科学材料站
文 章 信 息
Cl、Co掺杂对g-C3N4光吸收和电荷分离互补增强以促进光催化CO2还原
第一作者:陈亮
通讯作者:王文静*
单位:华北电力大学,河北大学
科学材料站
研 究 背 景
随着大气中CO2的持续累积,日益严峻的全球变暖问题导致极端气候事件频发。碳捕集、利用与封存(CCUS)技术已成为控制CO2排放的关键手段。其中,光催化CO2还原技术能利用太阳能将CO2转化为CO、CH4等具有经济价值的化学品,兼具环境效益与经济效益,被视为极具前景的CO2资源化利用方案。该技术的核心挑战在于开发高性能光催化剂。石墨相氮化碳(CN)是一种有潜力光催化剂,CN具有能利用可见光、高化学稳定性、易制备等优点。但对可见光响应能力不足、光生电子-空穴复合严重等,是限制其光催化CO2还原效率的主要原因。
科学材料站
文 章 简 介
近日,来自华北电力大学的陈亮副教授与河北大学的王文静研究员合作,在国际知名期刊Chemical Engineering Journal上发表题为“Complementary enhancement of light harvest and charge separation by Cl and Co doping of g-C3N4 for photocatalytic CO2 reduction”的研究论文。该研究设计了一种非金属Cl与金属Co共掺杂的g-C3N4材料(Cl/Co-CN),通过Cl与Co的协同互补效应突破了纯氮化碳在光吸收和电荷分离方面的固有局限:Cl掺杂拓宽CN的光吸收范围,Co掺杂抑制电子-空穴复合并降低电荷迁移阻力,Cl/Co-CN的CO产率达到纯CN的11倍,远超单一Cl掺杂CN与Co掺杂CN的产率之和。
图1. 互补性Cl、Co掺杂增强氮化碳光催化CO2还原机理示意图。
科学材料站
本 文 要 点
要点一:Cl/Co-CN的合成与物化结构特征
如图2,采用对薄层氮化碳水热处理的方法制备Cl、Co共掺杂氮化碳Cl/Co-CN,TEM-EDS测试表明Cl、Co元素均匀掺杂进CN中。所制备的Cl/Co-CN基本上保持了CN的薄层结构,但水热、掺杂过程使其变得更薄。
图2. (a) Cl/Co-CN的合成过程示意图;(b) CN和(c) Cl/Co-CN的SEM图像;(d) CN和(e) Cl/Co-CN的TEM图像;(f) Cl/Co-CN的元素分布图。
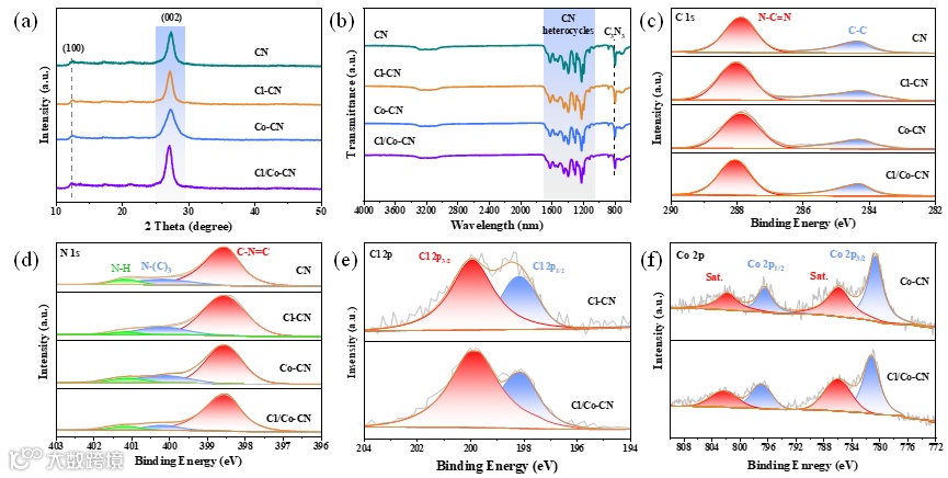
图3a-b的XRD和FTIR测试表明,Cl、Co掺杂对CN的晶体结构和官能团影响不大。XPS分析(图3c-f)表明,在CN中,Cl与C成键,而Co倾向于与N结合。
图 3. (a) XRD图, (b) FTIR图, (c) C 1s, (d) N 1s, (e) Cl 2p, and (f) Co 2p的XPS 图.
