科学材料站
文 章 信 息
使用食品级嗜酸乳杆菌从废旧磷酸铁锂电池中回收有价金属
第一作者:夏秋丽,张丹妮(共同第一作者)
通讯作者:张丹妮*,徐大可*
单位:东北大学材料科学与工程学院
科学材料站
研 究 背 景
锂作为关键矿产资源,是锂离子电池(LIB)的核心成分。随着全球“双碳”目标推进,磷酸铁锂(LFP)电池因低毒性、长寿命、高安全性,在新能源汽车、电子设备等领域广泛应用,随着LFP电池的退役,大量废旧LFP电池堆积。回收其中的锂不仅能缓解环境压力,还能降低电池生产成本。
传统湿法冶金回收废旧LFP中的有价金属依赖化学试剂,易产生废液和气体,需高额治理成本;生物浸出虽为绿色环保可替代方案,但常用微生物局限于强嗜酸菌(如嗜酸氧化硫硫杆菌等),亦存在酸性废水排放等问题。本研究首次将食品级且生物安全等级为1级的嗜酸乳杆菌(Lactobacillus acidophilus)应用于废旧LFP电池的生物浸出中,突破了传统微生物的应用局限,为电子废弃物的资源化利用提供了新路径。
科学材料站
文 章 简 介
近日,东北大学材料科学与工程学院王福会教授团队、徐大可教授课题组在《Chemical Engineering Journal》发表重要研究,首次报道使用食品级嗜酸乳杆菌从废旧磷酸铁锂电池(LFP)中生物浸出有价金属。研究通过多种表征手段(XRD、FTIR、XANES,Mössbauer等)结合热力学计算与转录组分析,揭示了生物浸出机理,并优化了浸出工艺。
结果显示,两步法生物浸出在固液比为2.5 g/L时,锂(Li)浸出率达85.1%、铁(Fe)达59.9%;固液比为5.0 g/L条件下添加胞外聚合物(EPS)可将Li浸出率从60.8%提升至77.1%,同时显著提高浸出选择性(Fe浸出率降至5.8%)。该研究为温和产酸菌回收电子废弃物中的有价金属提供了理论与实验依据。
图1. 嗜酸乳杆菌联合EPS从废旧磷酸铁锂粉末中提取有价金属示意图。
科学材料站
本 文 要 点
要点一:嗜酸乳杆菌生物浸出工艺优化
浸出方法对比:相较于一步法和废培养基法,两步法(先培养细菌至对数期再加入废旧LFP粉末)效果更优,在固液比为5.0 g/L时,Li浸出率达60.8%,Fe浸出率达68.5%。
固液比影响:Li浸出率随固液比升高而降低,2.5 g/L时达最大值85.1%,10.0 g/L时降至31%以下(因高浓度金属离子抑制细菌活性)。
图2. 嗜酸乳杆菌在不同生物浸出方式(固液比为5.0 g/L)下(a、b)以及采用两步法在不同固液比条件下(c、d)浸出废旧磷酸铁锂粉末时,浸出液中锂和铁的百分比、pH值和细菌密度。
要点二:EPS显著提升浸出效率与选择性
效率提升:当固体比为5.0 g/L时,添加100 mg/L EPS后,Li浸出率从60.8%提升至77.1%,且浸出速率加快(10天内Li浸出率达58.4%,无EPS时为46.6%)。
选择性增强:EPS降低Fe浸出率,形成更多的次生含铁相(如FePO4、2-线水铁矿),使Fe在浸出液中浸出率降至5.8%,简化后续分离工艺。
作用机制:EPS含多糖、蛋白质等功能基团,增强细菌与LFP粉末的附着能力,保护细菌免受金属离子毒性胁迫,提高代谢活性。
图3. 嗜酸乳杆菌在固液比为5.0 g/L及两步法条件下添加不同含量EPS浸出废旧磷酸铁锂粉末时,浸出液中锂和铁的百分比、pH值和细菌密度。
图4. EPS添加细菌对粉末黏附效果的影响。
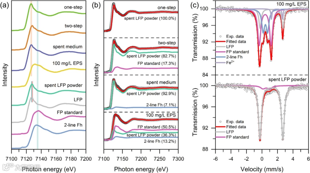
要点三:生物浸出机理揭示
驱动力:嗜酸乳杆菌代谢产生的乳酸是有价金属浸出的核心驱动力,通过酸解作用破坏LFP晶格(反应式:4LiFePO4 + 4C3H6O3 + O2 → 4FePO4 + 4C3H5O3− + 4Li+ + 2H2O)。
