科学材料站
文 章 信 息
利用单原子钴配位凝胶催化剂促进Li2S双向转化构筑高倍率锂硫电池
通讯作者:曾广锋
单位:玉林师范学院
科学材料站
研 究 背 景
锂硫电池因其高理论容量和硫元素天然丰度等优势展现出巨大应用潜力。然而,氧化还原动力学迟滞问题,尤其在Li2S2至Li2S转化过程中,严重制约其实际应用。本研究提出一种新型金属配位凝胶策略,制备出用于高效不溶性硫种类转化的Co-SAs/NC(Co-N5-C)单原子催化剂。通过钴-氮配位将金属钴交联至聚丙烯腈基质,构建出具有高钴载量、嵌入层状碳骨架的氮配位钴单原子结构。实验与理论结果表明:Co-N5位点中未填充的3d轨道通过钴-硫键合增强d-p轨道杂化,显著促进Li2S2与Li2S之间的双向转化,采用Co-N5-C修饰隔膜的锂硫电池展现出优异的倍率性能。本研究通过重新定义硫化物转化动力学,为构建稳定高倍率锂硫电池提供了高效的单原子催化解决方案。
科学材料站
文 章 简 介
近日,玉林师范学院的曾广锋副教授,在国际知名期刊Small上发表题为“Promoting Bidirectional Conversion of Li2S with Single-Atom Cobalt Coordinated Gel Catalyst for High-Rate Lithium-Sulfur Batteries”的观点文章。该观点文章提出了一种合成高效锂硫电池钴单原子催化剂的新策略。通过同步辐射,球差电镜技术分析了钴单原子催化剂的原子分散状态及配位环境;并通过理论计算证实Co-N5位点未填充的3d轨道通过Co-S结合增强了d-p杂化,促进了Li2S2和Li2S之间的双向转化。
图1. DFT计算的电子结构分析与轨道相互作用研究。a-c) 聚丙烯隔膜、NC碳材料及Co-N5-C催化剂在Li2S2-Li2S双向转化过程中的作用机理示意图。d) Co-N5-C催化剂中Co 3d轨道与N 2p轨道的投影态密度。e)Li2S2中S 2p能带与Co-N5-C中Co 3d能带的电子结构对比。f) Li2S中S 2p能带与Co-N5-C中Co 3d能带的电子结构对比。g) Li2S和Li2S2在NC碳材料与Co-N5-C催化剂表面吸附构型的俯视与侧视优化示意图。h) Co-N5-C改性隔膜与文献报道的单原子催化剂改性隔膜的倍率性能对比。
科学材料站
本 文 要 点
要点一:电子结构分析与轨道相互作用研究
为阐释催化剂促进Li2S2-Li2S固态转化的本质,我们进行了态密度(pDOS)分析。图1d展示了Co-N5-C的不对称投影态密度,其不对称性源于电子分布不均。不对称的3d轨道诱发自旋极化,为键合多硫化锂(LiPSs)分子提供自旋电子。图1e和1f分别呈现了Li2S2/Li2S的S 2p轨道与Co-N5-C的Co 3d轨道对比。在费米能级(EF)附近,S 2p轨道与Co 3d轨道高度重叠,表明Li2S2和Li2S主要通过d-p杂化机制,将电子从Co的3d轨道填充至S的2p轨道,从而与Co-N5-C原子催化剂相互作用,形成Co-S键,促进不溶性Li2S2-Li2S的转化反应。图1g展示了Li2S2和Li2S在NC碳材料与Co-N5-C表面的优化吸附构型。Li2S和Li2S2倾向于与Co-N5-C中的Co、N位点配位,形成Co-S键和Li-N键;而在NC碳材料表面仅能形成Li-N键。Co-N5-C对Li2S和Li2S2表现出适中的吸附强度,吸附能分别为-2.20 eV和-2.21 eV。因此,基于d-p杂化机制,Co-N5-C能有效加速Li2S2-Li2S的转化。
图2. Co-N5-C催化剂的结构分析。a)Co-N5-C的扫描电子显微镜图像,插图为Co-PAN凝胶的实物照片。b. Co-N5-C的高分辨透射电子显微镜图像。c,d)Co-N5-C的像差校正高角度环形暗场扫描透射电子显微镜图像。e-h)Co-N5-C的HAADF-STEM图像及相应元素分布图。i)Co-N5-C的N 1s X射线光电子能谱。j)Co foil、CoO、Co3O4、CoPc和Co-N5-C在Co K边的X射线吸收近边结构谱。k)Co foil、CoO、Co3O4、CoPc和Co-N5-C的Co K边扩展X射线吸收精细结构谱的傅里叶变换,插图示为Co-N5-C的 结构构型。l)Co-N5-C在R空间的小波变换。
要点二:Co-N5-C催化剂的原子结构特征分析
