科学材料站
文 章 信 息
MoO2/Mo4O11@Mo 复合材料的可控合成:原位电化学转化用于高性能的水系锌离子电池
第一作者:张寅峰
通讯作者:张旭,米盼盼,周泉
科学材料站
研 究 背 景
在当前的电池技术中,水系锌离子电池因其高安全性、环境友好性以及资源丰富性,被认为是最具潜力的下一代储能体系之一。其充放电过程中,锌离子在正极材料中的嵌入/脱嵌行为对电池的容量和循环寿命起着关键作用。然而,传统正极材料如锰基、钒基氧化物以及普鲁士蓝类化合物均存在不同程度的问题,例如容量快速衰减、毒性及溶解性带来的安全隐患,以及电导率和倍率性能不足等。此外,Zn2+离子较大的半径(≈0.74 Å)和强静电作用也限制了其在层状结构中的扩散速率,进一步影响了电池性能。本文聚焦于 MoO2/Mo4O11@Mo 复合材料的设计与原位电化学转化构筑异质结构。通过在充放电过程中实现 MoO2@Mo 异质结的动态重构,有效提升了材料的电子导电性和离子迁移速率,同时增强了结构稳定性,缓解了体积膨胀带来的应力问题。
基于此,大连理工大学张旭副教授、大连理工大学盘锦产业技术研究院米盼盼联合大连民族大学周泉等在国际知名期刊Small上发表题为“In-situ Electrochemical Transformation of MoO2/Mo4O11@Mo for High-Capacity Aqueous Zinc-ion Batteries”的文章。研究团队设计并合成了MoO2/Mo4O11@Mo复合材料,并通过原位电化学转化构建MoO2@Mo异质结结构。这一设计不仅显著提升了电子导电性和离子传输效率,还有效缓解了循环过程中的体积膨胀问题。实验结果显示,该电极在0.5 A g-1下实现291 mAh g-1的容量,在高电流密度3.0 A g-1下仍保持148 mAh g-1。更为突出的是,在 1500次循环后仍保持77%的容量,大幅优于传统MoO2电极,展现出优异的循环稳定性。这一成果表明,基于原位电化学结构重构的异质结构设计,为开发高性能水系锌离子电池正极材料提供了全新思路。未来,这一策略有望推动绿色、安全、高效的新型储能技术迈向实际应用。
图1 电化学原位转化过程、非原位XRD表征、TEM表征及高电流密度下长循环性能
科学材料站
本 文 要 点
要点一:MoO2/Mo4O11@Mo异质结构的表征
SEM与TEM表征显示,所得颗粒表面平整致密,具有明显的多相共存特征。高分辨电镜进一步揭示了MoO2与Mo4O11晶面清晰的晶格条纹,表明两相在微观尺度下实现了紧密结合。XRD分析证实,材料中同时存在MoO2、Mo4O11与金属Mo,其中Mo占比达24.5%。这种“金属核-氧化物壳”的多相结构,不仅增强了晶体内部的稳定性,还为后续电化学反应提供了更多活性位点。综合多种表征结果,证实了MoO2/Mo4O11@Mo异质结构的成功合成。这种独特的设计为其在水系锌离子电池等新型储能体系中的应用奠定了坚实基础,展现出良好的结构稳定性与能量存储潜力。
图2 MoO2/Mo4O11@Mo的微观结构和形貌;(b)SEM图像;(c)TEM图像;(d)HRTEM图像;(e)SAED图像。
图3 MoO2/Mo4O11@Mo和p-MoO2的表征。(a)XRD图案。(b)拉曼光谱。测量的XPS光谱,(c)O 1s和(d)Mo 3d。
