科学材料站
文 章 信 息
第一作者:陈兴
通讯作者:张焕瑞*,崔光磊*
单位:中国科学院青岛生物能源与过程研究所
科学材料站
研 究 背 景
传统锂离子电池通常采用石墨作为负极材料,然而石墨的理论比容量较低,导致电池整体能量密度不足,难以满足当前日益增长的高能量需求。硅(Si)因其超高的理论比容量(4200 mAh g⁻1)被视为极具前景的下一代负极材料,但硅负极在实际应用中存在巨大体积膨胀问题,其充放电过程中的体积变化可高达400%,引发电极结构破坏、界面失效等电化学-力学耦合失效行为,最终导致电池性能快速衰退。氧化亚硅(SiOx,0 < x < 2)作为一种兼顾高比容量和适中体积膨胀(约200%)的新型硅基负极材料,也受到产业界的高度关注。然而,氧化亚硅电极仍然面临着明显的体积变化、界面不稳定及电解质副反应增多等挑战,其规模化应用困难重重。
科学材料站
文 章 简 介
近日,来自中国科学院青岛生物能源与过程研究所的崔光磊、张焕瑞团队,在国际知名期刊Advanced Materials上发表题为“A Bioinspired Piezoelectric Stress Buffer Layer for SiOx‐Based Electrodes Toward High‐Energy Lithium Batteries”的研究文章。该文章提出一种创新性的“仿生压电应力缓冲层”策略,受雨蛙(Breviceps adspersus)表皮启发,设计并构建了兼具优异机械强度和压电特性的压电应力缓冲层(MP应力缓冲层)。该压电应力缓冲层是通过在SiOx负极表面引入压电BaTiO3纳米颗粒和新型PCM聚合物粘结剂制备的,实现了协同的界面稳定机制:PCM聚合物通过强大的氢键作用固定BaTiO3颗粒形成高韧性结构,有效抑制SiOx负极在循环过程中的过度体积膨胀并稳定固体电解质界面(SEI);而BaTiO3纳米颗粒则利用压电效应在循环过程中产生内建极化电场,在半电池中显著提高了SiOx电极的去合金化反应动力学,进而有效改善电池的倍率性能。这种仿生压电应力管理机制可以显著抑制SiOx负极材料体积膨胀对电池循环性能造成的负面影响,从而使高负载量SiOx电极在实用化软包电池中实现了前所未有的稳定循环。值得注意的是,基于SiOx的纽扣电池在0.5 C倍率下经过400次循环后容量保持率高达83.3%,而软包电池(NCM811||SiOx, 360 mAh)在100次循环后容量保持率达到88.0%。本研究为解决高能量密度锂离子电池中电极材料力学-电化学耦合失效问题开辟了新思路,标志着高能量密度SiOx负极基锂离子电池开发的重大突破。
科学材料站
图 文 解 析
图1. a) 普通雨蛙表皮抵抗身体体积膨胀并实现电致Na⁺传输的示意图。b) 表面覆盖MP应力缓冲层的SiOₓ电极与裸SiOₓ电极的工作机制示意图。
图2. a) CM单体和聚合物PCM的合成路线。b) IEMA、HPN、CM和PCM在1900–1000 cm⁻¹波数范围内的局部FT-IR光谱。c) PCM在1900–1300 cm⁻¹波数范围内的温度依赖性FT-IR光谱。d,e) MP应力缓冲层基SiOₓ电极的典型俯视、截面SEM图像及相应元素分布图。
图3. a) 含50 wt.% BTO或ALO的PCM/BTO、PMMA/BTO和PCM/ALO复合薄膜的应力-应变曲线。b) 通过纳米压痕测试获得的具有不同应力缓冲层的SiOₓ电极的压痕深度曲线。c) 通过纳米压痕测试获得的具有不同应力缓冲层的SiOₓ电极的换算模量和硬度。d) 通过AFM测试获得的具有不同应力缓冲层的SiOₓ电极的表面杨氏模量。
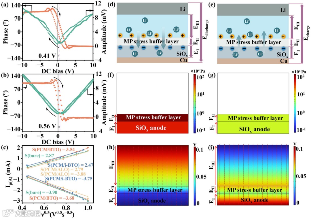
