g高电流密度下仍保持优异的容量输出,且电流密度恢复后容量可完全复原,展现出远超纯相材料的倍率性能与电化学可逆性。另一方面,原位构筑的稳定相界面可从根源上抑制Mn3+的自发溶解与结构畸变,破解了锰基正极循环稳定性差的核心瓶颈,MO/CMO-10材料在1.0 A/g电流密度下循环2200次仍保持稳定容量,在2.0 A/g 高电流密度下可稳定循环6800次且几乎无容量衰减,循环后主体晶体结构与微观形貌保持完整,实现了倍率性能与超长循环寿命的兼顾。
要点三:揭示 H⁺/Zn²⁺共嵌入储能机理,验证电极反应的高度可逆性
图5 MO/CMO-10电极储锌机理分析
通过充放电过程中的非原位XRD、SEM与EDS mapping,明确了该双相正极遵循H+/Zn2+共嵌入的储能机制,伴随充放电过程可实现ZHS副产物的可逆生成与溶解,且双相主体结构在整个反应过程中保持稳定,充分证实了电极电化学反应的高度可逆性。
要点四:适配柔性准固态储能器件,展现优异的机械耐受性与实用化潜力
图6 MO/CMO-10柔性软包电池性能与应用演示
将MO/CMO-10匹配水凝胶聚合物电解质,组装的柔性准固态锌离子电池与软包器件,仍保持优异的比容量与循环稳定性,1.0 A/g下循环980次容量保持率优异;器件在不同角度弯折、多次180°弯折循环甚至汽车碾压的苛刻工况下,电化学性能与开路电位均无明显衰减,可稳定驱动电子器件,在柔性可穿戴电子、便携储能领域具备广阔的实用化前景。
科学材料站
文 章 链 接
Novel dual-phase porous Mn2O3/(Co,Mn)(Co,Mn)2O4 composite cathode material with enhanced interfacial stability for ultra-long cycle life in zinc ion batteries
https://doi.org/10.1016/j.cej.2026.174492
科学材料站
课 题 组 介 绍
课题组依托沈阳大学辽宁省微纳材料研究与开发重点实验室,主要从事储能材料与器件、纳米粉体与介孔材料、功能陶瓷材料、吸波材料、光响应材料、微纳材料设计与计算等研究工作。
课题组招收储能方向硕士/博士生
沈阳大学辽宁省微纳材料研究与开发重点实验室侯朝霞教授团队,因实验室发展与人才培养需要,现面向国内外公开招收硕士研究生、博士研究生。团队每年可招收硕士研究生若干名、博士研究生1-2名。
具体要求如下:遵守学术道德、秉持严谨科学态度,身心健康、踏实认真、责任心强,具备良好沟通能力、独立科研能力与团队协作精神。
欢迎材料科学、化学、物理等背景的同学联系报考。对储能材料与器件有兴趣的其它理工科背景的同学也同样欢迎。
有意申请者请将个人简历(包括个人简介,学习工作经历,科研工作概述和所获科研成果等)发送邮件至luckyxia2007@126.com。请标注邮件标题为:硕士/博士申请+专业+姓名。
添加官方微信 进群交流
SCI二氧化碳互助群
SCI催化材料交流群
SCI钠离子电池交流群
SCI离子交换膜经验交流群
SCI燃料电池交流群
SCI超级电容器交流群
SCI水系锌电池交流群
SCI水电解互助群
SCI气体扩散层经验交流群
备注【姓名-机构-研究方向】
投稿请联系contact@scimaterials.cn
点分享
点赞支持
点在看