要点二: MoO2/Mo4O11@Mo 异质结构电极展现卓越循环与倍率性能
为了验证MoO2/Mo4O11@Mo电极的储能性能,研究团队开展了系统的电化学测试。结果表明,该电极在初始循环中逐步激活,容量不断提升,至第10圈达到峰值后趋于稳定,显示出优异的电化学活化特性。在0.5 A g-1电流密度下,该电极的最大比容量可达 291 mAh g-1,经过200圈循环后仍保持约175mAh g-1,远优于对照样品p-MoO2。倍率性能方面,即使在高达5.0 A g-1的大电流下,MoO2/Mo4O11@Mo仍保持158 mAh g-1的容量,几乎是p-MoO2的4倍。当电流恢复至0.5 A g-1时,容量能迅速回升至265 mAh g-1,充分证明了其结构的高度可逆性和稳定性。更令人瞩目的是,在3.0 A g-1的高倍率条件下,该电极经历 1500次充放电循环后仍能保持77%的容量(114 mAh g-1),表现出极佳的长寿命循环稳定性。
图4 MoO2/Mo4O11@Mo和p-MoO2电极的电化学性能比较。(a)0.1 mV s-1时的CV曲线;(b)0.5 A g-1下的循环性能;(c)0.5 A g-1时的GCD曲线;(d)倍率性能。(e)MoO2/Mo4O11@Mo与先前报道的正极材料的性能比较。(f)3 A g-1下的循环性能。
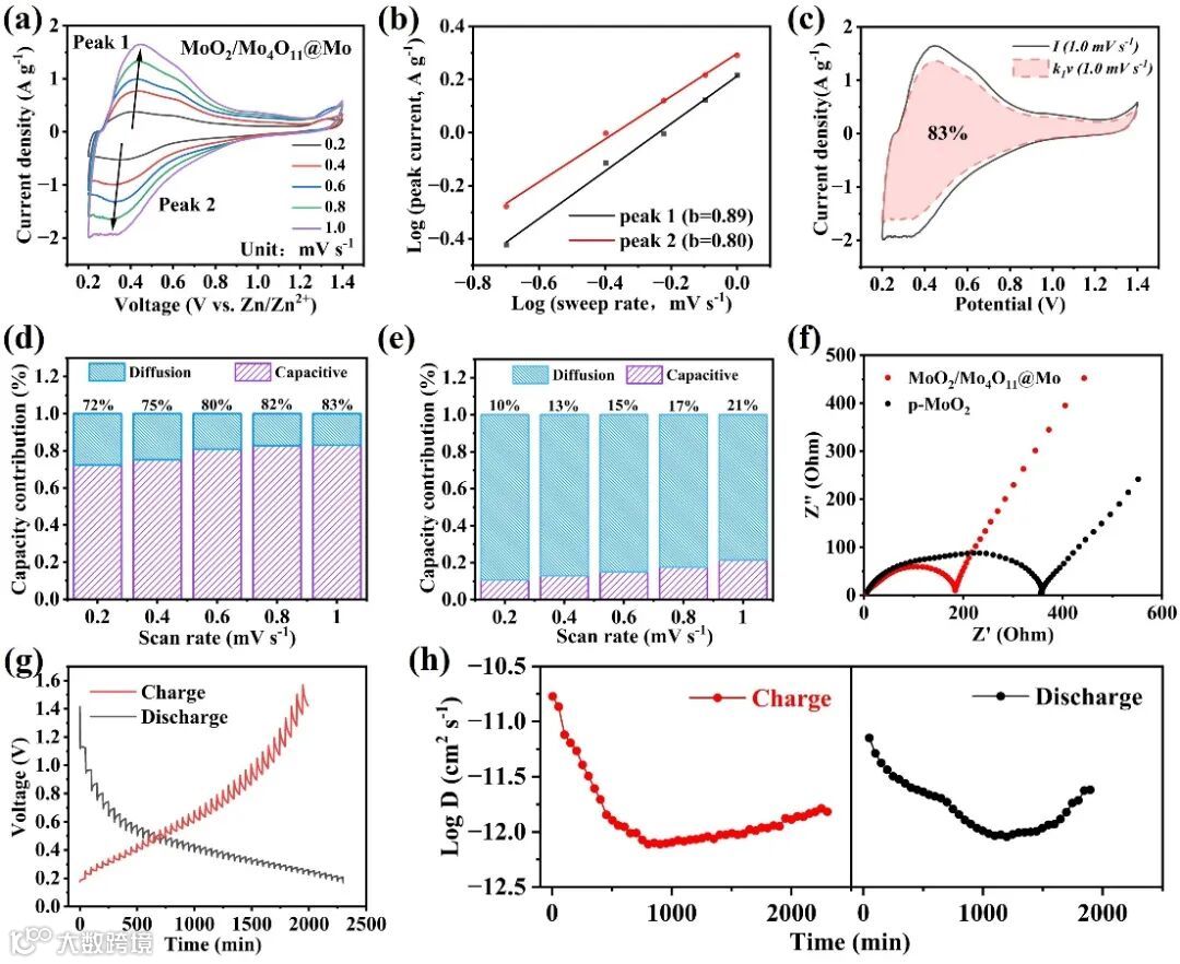
要点三:构建MoO2/Mo4O11@Mo异质结电极,实现更快的电化学反应动力学
为了深入理解新型MoO2/Mo4O11@Mo电极在水系锌离子电池中的电化学反应过程,研究团队开展了一系列系统表征,包括电化学阻抗谱(EIS)、循环伏安(CV)以及恒电流间歇滴定技术(GITT)测试。结果表明,与传统的p-MoO2电极相比,MoO2/Mo4O11@Mo电极在循环伏安测试中表现出更高比例的电容主导行为(高达83%),说明其电荷存储过程更快、更高效。同时,EIS测试显示该电极具有更低的电荷转移阻抗和更优的离子扩散能力,意味着电子和离子的传输过程更加顺畅。进一步的GITT分析则揭示,其Zn2+扩散系数高于对照电极,进一步验证了该结构在离子传输与导电性方面的显著优势。
图5 MoO2/Mo4O11@Mo的电化学反应动力学:(a) CV 曲线从0.2到1.0 mV s-1;(b)b值测定;(c)1.0 mV s-1时的电容贡献量化。(d、e)分别是MoO2/Mo4O11@Mo和p-MoO2电极在不同扫描速率下对总容量的电容贡献比。(f)EIS光谱;(g)GITT图以0.02 A g-1的电流密度收集。h)MoO2/Mo4O11@Mo电极在不同(脱出)嵌入状态下计算得到的Dion。
要点四:揭示MoO2/Mo4O11@Mo电极在循环中的结构演化与储锌机制
在首个充放电循环中,X射线衍射(XRD)结果显示,电极中的Mo4O11逐渐消失,同时金属Mo的信号减弱,最终仅保留MoO2与Mo,表明电极经历了电化学驱动的原位转化反应。扫描电镜(SEM)进一步揭示,在放电后的电极表面出现了新的棒状结构,对应于MoO2@Mo异质结构的形成。这一结构特征也得到了拉曼光谱、透射电镜(TEM)和选区电子衍射(SAED)的共同验证。更为关键的是,在长循环测试后,传统p-MoO2电极出现严重破碎,而MoO2/Mo4O11@Mo电极仍保持完整性。这归因于其独特的MoO2@Mo异质结构:其中金属Mo核心不仅提供连续的电子传输通道,还凭借其延展性有效缓冲了循环过程中的体积应力,从而显著提升了结构稳定性。综合多种表征手段,研究团队最终提出:在循环过程中,Mo4O11与Mo发生电子催化转化,逐步形成稳定的MoO2@Mo结构。这一结构不仅优化了电荷转移和离子扩散过程,还有效延长了电极寿命。