图4. a) 电解液塑化后覆盖MP应力缓冲层的SiOₓ电极表面的PFM振幅环和相位滞后。b) 在0.5 C倍率下循环50次后覆盖MP应力缓冲层的SiOₓ电极表面的PFM振幅环和相位滞后。c) 通过CV曲线对SiOₓ电极半电池中阴极和阳极峰值电流与扫描速率平方根的线性拟合。d,e) MP应力缓冲层内产生的极化电场影响Li⁺传输的示意图。f,g) 半电池放电和充电状态结束时SiOₓ电极和MP应力缓冲层应力分布的有限元模拟。h,i) 半电池放电和充电状态结束时局部电池电位和电场方向分布的有限元模拟。
图5. a) 在0.5 C倍率下(0.005–1.5 V)具有不同应力缓冲层的纽扣型Li//SiOₓ(1.12 mg cm⁻²)半电池的长循环性能和库仑效率。b) 在0.5 C倍率下(0.005–1.5 V)Li//SiOₓ@PCM/BTO半电池在不同循环次数下的典型充放电曲线。c,d) 具有不同应力缓冲层的SiOₓ电极在脱锂和锂化过程中的平均比容量随倍率的变化。e) 具有不同应力缓冲层的Li//SiOₓ半电池在不同循环次数后的Nyquist图。
图6. a–c) 在0.5 C倍率下循环50次后SiOₓ@PCM/BTO、SiOₓ@bare和SiOₓ@PMMA/BTO电极的典型AFM高度映射图。d–i) 在0.5 C倍率下循环50次后SiOₓ@PCM/BTO、SiOₓ@bare和SiOₓ@PMMA/BTO电极的典型俯视和截面SEM图像。j–l) 在0.5 C倍率下循环30次后SiOₓ@PCM/BTO、SiOₓ@bare和SiOₓ@PMMA/BTO的典型TEM及元素分布图。
图7. a–c) 在0.5 C倍率下循环30次后SiOₓ@PCM/BTO和SiOₓ@bare表面PO₂⁻、PO₃⁻、C₂H⁻二次离子碎片的TOF-SIMS三维渲染模型和深度剖面。d,e) 在0.5 C倍率下循环30次后SiOₓ@PCM/BTO和SiOₓ@bare的P 2p分支XPS谱。f,g) 在0.5 C倍率下循环30次后SiOₓ@PCM/BTO和SiOₓ@bare的C 1s XPS谱。h,i) 通过有限元方法获得的SiOₓ@PCM/BTO和SiOₓ@bare在100%锂化状态下的Von Mises应力分布。
图8. a) 在0.5 C倍率下(2.7–4.2 V)NCM811//SiOₓ@PCM/BTO软包全电池的循环性能。b) 在0.5 C倍率下(2.7–4.2 V)NCM811//SiOₓ@PCM/BTO软包全电池在不同循环次数下的典型充放电曲线。a) 插图为装配MP应力缓冲层的电池。c) 在0.15 C倍率下(2.5–4.2 V)NCM9055//SiC650软包全电池的循环性能。d) 在0.15 C倍率下(2.5–4.2 V)装配MP应力缓冲层的NCM9055//SiC650软包全电池在不同循环次数下的典型充放电曲线。c) 插图为装配MP应力缓冲层的软包电池。e,f) 在0.5 C倍率下循环100次后SiOₓ@PCM/BTO和SiOₓ@bare的典型俯视图。g,h) 在0.5 C倍率下循环100次后SiOₓ@PCM/BTO和SiOₓ@bare的典型截面SEM图像。i,j) 在0.5 C倍率下循环50次后SiC650@PCM/BTO和SiC650@bare的典型俯视图。k,l) 在0.5 C倍率下循环50次后SiC650@PCM/BTO和SiC650@bare的典型截面SEM图像。
总之,受普通雨蛙表皮的体积膨胀抑制和电致Na⁺传输功能启发,该研究开发了一种机械强度高且具有压电特性的电极表面应力缓冲层,以解决SiOₓ基电极面临的问题。研究表明,MP应力缓冲层凭借其优异的机械性能,能显著抑制SiOₓ电极在循环过程中的过度体积膨胀,同时保持其结构完整性和界面稳定性。此外,该工作揭示了MP应力缓冲层在半电池中可形成方向恒定的应力诱导内建电场(从阳极指向阴极)。通过应力-极化-Li⁺迁移耦合机制,MP应力缓冲层改善了半电池中SiOₓ电极的脱锂反应动力学,并略微延缓了锂化速率,从而整体提升了SiOₓ电极的倍率性能。得益于压电功能和优异的机械性能,MP应力缓冲层使SiOₓ基电极实现了高倍率性能和优异的循环性能。值得注意的是,NCM811//SiOₓ软包全电池(360 mAh)在0.5 C倍率下循环100次后容量保持率达88.0%,而NCM9055//SiC650软包全电池(2.6 Ah)在0.15 C倍率下循环130次后容量保持率为82.0%。该研究为开发高能量锂离子电池的SiOₓ基负极奠定了重要里程碑。特别值得注意的是,该工作挑战了传统观点——即应力缓冲层的本征阻抗必然损害电池倍率性能,并为面向大体积变化电极(如Si、硫、锂金属电极)的先进应力缓冲层设计提供了新思路。
