科学材料站
研 究 背 景
电动汽车和便携电子设备的快速发展对锂离子电池(LIBs)的能量密度、循环寿命和成本提出了更高要求,其中体积能量密度成为关键指标。硅因其高理论容量(4200 mAh g−1)和适宜的工作电压被视为最具潜力的负极材料,但其在嵌锂/脱锂过程中剧烈的体积膨胀(>300%)会导致电极粉化、导电网络破坏和固态电解质界面(SEI)反复重构,严重限制了实际应用。
科学材料站
内 容 简 介
近日,河北工业大学材料科学与工程学院王恭凯与张程伟研究员与团队在锂离子电池负极材料领域取得进展。研究团队通过创新性优化镁热还原法及碳包覆工艺,成功开发出三维有序介孔硅/氮掺杂碳(Si/NC)球阵列(M-Si/NC-SA)新型负极材料。针对传统硅基负极因低压实密度导致的体积容量不足及循环稳定性差等问题,该研究通过采用镁片替代镁粉作为还原剂,有效调控镁热反应动力学,在还原二氧化硅模板过程中优先形成硅壳保护层,成功制备出结构完整的介孔硅基球阵列前驱体。结合氮掺杂碳包覆与选择性刻蚀工艺,最终构建出具有分级多孔结构的三维有序球阵列体系。该材料通过密堆积结构实现0.78 mg cm−3的高压实密度,同时利用球内介孔通道与球间大孔形成的三维互联网络,协同优化锂离子传输动力学并缓冲硅的体积膨胀应力。电化学测试表明,优化后的M-Si/NC-SA负极在0.1 A g−1电流密度下体积容量高达2275 mAh cm−3,较传统石墨负极提升近3倍;在1 A g−1高倍率下循环1000次后仍保持1011 mAh g−1的比容量。匹配磷酸铁锂(LFP)正极构建的全电池体系展现优异实用性,1000次循环后放电容量稳定于94 mAh g−1,能量密度达382.5 Wh kg⁻¹。尤为重要的是,该研究建立了基于模板还原-碳包覆联用技术的规模化制备工艺,单批次产量可达公斤级,为高体积容量硅基负极的产业化应用提供了创新解决方案。
相关成果以 “3D ordered mesoporous Si/C sphere arrays as high-volumetric-capacity and durable anode for lithium-ion batteries”为题发表在《Small》上(https://doi.org/10.1002/smll.202501427)上。河北工业大学硕士王群懿、贾亚夺为共同第一作者。
科学材料站
图 文 导 读
图1. (a) M-Si/NC-SA的制备流程示意图,(b-c)扫描电镜(SEM)图像,(d)透射电镜(TEM)图像,(e)高分辨透射电镜(HR-TEM)图像,(f)选区电子衍射(SAED)图谱,(g)相应的能谱仪(EDS)元素分布图。
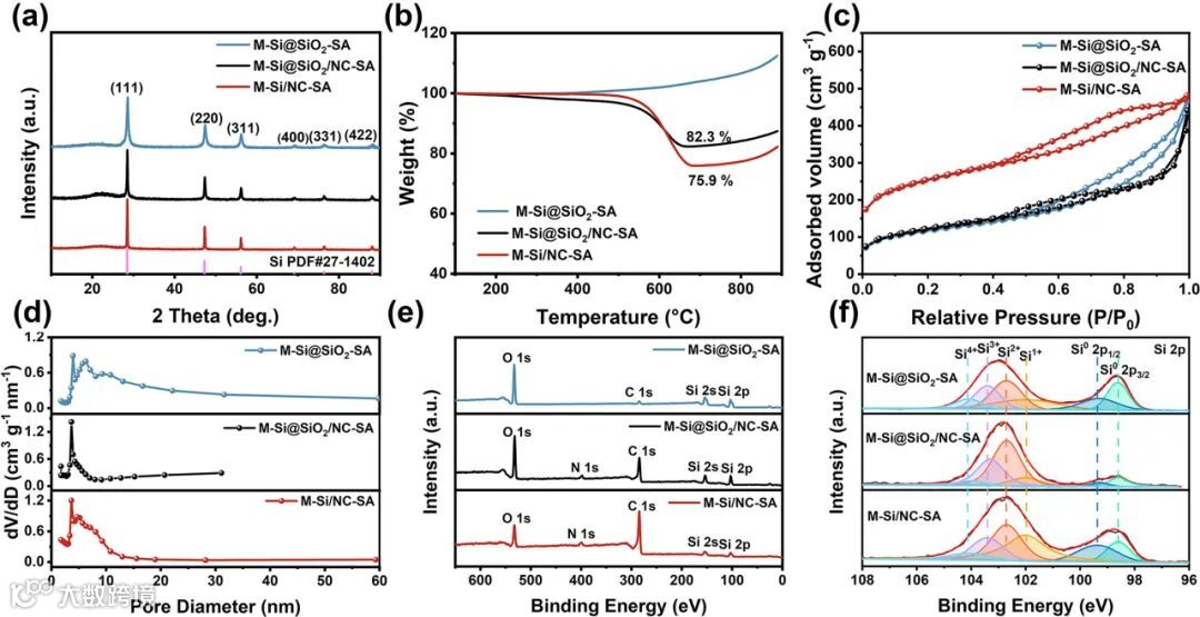
图2. M-Si@SiO2-SA、M-Si@SiO2/NC-SA与M-Si/NC-SA的对比分析:(a) XRD图谱,(b) TGA曲线,(c) N2吸脱附等温线,(d) 相应的孔径分布(PSD)曲线,(e) XPS全谱及(f) 高分辨率Si 2p谱图。
