科学材料站
文 章 信 息
氧掺杂工程化单原子铜位点界面水调控增强稀硝酸盐电还原
第一作者:郭江怡
通讯作者:于丰收*,张鲁华*,韩阿丽*
单位:河北工业大学,中国科学院金属研究所
科学材料站
研 究 背 景
电化学硝酸还原(NO3RR)提供了一种消除污染物和生产氨(NH3)的双重功能解决方案。为了提高NO3RR在低浓度下的效率,通过催化剂的结构工程来调节含N中间体和*H的吸附行为受到了广泛的关注。以单原子催化剂(SACs)为例,金属单原子的电子态可以通过多种策略进行调控。但是,这些调控只关注固体-电解质界面的固体面,而溶液面包括界面水和阳离子的组成同样重要,它们决定了*H供应和NO3的吸附动力学。然而,SACs的结构工程如何控制NO3RR的界面溶液侧组成仍未探索,这对于构建高效的催化体系至关重要。
科学材料站
文 章 简 介
近日,来自河北工业大学的于丰收教授,张鲁华教授与中国科学院金属研究所的韩阿丽研究员合作,在国际知名期刊Angew. Chem. Int. Ed.上发表题为“Oxygen-Incorporation-Engineered Interfacial Water Modulation on Single-Atom Cu Sites for Enhanced Dilute Nitrate Electroreduction”的文章。该文章设计了一系列具有不对称Cu-N3O1和含氧官能团的Cu-NCOx SACs,用于稀NO3RR。Cu-O配位的引入导致Cu缺乏电子,有利于NO3的吸附。而亲核含氧官能团使Na+-H2O靠近电极,保证了*H的供应。Cu-N3O1和含氧官能团的协同作用共同导致NO3RR性能优于Cu-N4催化剂。
科学材料站
本 文 要 点
要点一:合成一系列氧含量各异的Cu-NCOx催化剂
首先采用改进的分子融合法,在温和水热条件下合成了水溶性胺基功能化石墨烯量子点(GQDs-NH₂)与羟基功能化石墨烯量子点(GQDs-OH)。随后,Cu阳离子通过与胺基之间的强螯合作用被限制在石墨烯量子点表面。接着在富氨气氛下进行热解处理。通过在第一步向胺基功能化石墨烯量子点溶液中添加不同量的羟基功能化石墨烯量子点,最终得到一系列氧含量各异的Cu-NCOₓ催化剂。
要点二: 确定Cu-NCOx催化剂催化剂结构
通过XPS表征发现,随合成时GQDs-OH与GQDs-NH2质量比增加,Cu-NCOₓ系列催化剂氧含量逐步提升,且O=C-O和C=O等亲核含氧官能团含量显著增加。同时, Cu原子向O/N原子发生电子转移,使单原子Cu位点呈缺电子特性。XAFS表征进一步证实,Cu-NC 中Cu 为Cu-N4配位,而 Cu-NC-OM中 Cu 形成不对称 Cu-N3O1配位(价态更高、缺电子性更显著),且无 Cu-Cu 键信号,表明Cu原子级分散。综上,成功构建了兼具不对称 Cu-N3O1活性位点与丰富亲核含氧官能团的Cu-NCOx催化剂。
要点三: Cu-NCOx催化剂表现出优秀的电催化NO3RR性能
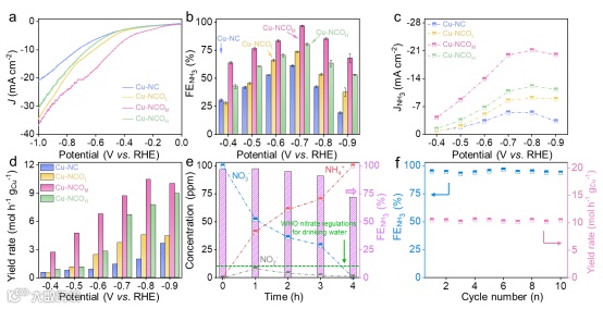
