科学材料站
文 章 信 息
通过空心结构正极的固有电毛细效应缓解扩散限制的浓度极化
第一作者:刘新
通讯作者:朱运培*,Peter R. Makgwane*,梁汉锋*
单位:阿卜杜拉国王科技大学,南非大学,厦门大学
科学材料站
研 究 背 景
水系锌电池凭借安全性高、成本低廉、环境友好等核心优势,成为电网级大规模储能领域的潜力候选技术。然而,其发展长期受困于电荷载体(H+和 Zn2+)固态扩散动力学迟缓、电极-电解质界面浓差极化严重等问题,导致电池容量衰减快、倍率性能不佳,极大限制了商业化应用进程。受到电毛细管效应促进电解质润湿的启发,采用中空结构有望提升正极的扩散动力学,进而缓解浓差极化,实现高容量和高倍率性能的电池。
科学材料站
文 章 简 介
近日,厦门大学梁汉锋副教授团队联合沙特国王科技大学朱云培博士、南非大学 Peter R. Makgwane 教授,在国际知名期刊 Nano Letters 上发表题为“Mitigating Diffusion-Limited Concentration Polarization via Intrinsic Electrocapillary Effects in Engineered Hollow Cathodes”的研究论文。该工作创新性地将电毛细效应引入正极设计,通过构建海胆状空心纳米管 MnO2(H-MnO2)正极极形成纳米毛细管网络,主动调控界面传质过程,破解了水系锌离子电池的浓差极化难题。
图 1 (a) SEM, (b) XRD, (c) N2 吸脱附曲线 (插图: 孔径分布曲线). (d) 微分电容曲线. (e) OCV曲线和 (f) Arrhenius曲线图.
图2 (a) 电毛细管现象示意图. (b) COMSOL Multiphysics模拟的Zn2+浓度梯度分布.
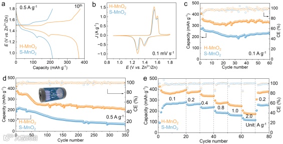
图 3 (a) 0.5 A g-1下的GCD曲线. (b) 0.1 mV s-1下的CV曲线. (c) 0.1A g-1电池循环性能. (d) 0.5 A g-1下的长循环性能. (e)倍率性能.
图 4 (a) GITT曲线和扩散系数分布. (b) 双电层电容评估. (c) Nyquist图. (d) ω-1/2~Z‘线性关系图. (e)v1/2~Jpeak线性关系图.
科学材料站
本 文 要 点
要点一:创新结构设计,构筑纳米毛细管网络
设计合成了海胆状空心纳米管 MnO2(H-MnO2)阴极材料,与传统实心纳米棒 MnO2(S-MnO2)形成对照。H-MnO2具有超大比表面积(81.95 m2 g⁻¹)和丰富孔容(0.3023 cm3 g⁻1),其空心纳米管结构不仅缩短了离子扩散路径,更构建了高效的纳米毛细管网络,为电毛细效应的发挥提供了结构基础,从设计源头突破传统材料的传质局限。
要点二:电毛细效应赋能,主动调控界面传质
首次将电毛细效应应用于水系锌离子电池正极设计,通过工作电压动态降低电解液接触角,显著提升界面润湿性。结合毛细管作用,加速电解液渗透至活性材料核心,实现反应界面的快速离子补充,有效抑制浓差极化。实验证实,H-MnO2的离子吸附能垒(48.6 kJ mol⁻1)显著低于 S-MnO2(59.0 kJ mol⁻1),Zn2+扩散系数提升 1-2 个数量级,从根本上强化了反应动力学。
要点三:多维传质强化,显著提升电化学性能
基于 H- MnO2正极的锌离子电池展现出卓越的综合电化学性能:在 0.1 A g⁻1 电流密度下,可逆容量高达 407 mAh g⁻1,远超 S- MnO2的 271 mAh g⁻1;在 2.0 A g⁻1高倍率条件下,仍保持 180 mAh g⁻1的优异容量;在 0.5 A g⁻1 循环 350 圈后,容量稳定在 200 mAh g⁻1以上,库仑效率接近 100%,且具有出色的可逆性,高倍率循环后容量可快速恢复。
要点四:前瞻
本研究确立了电毛细效应调控作为电化学储能的全新设计原则,实现了从被动结构修饰到主动界面管理的范式转变。未来研究可进一步拓展该策略至其他电极材料体系,结合原位表征技术(如原位红外、冷冻电镜)深入探究界面动态演化机制,同时优化材料规模化制备工艺。此外,温度、电解液组成等因素对电毛细效应的影响仍需系统研究,有望为下一代高功率、长寿命储能器件的开发提供更全面的理论支撑与技术指导。
科学材料站
文 章 链 接
Mitigating Diffusion-Limited Concentration Polarization via Intrinsic Electrocapillary Effects in Engineered Hollow Cathodes
https://pubs.acs.org/doi/10.1021/acs.nanolett.5c05008
科学材料站
通 讯 作 者 简 介
朱运培:沙特阿卜杜拉国王科技大学研究科学家,国际先进材料学会会士,Frontiers in Nanotechnology副主编。研究领域包括新型能源材料开发、安全高效和低成本储能器件、以及开发具有高化学分辨率和高时空分辨率先进原位表征技术。目前,已在Sci. Adv., Adv. Mater., Angew. Chem., J. Am. Chem. Soc., Energy Environ. Sci., Nano Lett., Adv. Energy Mater.等学术期刊发表论文60余篇,引用9300余次,H因子47。
梁汉锋:厦门大学化学化工学院副教授,博士生导师,国际先进材料协会会士,厦门大学表界面化学全国重点实验室固定研究人员。长期从事能源化工材料及表面功能涂层的开发和应用,已发表论文120余篇,引用18000余次,h因子59,入选科睿唯安-全球高被引科学家、全球前2%顶尖科学家-终身科学影响力排行榜。担任 International Journal of Hydrogen Energy 编辑、国际先进材料协会中国理事会委员等学术职务,曾获 IAAM 科学家奖章、厦门大学“田昭武学科交叉奖”一等奖等。
科学材料站
课 题 组 介 绍
厦门大学材料电化学与表面工程(MESE)实验室研究领域涵盖纳米材料、功能涂层和电化学。我们专注于纳米材料和涂层的大规模合成和加工的新方法开发,探索结构-性能之间的关系,以及将这些具备特定结构的功能材料应用于新能源器件、医疗植入产品、光学器件及半导体芯片等领域。
课题组网站:https://meselab.webflow.io
添加官方微信 进群交流
SCI二氧化碳互助群
SCI催化材料交流群
SCI钠离子电池交流群
SCI离子交换膜经验交流群
SCI燃料电池交流群
SCI超级电容器交流群
SCI水系锌电池交流群
SCI水电解互助群
SCI气体扩散层经验交流群
备注【姓名-机构-研究方向】
投稿请联系contact@scimaterials.cn
点分享
点赞支持
点在看


