科学材料站
文 章 信 息
水系电解质中的氢键工程:低温电池应用策略
第一作者:杨树华
通讯作者:杨树华,杜逸群
单位:济南大学
科学材料站
综 述 提 要
锌基与锂基电池体系因其卓越的能量密度与体积比,已被广泛应用于现代电子设备和汽车领域。然而,采用水系电解质的这些储能系统在零下环境下面临着严峻的运行限制:电解质结晶会导致离子电导率急剧恶化,最终引发系统功能失效。当前研究在从氢键网络破坏角度阐释低温性能衰减的机制分析方面存在明显不足。本文系统论述了水介质中氢键动力学与相变行为的基本关联,及其对离子传输机制产生的后续影响。这些建立的构效关系为通过针对性调控氢键相互作用的分子工程,开发新型低温水系电解质提供了重要理论依据。
其成果以题“Hydrogen bond engineering in aqueous electrolytes: Strategies for cryogenic battery applications”在国际知名期刊Energy Storage Materials上发表。
科学材料站
综 述 内 容
1. 引言
水系电池因其安全性高、成本低廉、环境友好及离子电导率优异等特点,正日益受到消费电子和电网储能领域的广泛关注。这些特性使水系电池特别适用于需要不可燃电解质和可持续运行的应用场景。其高离子电导率(>10 mS cm⁻¹)与低环境影响的优势,恰好契合当前对高性能与绿色储能日益增长的需求。
水性电池在低温环境下的实际应用主要受限于电解质结晶现象,这一问题的本质源于水分子固有的氢键形成倾向。氧原子与氢原子间显著的电负性差异促使相邻水分子形成定向氢键,构建出稳定的四面体配位水分子簇及扩展型分子间网络。这些动态持续的氢键结构通过增强晶格稳定能、降低构型熵,从热力学上促进冰核形成,从而导致水的相变温度超过实际应用阈值。要实现极地勘探、航空航天、冬季电网等严苛环境下的低温储能应用,降低水系电解质冰点的核心策略在于打破氢键网络连续性。
当前研究重点在于通过减少有序分子排列来抑制氢键网络连续性,从而在抗冻性与离子迁移率之间取得平衡——这对实现可行的低温电池性能至关重要。该方法致力于解决关键科学问题:如何在维持零下条件电化学稳定性的同时,实现水分子氢键热力学与电解质功能的解耦。
现有文献较少系统总结电解质状态与氢键网络本质关联的问题。本文分别从有机添加剂、无机添加剂和聚合物电解质三个维度,阐释电解质凝固与氢键网络形成的内在联系,系统梳理降低电解质冰点的调控策略,最终对低温电解质未来发展面临的挑战与前景提出展望。
2. 氢键与电解质凝固的关联机制
图1. 冰与氢键:(A) 冰的四面体结构,(B) 冰的相图,(C) 六方冰的三视图。
3. 无机组分添加剂
图2. 高浓度电解质:(A) 稀释电解质与盐包水溶液中Li⁺初级溶剂化鞘演化示意图。(B) 水与电解质结构演变示意图及低相变温度溶液的设计原理。原始水分子通过氢键连接的网络在0°C时易转化为冰晶结构;添加ZnCl₂后,离子与水分子间的强相互作用破坏氢键网络,同时增强离子间相互作用。通过平衡氢键与离子相互作用以调控相变温度,临界浓度ZnCl₂电解质可在极低温环境下运行。(C) 不同浓度ZnCl₂电解质在25°C与-70°C下的光学照片。在-70°C时,低/高浓度ZnCl₂电解质均呈固态,而中等浓度(7.5-10 m)电解质仍保持液态。(D) 不同浓度ZnCl₂电解质的O-H伸缩振动谱图。(E) 拟合后的O-H伸缩振动峰分别代表具有强氢键、弱氢键及无氢键作用的水分子。(F) 强氢键水与无氢键水占比统计。(G) 纯水与30 m ZnCl₂电解质的分子动力学模拟瞬态图,其中红线表示氢键。