在含100 ppm NO3⁻-N的0.5 M Na2SO4和0.1 M PBS 电解液的三电极体系中测试 Cu-NCOₓ的NO3RR活性:LSV 显示Cu-NCOM在含硝酸盐体系中电流密度显著更高。Cu-NCOM在-0.7 V时FENH3达 96.7%(分电流密度为-19.9 mA・cm-2),-0.8 V 时 NH3产率为 0.5 mol・h-1・gCu-1是Cu-NC的5.3倍,该催化剂可在 3.7 小时内将 100 ppm NO3⁻-N降至饮用水标准以下(<10 ppm),4 小时完全转化。催化剂经10次循环仍稳定,电解后结构无明显变化。
要点四: 捕获NO3RR中间体
通过 DEMS 和原位 FTIR 探究NO3RR机理:DEMS 检测到 NH2OH、NH2等中间体信号且Cu-NCOM的信号更强;FTIR 显示 Cu-NCOx系列对NO3的吸附活化能力优于Cu-NC,且NO2、NH2OH、NH3相关特征峰更强,证实其NO3→*NO2→*NH2OH→NH3转化能力更优。定量分析表明 Cu-NCOM的中间体特征峰面积最优,氧物种引入可通过增强 Cu 位点缺电子性促进反应。但 Cu-NCOH因氧含量过高导致 HER 增强,NH3选择性下降,说明 NO3RR机理不能仅用固体催化剂电子态调控解释,还需关注界面水分解过程。
要点五:催化剂表面含氧官能团含量对Na+-H2O及NO3RR性能的影响
在pH 7~14的电解液环境中,催化剂表面界面水为*NOx氢化提供质子,原位拉曼分析 3000-3650 cm-1区域发现,Na+-H2O占比及斯塔克调谐速率随催化剂含氧物种含量递增(Cu-NCOH > Cu-NCOM > Cu-NCOL > Cu-NC),且 O=C-O与C=O总含量与 Na⁺-H₂O占比呈良好线性关系。但 Cu-NCOH因 Na+-H2O占比过高导致HER 强化,NO3RR性能下降。四种催化剂的 Na+-H2O含量与NH3法拉第效率呈火山型关联。
要点六: 分子动力学模拟含氧官能团对电极界面 Na+-H2O迁移的影响
为阐明含氧官能团对电极界面 Na⁺-H2O迁移的影响,通过 AIMD 模拟分析 Cu-N4、Cu-N3O1、Cu-N3O1-k(含 C=O)、Cu-N3O1-l(含 O=C-O)四种模型,发现 Na+与催化剂表面平均间距逐步减小,带负电的 C=O与O=C-O 可促进 Na+富集;界面水密度按 Cu-N3O1-l > Cu-N3O1-k > Cu-N3O1> Cu-N4递增,源于官能团对 Na⁺-H2O的静电吸附作用。
要点七: DFT 揭示 Cu-NCOx催化 NO3RR强化机理:Cu-O 配位电子调控与 Na+-H2O界面优化协同作用
DFT 计算揭示 Cu-NCOₓ的NO3RR 强化机理:1)Cu-O 配位使 Cu-N3O1中 Cu 呈缺电子态,d带中心上移,促进 NO3⁻吸附活化;2)界面Na+通过稳定含氧化合物中间体,降低反应能垒,且富电子含氧官能团吸附的Na+-H2O提供充足*H,使NO加氢能垒大幅下降;3)催化活性提升源于界面环境优化,而非催化剂本身,最终通过官能团静电富集 Na+-H2O推动反应高效进行。
图1. Cu-NCOx合成示意图。
图2. (a-b)Cu–NCOM 的 EDS 元素分布图;(c)Cu–NCOM 的 AC HAADF-STEM 图像;(d)所有样品的 XPS 全谱;(e)O 1s 的高分辨 XPS 光谱;(f)根据 O 1s XPS 光谱得到的不同含氧官能团含量;(g)Cu-NCOM、Cu-NC、Cu foil、Cu2O、CuO 和 CuPc 的 Cu K 边 XANES 光谱;(h)Cu-NCOM、Cu-NC、Cu foil、Cu2O、CuO 和 CuPc的 k3 加权 Cu K 边 EXAFS(FT)光谱;(i)Cu-NCOM 与 Cu-NC 在 Cu K 边的 R 空间 EXAFS 拟合结果。插图为 Cu-N3O1和 Cu-N4位点的结构模型(Cu:橙;N:紫;O:红;C:灰)。