转录组分析:LFP粉末胁迫下,细菌的群体感应(QS)、硫代谢、叶酸一碳单位代谢等通路上调,增强金属离子耐受能力;EPS添加可减少细菌基因表达波动,维持代谢稳态。
图5. EPS添加对细菌转录组变化的影响分析。
图6. 不同条件浸出残基XANES及Mössbauer固相表征。
要点四:技术优势与应用前景
相比化学浸出,该方法绿色环保,无需高温或强氧化剂;相比传统强嗜酸菌生物浸出,嗜酸乳杆菌生物安全性高、环境适应性强。
浸出液中的Li也可提取成Li2CO3作为锂电池的正极原材料,浸出残渣中的FePO4可作为电池正极前驱体或催化剂材料,实现“废物–资源”闭环。
科学材料站
文 章 链 接
Bioleaching of valuable metals from spent lithium iron phosphate batteries using food-grade Lactobacillus acidophilus
https://doi.org/10.1016/j.cej.2025.166799
科学材料站
通 讯 作 者 简 介
徐大可教授简介:国家杰出青年基金获得者,东北大学材料科学与工程学院教授、博士生导师,主要从事金属材料的微生物腐蚀行为、机理和防治的相关研究及抗菌金属材料和海洋防污涂层的研发,在金属资源回收与循环利用领域有深厚积累。以第一作者或通讯作者发表高水平论文150多篇,其中4篇入选ESI热点论文,12篇入选ESI高被引论文;总引用14000余次,H因子66,已发表Nature Reviews Microbiology、Advanced Materials、Angewandte Chemie International Edition(4篇)、Advanced Functional Materials(8篇)以及腐蚀领域顶级刊物Corrosion Science(50余篇)。主持国家自然科学基金委国家杰出青年科学基金项目,国家自然基金委重点项目(2项)、973专项服务课题、国家重点研发计划课题、教育部项目基本科研业务费交叉融合重点项目等科技部、基金委、企业项目30多项,总经费超过4000万元。担任Research, J. Mater. Sci. Technol, npj Mater. Degrad.等期刊编辑及特刊主编/副主编和编委。先后获得中国腐蚀与防护学会科学技术奖一等奖(1/15,1/14)、辽宁省自然科学二等奖(1/5)等多项荣誉称号。
张丹妮副教授简介:东北大学材料科学与工程学院副教授、博士生导师,主要研究方向为电子废弃物的回收与再利用、固体废弃物中重金属形态与形态转化研究以及导电纳米线的制备与开发应用。承担国家自然科学基金面上基金(2项),国家自然科学基金青年基金及中国科学院污染生态与环境工程重点实验室开放基金等多项国家级科研项目,在《Chemical Engineering Journal》《Journal of Hazardous Materials》《Journal of Environmental Sciences》等期刊发表多篇论文,聚焦绿色回收技术的基础与应用研究。
科学材料站
第 一 作 者 简 介
夏秋丽:东北大学材料科学与工程学院21级博士研究生,师从徐大可教授和张丹妮副教授,研究方向为废旧电池的生物浸出技术,参与多项相关课题的研究工作,在生物浸出机理与工艺优化方面有深入探索。至今以第一作者在Chemical Engineering Journal和Journal of Hazardous Materials刊物上各发表SCI论文1篇。
张丹妮副教授(共同第一):同时作为共同通讯作者,其研究兼顾理论与应用,推动了温和微生物在资源回收中的应用。
科学材料站
课 题 组 介 绍
