科学材料站
研 究 背 景
随着现代社会对高能量密度储能设备需求的日益增长,锂硫(Li-S)电池凭借其超高的理论比容量(1675 mAh·g-1)和比能量(2600 Wh·kg-1),以及硫资源的低成本和环境友好性,被视为最具潜力的下一代二次电池系统之一。然而,锂硫电池的商业化应用仍面临诸多严峻挑战:(1) 硫及其放电产物的电子导电性差,导致活性物质利用率低;(2) 充放电过程中产生的体积膨胀破坏电极结构稳定性;(3) 尤其是中间产物多硫化锂(LiPSs)易溶于电解液并发生“穿梭效应”,导致活性物质不可逆损失、锂负极腐蚀及电池循环寿命衰减。因此,设计兼具高导电性、强吸附能力及高效催化活性的多功能硫宿主材料,是解决上述问题的关键。
科学材料站
文 章 简 介
近日,来自山东大学的冯金奎教授团队在国际知名期刊Nano Letters上发表了题为“Rational Design of Ultrafine Co, Fe, Ni, and Cu on Fluorine-Free Nitrogen-Doped MXene via a Molten Salt Etching Strategy for the Adsorption–Barrier–Catalyst Functions of Polysulfides toward High-Energy Lithium–Sulfur Batteries”的研究文章。该研究提出了一种通用的、绿色的无氟熔盐蚀刻策略,成功制备了原位负载过渡金属纳米颗粒(Co, Fe, Ni, Cu)的氮掺杂Ti3C2TxMXene。与传统的含氟蚀刻方法不同,该策略利用熔盐中的金属阳离子作为路易斯酸蚀刻MAX相中的A层原子,不仅避免了危险氟化物的使用,还实现了MXene的剥离、氮掺杂及金属纳米颗粒的原位锚定。实验结果表明,该材料能有效阻挡多硫化物的扩散,并通过氮活性位点与金属纳米颗粒的协同作用,显著加速多硫化物的转化动力学,从而提升锂硫电池优异的倍率性能和循环稳定性。
科学材料站
本 文 要 点
要点一:绿色无氟熔盐蚀刻策略与结构设计。
本研究摒弃了传统危险的HF酸或含氟盐刻蚀方法,开发了一种通用的路易斯酸熔盐刻蚀技术。在高温熔盐环境中,利用Co2+、Fe2+、Ni2+、Cu2+等金属离子作为路易斯酸,选择性地刻蚀掉Ti3AlC2 MAX相中的Al层。该过程巧妙地利用熔盐中的其它组分作为氮源,在形成层状MXene结构的同时,实现了氮原子掺杂以及金属纳米颗粒(Co, Fe, Ni, Cu)在MXene表面的原位生长。这种合成策略不仅环境友好,而且制备出的Co/N-MX保持了良好的层状导电网络,还提供了丰富的空间和活性位点。
要点二:“吸附-屏障-催化”协同机制增强电化学性能
该复合材料设计了独特的“吸附-屏障-催化”多功能体系来应对锂硫电池的挑战:
1.物理屏障:MXene的二维层状结构作为物理屏障,作为物理屏障有效阻挡多硫化锂的扩散;
2.化学吸附:N掺杂位点与金属纳米颗粒共同提供了丰富的化学吸附位点,强力锚定多硫化物;
3.催化转化:金属纳米颗粒(如Co纳米颗粒)充当活性中心,降低了液相LiPSs向固相Li2S转化的能垒,并促进了固相Li2S的分解。
电化学测试表明,基于Co/N-MX的隔膜材料在倍率性能和长循环稳定性方面表现尤为突出,证明了该设计策略在提升锂硫电池性能方面的有效性。
图1. Co/N-MX复合材料的合成示意图与材料的形貌与微观结构表征
图2. 晶体结构与成分分析
图 3. 催化剂对多硫化物的吸附能力与液-固转化动力学评估
图 4. 锂硫电池的原位电化学阻抗行为与反应扩散动力学分析
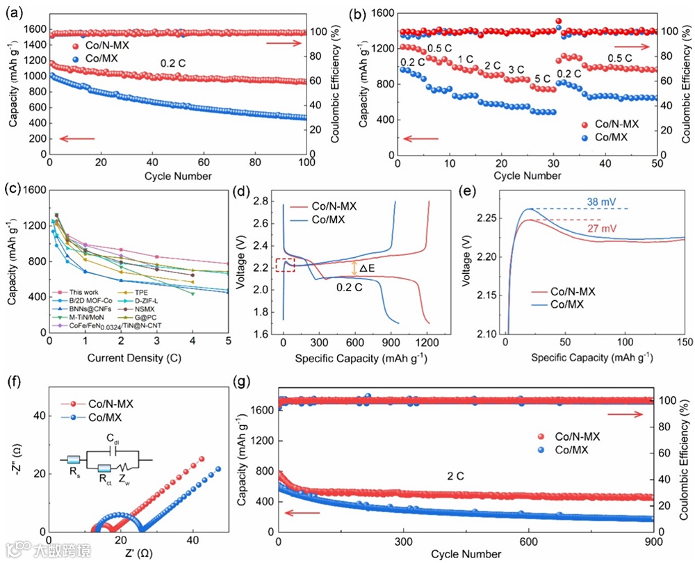
图5.锂硫电池电化学性能测试
科学材料站
文 章 链 接
Rational Design of Ultrafine Co, Fe, Ni, and Cu on Fluorine-Free Nitrogen-Doped MXene via a Molten Salt Etching Strategy for the Adsorption–Barrier–Catalyst Functions of Polysulfides toward High-Energy Lithium–Sulfur Batteries
https://doi.org/10.1021/acs.nanolett.5c04418
科学材料站
通 讯 作 者 简 介
冯金奎教授简介:山东大学材料科学与工程学院教授,博士生导师,入选国家级青年人才,山东省杰青,泰山学者青年专家,山东大学材料物理化学研究所副所长。1999-2008本硕博毕业于武汉大学化学与分子科学学院,2008-2012在新加坡国立大学和美国宾夕法尼亚州立大学从事博士后研究工作,2012年至今在山东大学材料科学与工程学院工作。主要研究从事高能量二次电池材料研究。共发表SCI 论文200余篇,他引9000余次。担任Nature子刊Scientific Reports编委。Nature Publication Group 旗下刊物Scientific Reports 编委、高起点期刊ChemPhysMate编委、Energy& Environmental Materials、Susmat、Rare Metals、Infomat、Tungsten、工程科学学报青年编委,长期招聘博士后。
添加官方微信 进群交流
SCI二氧化碳互助群
SCI催化材料交流群
SCI钠离子电池交流群
SCI离子交换膜经验交流群
SCI燃料电池交流群
SCI超级电容器交流群
SCI水系锌电池交流群
SCI水电解互助群
SCI气体扩散层经验交流群
备注【姓名-机构-研究方向】
投稿请联系contact@scimaterials.cn
点分享
点赞支持
点在看