图3. (a-b)在锂离子半电池中M-Si@SiO2-SA、M-Si@SiO2/NC-SA与M-Si/NC-SA电极基于电极重量和体积的倍率性能;(c)与已报道负极材料的倍率性能对比;(d)电极在1 A g−1电流密度下的循环性能;(e) M-Si/NC-SA电极随面积质量负载变化的面容量演变;(f) M-Si/NC-SA//LFP全电池的倍率性能及(g)循环性能(图(f)插图为不同倍率下的恒电流充放电曲线)。
图4. (a) M-Si/NC-SA电极的恒电流充放电(GCD)曲线;(b) 非原位X射线衍射(XRD)图谱;(c) 非原位高分辨率X射线光电子能谱(Si 2p)分析。(d) 纯硅(Si)及硅/碳(Si@C)复合体系的态密度(DOS)分布;(e) 基于密度泛函理论(DFT)计算的锂离子在不同碳结构中的吸附行为:黑色、橙色和紫色球体分别代表碳(C)、氮(N)和锂(Li)原子;红色与蓝色区域分别表征电子密度的富集与缺失。
图5. (a-b) M-Si@SiO2-SA、(c-d) M-Si@SiO2/NC-SA及(e-f) M-Si/NC-SA 电极循环前后的截面扫描电子显微镜(SEM)图像。
科学材料站
作 者 简 介
王恭凯,河北工业大学材料科学与工程学院研究员,博士生导师,天津市“131”创新型人才培养工程第二层次人才,河北省“三三三人才工程”第三层次人才。长期致力于储能新材料的先进制备以及在高比能、高功率、多功能电化学储能器件(二次电池、超级电容器)领域的应用和基础研究;承担多项国家级、省部级项目;共发表SCI收录论文90余篇(包括Angew. Chem. Int. Ed.、Acta Materialia、Advanced Functional Materials、ACS Energy Letters、Energy Storage Materials等),引用次数超过4000次,其中9篇文章引用次数超过100,个人H因子为33,获得授权发明专利6项;2022-23年任Rare Metals青年编委。
张程伟,研究员,博士生导师,河北工业大学“元光学者”。2014年毕业于北京化工大学,同年9月进入河北工业大学工作,主要开展纳米多孔材料(如金属、高分子、碳、金属氧化物等)的可控制备;金属—空气电池用双功能催化剂的制备及应用;碱金属离子电池及其混合电容器用电极材料的制备及性能研究研究工作,先后获得国家及省部级项目的支持。以第一/通讯作者身份在Advanced Functional Materials、ACS Catalysis、Nano−Micro Letters、Chemical Engineering Journal、ACS Applied Materials & Interfaces、Journal of Power Sources、Carbon等学术期刊发表SCI论文40余篇。
添加官方微信 进群交流
SCI二氧化碳互助群
SCI催化材料交流群
SCI钠离子电池交流群
SCI离子交换膜经验交流群
SCI燃料电池交流群
SCI超级电容器交流群
SCI水系锌电池交流群
SCI水电解互助群
SCI气体扩散层经验交流群
备注【姓名-机构-研究方向】
投稿请联系contact@scimaterials.cn
点分享
点赞支持
点在看