科学材料站
文 章 链 接
A Bioinspired Piezoelectric Stress Buffer Layer for SiOx-Based Electrodes Toward High-Energy Lithium Batteries
https://advanced.onlinelibrary.wiley.com/doi/10.1002/adma.202504360
科学材料站
通 讯 作 者 简 介
崔光磊,研究员,博士生导师,国家新能源汽车专项高比能固态锂电池技术项目首席科学家,国家深海和极地关键技术与装备专项超高比能固态锂电池项目首席科学家、中科院战略性先导性科技专项A类项目深海智能技术副总师、国家“万人计划”,科技部中青年科技创新领军人才,国家杰出青年科学基金获得者,国务院特殊津贴专家。曾获得中科院“百人计划”终期评估“优秀”、山东省技术发明一等奖、山东省自然科学一等奖、青岛市自然科学一等奖、青岛市科技进步(颠覆性技术探索类)一等奖等奖项。
2005年于中国科学院化学所获得有机化学博士学位,2005年9月至2009年先后在德国马普协会高分子所和固态所从事博士后研究。2009年2月以中科院百人计划研究员到中科院青岛生物能源与过程所工作,现任深海电源系统山东省工程研究中心主任,先进储能技术研究室主任,青岛储能产业技术研究院执行院长、中科丰元高性能锂电池材料研究院执行院长,国际聚合物电解质委员会理事、中国造船工程学会第一届深海装备技术学术委员会委员、国际储能与创新联盟理事、中国硅酸盐学会固态离子学分会理事、中国化学会电化学专业委员会委员、中国化学会有机固体专业委员会委员、中国化学会能源化学专业委员会委员、Macromolecular Chemistry and Physics国际咨询委员会委员、Battery Energy期刊副主编等。近几年主要从事高比能固态电池关键材料和系统研发、深海特种电源开发应用及固态光电转换器件的研究工作。先后在能源材料、化学、器件等方面的国际权威杂志Nat. Energy、Nat. Commun.、Angew. Chem. Int. Ed.、Adv. Mater.、J. Am. Chem. Soc.等发表文章400多篇,他引30000多次。2022年、2023年被评为科睿唯安“全球高被引科学家”(交叉领域)。
张焕瑞,副研究员。2015年博士毕业于大连理工大学,研究方向为有机不对称催化及新颖氮杂环构筑;2015 -2017年在中国科学院青岛生物能源与过程研究所进行博士后研究,方向为有机半导体材料设计与合成;2017至今在中国科学院青岛生物能源与过程研究所固态能源系统技术中心工作。目前的研究方向为高性能锂/钠电池聚合物电解质和电极粘结剂的设计、制备与性能研究。承担了国家自然科学基金面上(2项)和青年基金、省级人才计划项目、企业横向等项目多项,在J. Am. Chem. Soc.、Nat. Commun.、Adv. Mater.、Adv. Energy Mater.、ACS Energy Lett.等一区期刊发表论文30余篇,申请PCT国际和国家发明专利20余项,获得国家发明专利授权13项,其中8项专利实现转化。
添加官方微信 进群交流
SCI二氧化碳互助群
SCI催化材料交流群
SCI钠离子电池交流群
SCI离子交换膜经验交流群
SCI燃料电池交流群
SCI超级电容器交流群
SCI水系锌电池交流群
SCI水电解互助群
SCI气体扩散层经验交流群
备注【姓名-机构-研究方向】
投稿请联系contact@scimaterials.cn
点分享
点赞支持
点在看