图3.(a)所有样品在含100 ppm NO3⁻-N的0.5 M Na2SO4和0.1 M PBS 电解液中的线性扫描伏安法(LSV);(b)NH3法拉第效率(FENH3);(c)NH3分电流密度;(d)NH3生成速率;(e)Cu-NCOM 在−0.7 V下NO3⁻、NO2⁻ 和 NH4⁺ 浓度随时间变化及 FENH3;(f)Cu-NCOM 在−0.7 V下的循环稳定性测试。
图4. (a-b)Cu-NCOM和 Cu-NC上NO3RR的原位DEMS 检测图;(c)Cu-NC、Cu-NCOL、Cu-NCOM和Cu-NCOH在−0.7 V下的电化学原位FTIR光谱;(d)不同电位下*NO3的积分峰面积;(e)不同电位下 *NH2OH 的积分峰面积(正值表示消耗;负值表示积累);(f)原位拉曼光谱高斯拟合得到的界面水三种O-H 伸缩振动模式;(g)原位拉曼光谱中 Na+-H2O随电位变化的频率图;(h)不同电位下所有样品的Na+-H2O比值;(i)−0.7 V 下Na+-H2O比值与对应Cu-NCOx中 O=C-O 与 C=O 总含量的线性关系;(j)−0.7 V 下四种样品的 FENH3与 Na+-H2O比值的火山型关系。
图5. 采用 AIMD 方法在 12 ps 时刻得到的各类离子吸附于以下模型表面的快照:(a)Cu-N4;(b)Cu-N3O1;(c)Cu-N3O1-k;(d)Cu-N3O1-l(Cu:橙;N:紫;O:红;H:白;C:灰;Na:蓝)。(e)吸附 Na⁺ 与表面的距离;(f)Cu 单原子催化剂模型在 1-6 Å 范围内的模拟界面水密度分布。
图6. (a)Cu-N3O1、Cu-N4、Cu-N3O1-*NO3和 Cu-N4-*NO3模型的差分电荷密度(EDD);(b)Cu-N3O1与Cu-N4模型的投影态密度(PDOS);(c)Cu-N3O1与Cu-N4模型上 * + NO3- → *NO3的吉布斯自由能;(d)在“Na+ at interface”与“Na+ in bulk”两种模型下 NO3RR 的吉布斯自由能图;(e)NO3RR 在 Cu-NCOx模型上的反应机理;(f)水合 Na+提升Cu-NCOx表面NO3RR 的示意图。
科学材料站
文 章 链 接
Oxygen-Incorporation-Engineered Interfacial Water Modulation on Single-Atom Cu Sites for Enhanced Dilute Nitrate Electroreduction.
https://doi.org/10.1002/anie.202516401
添加官方微信 进群交流
SCI二氧化碳互助群
SCI催化材料交流群
SCI钠离子电池交流群
SCI离子交换膜经验交流群
SCI燃料电池交流群
SCI超级电容器交流群
SCI水系锌电池交流群
SCI水电解互助群
SCI气体扩散层经验交流群
备注【姓名-机构-研究方向】
投稿请联系contact@scimaterials.cn
点分享
点赞支持
点在看