球差电镜表征证实Co的单原子分散状态(图2c-d),并证明Co、N、和C元素的存在。为深入探究Co-N5-C材料中钴原子的电子结构及配位环境,我们进一步进行了X射线吸收近边结构(XANES)和扩展X射线吸收精细结构(EXAFS)分析。图2j展示了Co-N5-C、钴foil、CoO、CoO₄及CoPc在钴K吸收边的XANES谱线。通过XANES吸收近边可确定Co-N5-C中钴的价态介于0至+2之间。傅里叶变换k³加权EXAFS谱图(图2k)显示,Co-N5-C样品在约1.62 Å处存在主导峰,对应Co-N键。与钴箔对比未见Co-Co散射路径,表明钴原子在氮掺杂碳载体上呈原子级分散。此外,未检测到明显的Co-O键,进一步印证氧信号源于样品表面吸附氧物种。通过EXAFS拟合获得钴原子的定量配位数与构型:Co-N配位数为5.2±0.3,说明氮掺杂碳基质中钴与氮的配位数为5。
图3. Co-N5-C催化剂的电化学性能表征。a) 使用PP隔膜、NC@PP复合隔膜和Co-N5-C@PP复合隔膜的电池循环伏安曲线;b-e) 对应电池体系的塔菲尔曲线及其拟合数值. f,g) 0.25 MLi2S8溶液在NC碳材料与Co-N5-C电极表面在2.08 V的恒电位充电曲线. h,i) 0.25 MLi2S8溶液在NC碳材料与Co-N5-C电极表面在2.35 V的恒电位充电曲线;j-l) 分别为PP隔膜、NC@PP复合隔膜和Co-N5-C@PP复合隔膜电池的GITT曲线。
图4. Co-N5-C催化剂中硫物种转化过程的深入探究。a) 0.01 mol·L-1 Li2S₆溶液的紫外-可见吸收光谱,插图为空白Li2S₆溶液、NC碳材料-Li2S₆和Co-N5-C-Li2S₆体系的可视化吸附实验数码照片。b) Co-N5-C材料在Li2S₆吸附前后的Co 2p XPS谱图。c) Co-N5-C吸附Li2S₆后的S 2p XPS谱图。d) Co-N5-C吸附Li2S₆后的Li 1s XPS谱图。e) Li2S在NC碳材料与Co-N5-C表面的解离能垒。f) 硫物种在NC碳材料与Co-N5-C表面还原过程的吉布斯自由能对比。
要点三:Co-N5-C材料催化性能研究
CV测试, 塔菲尔斜率拟合、Li2S成核和氧化测试以及GITT测试均证明了Co-N5-C能够有效促进Li2S2-Li2S的转化反应(图3)。多硫化锂吸附实验证明Co-N5-C能够有效地吸附多硫化锂。DFT以及XPS表征表明Co-N5-C表面能够与多硫化锂形成较强的Co-S键和Li-N键键来加快Li2S2-Li2S转化(图4)。
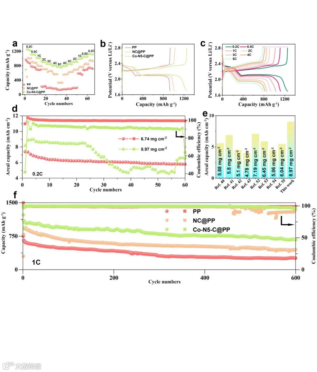
图5. 基于不同隔膜的锂硫电池电化学性能对比。a) 采用PP隔膜、NC@PP复合隔膜和Co-N5-C@PP复合隔膜组装的电池在1.5 mg cm-2硫载量下的倍率性能。b) 三种电池在0.2 C倍率下的充放电曲线。c) Co-N5-C@PP电池在不同倍率下的充放电曲线。d) Co-N5-C@PP电池在6.74与8.97 mg cm-2高硫载量下0.2 C倍率的循环性能。e) Co-N5-C@PP电池的高硫载量循环性能与文献报道的单原子催化剂改性隔膜数据对比。f) 三种电池在1.5 mg cm-2硫载量下1 C倍率的循环性能。
要点四:电化学性能表征
利用Co-N5-C@PP隔膜组装的锂硫电池比PP和NC@PP电池展现出更优异的电化学性能。在5C的电流密度下,放电容量达到780 mAh g-1。并且在8.97 mg cm-2的高硫负载下,面积容量达到了9.0 mAh cm-2(图5)。
科学材料站
文 章 链 接
Promoting Bidirectional Conversion of Li2S with Single-Atom Cobalt Coordinated Gel Catalyst for High-Rate Lithium-Sulfur Batteries
https://doi.org/10.1002/smll.202510220
添加官方微信 进群交流
SCI二氧化碳互助群
SCI催化材料交流群
SCI钠离子电池交流群
SCI离子交换膜经验交流群
SCI燃料电池交流群
SCI超级电容器交流群
SCI水系锌电池交流群
SCI水电解互助群
SCI气体扩散层经验交流群
备注【姓名-机构-研究方向】
投稿请联系contact@scimaterials.cn
点分享
点赞支持
点在看


