科学材料站
文 章 信 息
通过分子间相互作用超声驱动纤维状 MXene 与石墨烯形成,用于增强非对称超级电容器的电荷存储性能
第一作者:李佳敏
通讯作者:徐帅凯*,杨亚*
单位:广西大学,中国科学院北京纳米能源与系统研究所
科学材料站
研 究 背 景
非对称超级电容器(ASCs)相比对称超级电容器(SSCs)具有更宽的工作电压和更高的能量密度,因此被认为在高性能储能领域具有巨大潜力。二维纳米材料(如 MXene、石墨烯)因其独特的属性(高比表面积、优异的导电性和可调控的性能)成为构建ASCs理想的电极材料。然而,超级电容器固有的自放电问题,以及二维纳米片因范德华力作用发生的堆叠现象,导致二维纳米材料基 ASCs 面临严重的能量损耗和离子传输受限难题。现有改善方法往往忽略了离子传输效率与体积比电容之间的平衡,以及正负电极电荷存储动力学协调匹配抑制二维纳米材料基 ASCs 自放电的解决方案。针对这一挑战,本文提出利用抗坏血酸(AA)和超声驱动的表面工程技术,协同调控材料结构与表面化学性质,进而提升了 ASCs 的电荷存储性能。
科学材料站
文 章 简 介
近日,来自广西大学的徐帅凯副教授、中国科学院北京纳米能源与系统研究所的杨亚研究员合作,在国际知名期刊Energy Storage Materials上发表题为”Ultrasound-driven fibrous MXene and graphene formation via molecular interactions for asymmetric supercapacitors with enhanced charge storage”的文章。
本文提出利用抗坏血酸(AA)和超声驱动的表面工程技术,该方法发挥了双重作用:一方面,促进 Ti3CNTx 和还原氧化石墨烯(rGO)形成一维纤维结构,并构建了具有大孔径的互联网络,有效解决了离子传输受限的问题;另一方面, AA 调控了材料表面化学性质以提高零电荷电位并抑制 ASCs 自放电行为。电化学数据表明,组装的 Ti3CNTx -AA//GO-AA 二维纳米材料基 ASCs 的电荷存储性能显著增强,表现出19.7 mWh/g 的高能量密度和优异的倍率性能。值得注意的是,其自放电行为被有效地抑制(5000 秒后电压下降 15.53%)。本研究实现了同时优化二维纳米材料基 ASCs 离子传输和抑制自放电行为,为推动二维纳米材料基ASCs实用化提供新思路。
图1. 通过 AA 和超声驱动的纤维状 Ti3CNTx / rGO 可促进离子传输并抑制自放电,从而用于高性能非对称超级电容器
科学材料站
本 文 要 点
要点一:抗坏血酸(AA)和超声驱动形成纤维状 Ti3CNTx、还原氧化石墨烯(rGO)
在 AA 与超声驱动的作用下,成功将 Ti3CNTx 和 rGO 纳米片制备成直径<5 μm的一维纤维结构(图2 a-f)。 XRD 图谱表明,Ti3CNTx-1.5AA-20 的(002)峰相较于原始 Ti3CNTx 向高角度偏移,表明层间距减小,可能与 AA 作用及纤维卷曲导致的层间堆叠更紧密有关(图2 g)。纤维状 Ti3CNTx-1.5AA-20 和 rGO-2.0AA-30 薄膜的平均孔径显著大于非纤维状的 Ti3CNTx 和 rGO (图 3b)。这种由卷曲纤维互联网络形成的更大孔径,有望在电极结构内部创造更开放的通道,从而促进电解质离子的快速扩散。X 射线光电子能谱(XPS)的高分辨率 O 1s 谱图(图 3f)为表面官能团的修饰提供了明确证据。与原始 Ti3CNTx 相比, Ti3CNTx-1.5AA-20 表面羟基(C-Ti-(OH)ₓ,约 531.8 eV)的峰强度显著降低。这有力地表明,抗坏血酸处理与退火处理有效去除了大部分表面羟基,而这预计会对电化学行为和自放电特性产生影响。