图6 MoO2/Mo4O11@Mo的储能机制。(a)GCD 曲线;(b)原位XRD图谱;(c)原位电化学转化过程的SEM图像; (d)MoO2@Mo的TEM图像。(e)Zn 2p,(f)Mo 3d.(g)MoO2/Mo4O11@Mo 原位电化学转化过程示意图。
要点五:柔性锌离子电池软包展示商业化潜力
基于MoO2/Mo4O11@Mo构建的柔性水系锌离子软包电池电化学测试结果显示,软包电池的循环伏安曲线与之前的扣式电池表现高度一致,说明其在不同电池形式下仍能保持稳定的电化学特性,长循环测试也展现出优异的稳定性和耐久性。当两片软包电池并联连接时,能够顺利点亮1.5 V小型灯泡,直观证明了该体系的实际应用潜力,为其未来商业化和柔性储能设备应用提供了坚实基础。
图7(a)使用MoO2/Mo4O11@Mo制备的软包电池在0.1 mV s-1的低扫描速率下的CV曲线。(b)软包电池在0.5 A g-1下的长循环测试。(c)软包电池的倍率性能测试。(d)制备的软包电池点亮1.5V的小灯泡。
科学材料站
文 章 链 接
In-situ Electrochemical Transformation of MoO2/Mo4O11@Mo for High-Capacity Aqueous Zinc-ion Batteries
https://doi.org/10.1002/smll.202508619
科学材料站
通 讯 作 者 简 介
张旭,大连理工大学副教授/博士生导师,2015 年博士毕业于大连理工大学,主要从事碳基复合材料的制备及其在催化和储能应用研究,以一作/通讯在Adv. Funct. Mater.,ACS Nano, J. Energy Chem., Small, ACS Appl. Mater. Interfaces等高水平国际期刊上发表学术论文30余篇,授权专利13项。主持国家自然科学基金、博士后基金、辽宁省自然科学基金等项目。
周泉,博士,副教授,大连民族大学生命科学学院副院长。研究方向为碳基纳米复合材料表界面调控及电化学性能研究。参与国家自然科学项目2项,主持企业横向课题1项,在Journal of Materials Chemistry, Nanoscale, Materials Chemistry Frontiers等国际学术期刊发表学术论文10余篇,授权PCT专利2项、中国发明专利3项,参与获大连市自然科学二等奖。
添加官方微信 进群交流
SCI二氧化碳互助群
SCI催化材料交流群
SCI钠离子电池交流群
SCI离子交换膜经验交流群
SCI燃料电池交流群
SCI超级电容器交流群
SCI水系锌电池交流群
SCI水电解互助群
SCI气体扩散层经验交流群
备注【姓名-机构-研究方向】
投稿请联系contact@scimaterials.cn
点分享
点赞支持
点在看