东北大学电活性生物材料交叉研究中心(简称“交叉中心”)是东北大学依托“东北大学电活性微生物交叉研究团队”新晋成立的二级科研单位。交叉中心由美国马萨诸塞大学阿默斯特分校教授、美国科学促进会院士、美国微生物科学院院士Derek Lovley领衔,他是微生物领域(特别是电活性微生物领域)国际顶级学术大师,致力于微生物基础研究,在厌氧微生物生理生态、微生物胞外电子传递和生物修复等领域取得了许多开创性成果,揭示了蛋白纳米导线胞外电子传递和微生物种间直接电子传递机制。已发表学术论文超过500篇,其中Nature和Science正刊文章已发表25篇,h影响因子已经达到200,个人引用136700多次(google scholar),世界微生物学家引用次数排名第一。2021年,Derek Lovley教授在东北大学依托王福会教授团队(国家杰青)建立电活性生物材料研究中心,主要研究方向为细菌导电纳米线材料和金属材料的微生物腐蚀。
团队目前共有教授7人、特聘研究员3人、特聘副研究员4人,副教授5人、实验师1人、其中外籍教授3人,国家级人才4人,团队横向、纵向课题众多,经费充足,学术平台优越,课题组氛围和谐,适合年轻人发展。
科学材料站
课 题 组 招 聘
为进一步加强电活性交叉中心的研究力量,优化团队布局,开拓学科方向,现面向和海内外招聘教授,青年副教授,博士后及博士生若干,招聘学科与研究方向:
教师岗位
1. 纳米线生物传感器
2. 电池回收方向
招聘岗位条件及职责
1. 教授/特聘研究员
基本要求:在招聘学科学术前沿领域从事创新性研究,具有独立科研能力和经验,在本学科领域取得较高学术水平、具有标志性学术成果的海内外优秀人才。年龄一般不超过45周岁,以第一作者/通讯作者发表多篇高水平论文。
薪酬及待遇:纳入编制管理,聘为教授(卓青a岗,年薪50万,科研启动经费200万,安家费80万)或特聘研究员(卓青b岗,年薪35万,科研启动经费60万,安家费60万,博新计划/青年托举/海外优秀博士后项目入选者优先)。
2. 青年副教授
基本要求:在招聘学科领域取得具有一定学术影响的研究成果,学术水平居于本学科领域同年龄段学者前列的海内外优秀人才,年龄一般不超过35周岁。
薪酬及待遇:纳入编制管理,聘为副教授。学术业绩优秀的候选人可入选卓青计划c类(30万年薪,30万科研启动经费,30万安家费)。
3. 全职博士后
基本要求:2024、2025年应届博士毕业研究生及获得博士学位未满3年,且符合国家博士后入站条件。在招聘学科领域重要期刊发表过较高水平的学术论文,有较强的科研能力和学术研究潜力,能独立承担科研课题。
薪酬及待遇:按照东北大学卓越青年人才集聚计划(卓青计划d)执行,合同期3年,年薪25万,科研启动经费10万)。
博士生
1. 抗菌/防污防腐涂层材料(重点招收)
2. 耐微生物腐蚀的金属材料设计与制备
3. 活体功能生物被膜材料(微生物能源材料)
4. 油气田、海洋微生物腐蚀与防治
5. 生物材料(口腔、肠道环境)的微生物腐蚀;
6. 电池材料的微生物回收
7. 基于基因编辑技术的微生物腐蚀机制
本年度交叉中心设立推免生奖学金:其中985大学推免生奖励10000元,211大学推免生奖励5000元,其他高校推免生奖励2000元
招生要求:
学科背景:化学、材料、生物、环境等相关专业
优先考虑:具有腐蚀、微生物、高分子材料、有机合成、抗菌(金属)材料等研究经历的申请者和有高水平论文发表的博士申请者。
有意者请将个人简历发送至联系邮箱,欢迎广大有志之士加入东北大学电活性材料交叉研究中心。
联系人:徐老师 xudake@mail.neu.edu.cn
添加官方微信 进群交流
SCI二氧化碳互助群
SCI催化材料交流群
SCI钠离子电池交流群
SCI离子交换膜经验交流群
SCI燃料电池交流群
SCI超级电容器交流群
SCI水系锌电池交流群
SCI水电解互助群
SCI气体扩散层经验交流群
备注【姓名-机构-研究方向】
投稿请联系contact@scimaterials.cn
点分享
点赞支持
点在看