要点二:Cl/Co-CN的光催化CO2还原性能
图4a催化剂性能评价实验表明,Cl/Co-CN的CO产率达到18.89 μmol·g−1·h−1,是纯CN(1.72 μmol·g−1·h−1)的11倍,且显著超过单一Cl掺杂CN(5.58 μmol·g−1·h−1)与Co掺杂CN(7.57 μmol·g−1·h−1)的产量之和。如图4b和c所示,在长期稳定性和循环性能测试中,Cl/Co-CN的光催化CO产量随着连续照射10小时而稳定增加,在5次循环后,CO的产率下降较小,证明了Cl/Co-CN的良好稳定性。
图4. (a)不同样品的最佳CO产量,(b)长时间试验,(c)Cl/CO-CN的循环稳定性试验。
要点三:Cl、Co掺杂互补提升CN光催化CO2还原性能的机理
催化剂的光吸收及能带结构分析(图5)表明,Cl掺杂能显著降低CN的带隙,提升其可见光吸收范围,而Co掺杂对其可见光吸收范围影响较小。催化剂电荷分离与迁移性能表征(图6)表明,相比Cl掺杂,Co掺杂具有更强的抑制CN光生电子-空穴复合、降低电荷传递阻力的能力。结合图5和图6可以发现,Cl与Co掺杂能够发挥互补作用,共同提升CN的光吸收能力和电荷分离、迁移能力。DFT计算(图7)进一步表明,Cl/Co-CN的价带VBM和导带CBM分布较纯CN更为离散,从而促进电子-空穴分离。Cl、Co掺杂还能通过促进CO2在CN表面的吸附以及CO产物在CN表面的解吸来提升CO的产率。
图5. (a) 紫外可见漫反射光谱(UV–vis DRS)图,(b) Tauc 图,(c) Mott-Schottky 图,(d) 能带结构图。
图6. (a) 光致发光(PL)光谱,(b) 瞬态光电流谱(TPR),(c) 电化学阻抗谱(EIS)Nyquist 图,(d) 线性扫描伏安法曲线(LSV)。
图7. 优化后的Cl/Co-CN结构(a)俯视图和(b)侧视图,Cl/Co-CN在(c)VBM和(d)CBM上的电荷密度分布,(e)CO吸附在Cl/Co-CN上CCO-NCN键的COHP,(f)CO在Cl/Co-CN上吸附的电荷转移和吸附能。
要点四:总结与展望
通过水热法成功制备了Cl和Co共掺杂的g-C3N4催化剂。测试结果表明,与纯CN相比,单一Cl-CN和Co-CN的CO生成量仅略有提升,而Cl/Co-CN的CO产率提升到CN的11倍,且显著超过Cl-CN与Co-CN产量的总和,这表明Cl与Co掺杂在提升CN材料CO2光还原活性方面具有协同效应。其中,Cl掺杂主要通过缩小带隙拓宽CN的光吸收范围,而Co掺杂则通过抑制载流子复合、降低电荷迁移阻力发挥作用。两种掺杂的互补作用有效克服了CN材料的主要缺陷。该研究为提升氮化碳光催化CO2还原性能提供了新的策略。
科学材料站
文 章 链 接
Complementary enhancement of light harvest and charge separation by Cl and Co doping of g-C3N4 for photocatalytic CO2 reduction
https://www.sciencedirect.com/science/article/pii/S138589472506560X?dgcid=author
科学材料站
通 讯 作 者 简 介
王文静:河北大学研究员,硕导,博士。被授予“河北省省级特聘专家”称号,入选“新时代保定好青年”称号、河北大学五四青年奖章。主要从事碳捕集与利用技术的研发与推广。主持国家自然科学基金、河北省引进海外高层次人才项目、河北省自然科学基金、河北省教育厅青年拔尖人才项目等纵向项目10项。在Chemical Engineering Journal、Advanced Functional Materials、Applied Energy、Bioresource Technology、ACS Sustainable Chemistry & Engineering、Fuel等国际权威期刊,发表学术论文40 余篇,其中包括20余篇第一/通讯作者论文。担任国际期刊Separation and Purification Technology、Green Energy and Resources 的青年编委。
科学材料站
第 一 作 者 介 绍
陈亮:华北电力大学能源动力与机械工程学院副教授,硕士生导师。主要从事碳捕集转化、燃煤污染控制技术研发。主持国家自然科学基金青年项目、国家重点研发计划子课题、河北省自然科学基金青年/面上项目等国家及省部级课题6项。以第一/通讯作者在Chemical Engineering Journal、Separation and Purification Technology、AIChE Journal、Fuel、Applied Surface Science等国际、国内权威期刊发表论文20余篇。
添加官方微信 进群交流
SCI二氧化碳互助群
SCI催化材料交流群
SCI钠离子电池交流群
SCI离子交换膜经验交流群
SCI燃料电池交流群
SCI超级电容器交流群
SCI水系锌电池交流群
SCI水电解互助群
SCI气体扩散层经验交流群
备注【姓名-机构-研究方向】
投稿请联系contact@scimaterials.cn
点分享
点赞支持
点在看


