科学材料站
文 章 信 息
大湾区大学(筹)物质科学学院于华教授课题组与西南石油大学李振宇教授合作,在基于正式铯/甲脒/甲胺(CsFAMA)的钙钛矿太阳能电池方面取得新进展。相关成果以“Electron-Deficient Defects Repair and Residual PbI2 Management toward Air-Processed High-Performance Perovskite Solar Cells”为题发表在《Advanced Functional Materials》上。
解决钙钛矿太阳能电池(PSC)中大量未配位的Sn4+/Pb2+缺陷和残留的PbI2问题是实现高性能正型(n-i-p)PSC在环境空气中制备并推动其商业化的关键。在此,引入了一种介于SnO2和钙钛矿之间的化学桥接剂,即1-乙基-3-甲基咪唑甲磺酸盐(EMIMS)。EMIMS中的富氧官能团不仅减少了SnO2层表面的羟基(-OH)缺陷,还螯合了钙钛矿薄膜上的未配位Pb2+。这些欠电子缺陷的减少最大限度地减少了载流子非辐射复合的损失,并加快了埋藏界面处的电子提取/转移。值得注意的是,经EMIMS改性的全空气制备的n-i-p PSC实现了25.20%的高效率,未封装的器件在高温或高湿环境中2000小时后仍能保持初始效率的90%以上。本研究为富氧官能团在环境空气中制备高质量PSC中的应用提供了有效的策略。
核心方法是采用具有多配体的富氧磺酸基团的EMIMS界面层,用于钙钛矿/ETL界面。EMIMS修饰层不仅改善了基底SnO2的均一性,还提高了钙钛矿的成膜质量从而减少了残余PbI2。(Figure 1)
图1. 未经EMIMS修饰/经EMIMS修饰的钙钛矿的形貌和晶体学研究。
作用机制研究结果显示,磺酸基团能够明显的改善欠电子的Sn4+和Pb2+缺陷,从而降低器件埋底界面处的缺陷辅助非辐射复合,增强器件性能。(Figure 2)
图 2. 研究EMIMS与SnO2以及FA基钙钛矿薄膜之间的相互作用机制。
载流子动力学研究表明,EMIMS修饰后的界面非辐射复合显著降低,器件的电荷提取和转移能力显著增强。(Figure 3)
图 3. 研究钙钛矿薄膜及器件的载流子动力学。
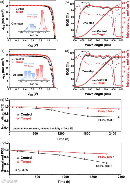
器件采用FAMACs-基(ITO/SnO2/EMIMS/perovskite/t-BBAI/spiro-OMeTAD/Ag)和FA-基(ITO/SnO2/EMIMS/perovskite/spiro-OMeTAD/Ag)的正型结构。以FAMACs-基钙钛矿为基础制备的EMIMS修饰的最优器件实现了25.20%的PCE,其中短路电流密度(JSC)为25.29 mA cm−2,开路电压(VOC)为1.19 V,填充因子(FF)为84.10%。相较于对照组器件的PCE 24.31% (JSC为25.08 mA cm−2,VOC为1.17 V,FF为83.13%),EMIMS提升了器件的JSC和VOC。稳定性结果显示,EMIMS优化后的器件展现出更加稳固的埋底界面结构,热稳、湿稳和光稳都得到了明显提升。(Figure 4和Figure S29支撑信息)
图 4. 光伏性能与长期稳定性。
支撑信息图 29. 界面光(1-sun)热(65 ºC)老化前后的EDS图像。
添加官方微信 进群交流
SCI二氧化碳互助群
SCI催化材料交流群
SCI钠离子电池交流群
SCI离子交换膜经验交流群
SCI燃料电池交流群
SCI超级电容器交流群
SCI水系锌电池交流群
SCI水电解互助群
SCI气体扩散层经验交流群
备注【姓名-机构-研究方向】
投稿请联系contact@scimaterials.cn
点分享
点赞支持
点在看