图2. 纤维状 Ti3CNTx 和 rGO 的形貌与结构表征
图3. 孔隙率和表面化学表征
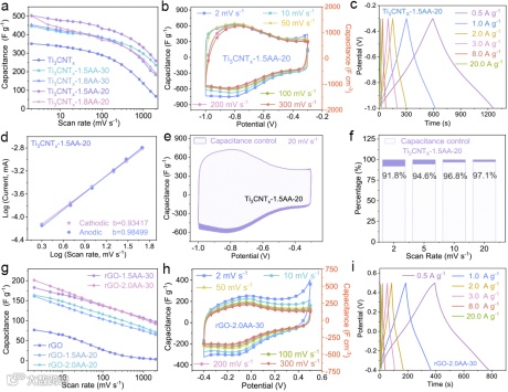
要点二:纤维状 Ti3CNTx 、rGO电化学性能分析
经 AA 分子和超声驱动得到的纤维状 Ti3CNTx 和 rGO 电极(Ti3CNTx-1.5AA-20 和rGO-2.0AA-30),因表面羟基减少、孔隙结构优化,其电容性组装的能、倍率性能和电荷存储动力学均得到显著提升,为后续组装高性能非对称超级电容器奠定了基础。在 2 mV/s 的扫描速率下,Ti3CNTx-1.5AA-20 的比电容高达 502 F/g(体积电容 717 F/cm³),显著高于原始 Ti3CNTx;即使在 2000 mV/s 的高扫描速率下,仍能保持初始电容的 51%,表现出优异的倍率性能(图4 a)。
图4. 展示了 Ti3CNTx-1.5AA-20 和 rGO-2.0AA-30 电极在三电极体系中的电化学性能
要点三:表面羟基的减少,抑制了非对称超级电容器的自放电
将 Ti3CNTx-1.5AA-20 和 rGO-2.0AA-30 组装成非对称超级电容器(Ti3CNTx-AA//rGO-AA)并与 Ti3CNTx//rGO 的开路电压(OCV)衰减曲线进行比较。从计算结果来看, vCNTx-AA//rGO-AA 的电压衰减仅为初始电压的 15.53%,而 vCNTx//rGO 的电压衰减则大得多,为 35.42%(按 100% - 64.58% 计算)(图5 d)。我们将这种自放电的抑制归因于 Ti3CNTx-1.5AA-20 电极表面羟基(-OH)基团密度的降低,正如 XPS 分析所证实的。如图 5h 所示, MXene 表面羟基基团密度越低,其功函数越高,零电荷电位(PZC)越正。在 ASC 中,尤其是当器件处于开路状态时,负极的 PZC 越高,水电解和法拉第反应的驱动力就越小,而这是导致自放电的主要因素。当Ti3CNTx//rGO的电解质分别为 2M H2SO4、3M LiCl 和 2M KOH 时,经过 10,000 次循环后,电容保持率分别为 95.0%、93.2% 和 89.8%,表现出优异的长期运行稳定性。当电解质为 2M H2SO4 时,该 ASC 能量密度达 19.7 mWh/g(图6f-g)。
图5. Ti3CNTx-1.5AA-20//rGO-2.0AA-30 ASC 在 2 M H2SO4 中的电化学性能及自放电分析
图6. Ti3CNTx-AA//rGO-AA ASC在不同电解液中的电化学性能分析
要点四:前瞻
本文提出利用抗坏血酸(AA)和超声驱动的表面工程技术,协同调控二维纳米材料结构与表面化学性质,并对二维纳米材料基 ASCs 的电化学性能进行优化。该方法有望突破当前超级电容器能量密度瓶颈,为高容量、高稳定性储能器件设计提供通用范式。
科学材料站
文 章 链 接
Ultrasound-Driven Fibrous MXene and graphene Formation via Molecular Interactions for Asymmetric Supercapacitors with Enhanced Charge Storage
https://pubs.acs.org/doi/10.1016/j.ensm.2025.104433
添加官方微信 进群交流
SCI二氧化碳互助群
SCI催化材料交流群
SCI钠离子电池交流群
SCI离子交换膜经验交流群
SCI燃料电池交流群
SCI超级电容器交流群
SCI水系锌电池交流群
SCI水电解互助群
SCI气体扩散层经验交流群
备注【姓名-机构-研究方向】
投稿请联系contact@scimaterials.cn
点分享
点赞支持
点在看