图3. 低共熔溶剂:(A) Zn²⁺溶剂化构型,(B) Mg²⁺溶剂化构型,(C) 不同电解质的红外测温图像,(D) 凝固温度与Mg(ClO₄)₂浓度间的V型关系(0m指代1m Zn(ClO₄)₂溶液),(E) 不同溶液的¹H NMR谱图,(F) 不同溶液的凝固点,(G) H₂O-CaCl₂体系相图,(H) H₂O-MgCl₂体系相图,(I) H₂O-NaCl体系相图。
4. 有机组分添加剂
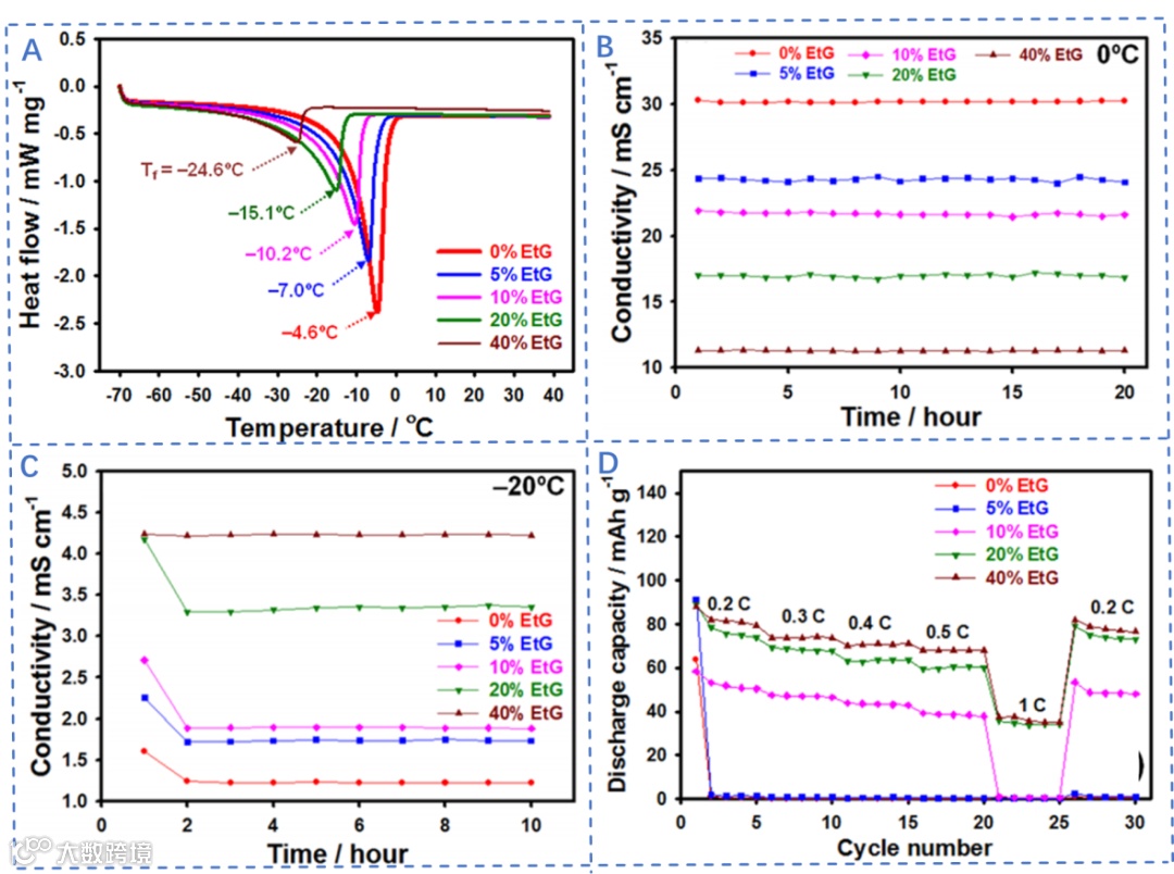
图4. 凝固点与电化学性能测试:(A) 含不同比例防冻添加剂(乙二醇二甲醚,重量百分比:0、5、10、20、40)的水系电解质溶液差示扫描量热分析;(B) 含不同比例防冻添加剂(乙二醇二甲醚,重量百分比:0、5、10、20、40)的1mol/L Li₂SO₄水系电解质溶液与1mol/L LiPF₆ EC/DEC(1:1,体积比)有机电解质在0°C环境下的离子电导率随时间变化曲线;(C) 相同电解质体系在-20°C环境下的离子电导率时效特性;(D) -20°C低温环境下,磷酸铁锂材料在含不同比例防冻添加剂(乙二醇二甲醚,重量百分比:0、5、10、20、40)的水系电解质中,于-0.2~0.8V电位区间在不同充放电电流密度下的倍率性能。
图5. 含有机添加剂的低共熔溶剂电解质:(A) 基于"强键取代弱键"指导思想的氢键演化示意图;(B) 基础电解质(左)与低共熔溶剂(右)中的溶剂化结构;(C) 不同电解质的离子电导率测试结果;(D) 2℃条件下电解质的¹H NMR谱图;(E) -30℃条件下电解质的¹H NMR谱图。
图6. 环丁砜作用机理与傅里叶变换红外光谱:(A) 水分子与环丁砜相互作用示意图;(B) 3.6 mol/L LiTFSI/环丁砜-水(x:8) (x=0,1,2,4,8) 电解质在伸缩振动区的归一化FTIR光谱;(C) 3.6 mol/L LiTFSI/环丁砜-水(x:8) (x=0,1,2,4,8) 电解质在弯曲振动区的归一化FTIR光谱。
图7. 电解质的电化学测试:(A) 二甲基亚砜体积分数为0.3时电解质溶剂的差示扫描量热数据;(B) 温度对离子电导率的影响研究。
5. 聚合物电解质
图8. 聚合物电解质:(A) 基于LiCl的水合弹性体示意图,(B) 不同浓度LiCl溶液的凝固点,(C) 纯水与不同浓度LiCl溶液在低温环境中静置12小时后的状态对比,(D) 对照组与含10%~30% LiCl水凝胶在低温环境中静置12小时后的状态对比,(E) 对照组与30% LiCl水凝胶在零下温度处理特定时间后的扭曲形变对比,(F) SP-DN-PAA水凝胶的合成过程,(G) 不同样品的DSC测试结果:6mol/L KOH电解质、6mol/L KOH-SN-PAA水凝胶和6mol/L KOH-SP-DN-PAA(SP-DN指超分子聚合物双网络)水合弹性体,(H) 水合弹性体制备流程示意图,(I) AHE在-15℃冷冻7天后仍保持柔韧性的展示。
科学材料站
总 结 与 展 望
低温水系电池已成为先进储能领域的关键研究方向,由于其低温应用潜力而持续受到科学界的重点关注。越来越多的证据表明,电解质凝固现象本质上受氢键网络动力学调控,特别是四面体水分子配位与氢键交换动力学之间的相互作用。在电解质工程策略中,通过竞争性溶剂化、离子水合效应或纳米限域等手段针对性破坏水相氢键结构,已被证实对抑制冰核形成具有关键作用。这种向氢键网络调控的范式转变,实现了在维持0℃以下离子迁移率的同时精确控制相行为,解决了低温环境下平衡介电稳定性与电荷传输的核心难题。
为降低电解质冰点,需阻止水分子氢键网络的形成。图9A展示了添加不同组分时电解质中存在的氢键类型,图9B则对不同调控策略的效果进行了简要对比。图中等级评价表示同一类别中不同策略的综合评估效果,需注意不同等级间存在显著的性能重叠。常用方法归纳如下:
图9. 分类简图:(A) 不同组分及其氢键类型,(B) 不同改性方法的效果对比。
(1)添加无机组分:向电解质中加入无机盐,其金属离子与极性水分子产生强静电相互作用。盐离子可为溶液提供氢键供体与受体,并与水分子形成氢键,有效破坏水分子间氢键网络的形成。通过调节盐浓度可获得最低冰点。当单一盐类无法满足要求时,可利用两种无机盐的共晶效应实现低冰点与高离子电导率的平衡。因此相图可作为无机盐添加含量与比例的指导依据,研究深度共晶效应是实现更低冰点的前瞻方向。
(2)添加有机组分:加入多元醇、亚砜、酰胺、腈类、酮类等有机物,利用其官能团(醇类的羟基、亚砜的硫氧双键、腈类的氰基等)吸引水分子,实现氢键网络的破坏。依托其与水易互溶的特性,通过调节有机物添加量,可实现低冰点与离子电导率的平衡。
(3)聚合物电解质:聚合物的网络结构具有一定强度,且聚合物主链或侧链具有独特官能团。利用这些官能团对水分子的吸引作用,可将水分子固定在聚合物网络上,使水分子难以相互接触,从而阻止氢键形成,达到破坏氢键网络降低冰点的目的。聚合物电解质中还可添加无机盐和有机物形成三元氢键网络,这有利于最低冰点的探索。
无论是添加无机盐、醇类、酰胺类还是聚合物,其本质都是利用其离子或官能团与水分子间的吸引作用形成氢键,占据氧原子可能形成氢键的位点,从而减少水分子间氢键,使规则氢键网络难以形成。但任何方法均非完美:过量添加无机盐和有机物会导致电解质粘度过高,反而不利于降低冰点;添加过少则效果甚微。鉴于高浓度盐电解质未必能获得最低冰点,二元深共晶体系与三元共晶体系值得进行更深入研究。
目前,拉曼光谱/分子动力学模拟、核磁共振、红外光谱等是研究电解质氢键状态的有效工具。相信在前人大量探索实验基础上,结合先进检测仪器的运用,未来不仅将实现更低的冰点目标,还将在低冰点前提下实现更高电导率、容量、循环次数等性能指标,最终获得综合性能更优异的电池系统。
科学材料站
文 章 链 接
Shuhua Yang, Shang Wang, Yiqun Du, Jinfeng Sun, Degang Zhao, Bingqiang Cao, Hydrogen bond engineering in aqueous electrolytes: Strategies for cryogenic battery applications. Energy Storage Materials, 2025, 82: 104576.
https://doi.org/10.1016/j.ensm.2025.104576
科学材料站
通 讯 作 者 简 介
杨树华,男,济南大学材料科学与工程学院副教授,硕士生导师。2015年毕业于上海交通大学材料科学与工程专业,获博士学位。2020-2021年新加坡南洋理工大学访问学者。目前主要从事功能材料的设计和合成,以及其在超级电容器和电池中的应用。主持国家自然科学基金,山东省自然科学基金,企业项目多项。近年来,在Energy Storage Materials,Advanced Science,Energy & Environmental Materials等期刊上发表50余篇SCI论文,申请发明专利20余项,已授权专利15项。
添加官方微信 进群交流
SCI二氧化碳互助群
SCI催化材料交流群
SCI钠离子电池交流群
SCI离子交换膜经验交流群
SCI燃料电池交流群
SCI超级电容器交流群
SCI水系锌电池交流群
SCI水电解互助群
SCI气体扩散层经验交流群
备注【姓名-机构-研究方向】
投稿请联系contact@scimaterials.cn
点分享
点赞支持
点在看


