科学材料站
文 章 信 息
Regulation of hydrothermal reaction kinetics with sodium sulfide for certified 10.7% efficiency Sb₂(S,Se)₃ solar cells
第一作者:钱晨
通讯作者:钱晨,黄嘉亮,陈涛,郝晓静
单位:澳大利亚新南威尔士大学(UNSW),中国科学技术大学,深空探测实验室
科学材料站
研 究 背 景
硫硒化锑Sb2(S,Se)3作为一种二元准一维结构的无机薄膜光伏材料,因其高吸收系数、可调带隙以及原料储量丰富等优势,近年来受到广泛关注。其在可见光与近红外波段具有超过 105 cm-1 的高吸收系数,这一特性使其在仅数百纳米厚的情况下,仍可实现有效光吸收。此外,其 1.1–1.7 eV 的可调带隙,使 Sb2(S,Se)3成为硅基叠层电池潜在的理想顶电池候选。
在众多制备方法中,水热沉积因其工艺温度低、可溶液处理、薄膜结晶质量高等优势,成为当前实现高效率 Sb2(S,Se)3太阳能电池的核心技术路线。目前已报道的 10% 以上效率器件几乎均基于水热法实现,充分体现了该方法的潜力。然而,水热反应通常在密闭反应釜中于高温高压条件下进行,反应过程难以原位监测,其具体反应路径和动力学机制长期缺乏清晰认识。这一认知缺失直接导致薄膜生长过程难以精确调控,常伴随着沿厚度方向的硒/硫成分梯度、不利的价带顶分布以及较高浓度的深能级缺陷,从而限制了器件效率的进一步提升。因此,从化学反应本质出发,系统揭示水热沉积过程中的反应机制,并在此基础上实现反应动力学的可控调节,是推动 Sb2(S,Se)3光伏器件性能突破的关键科学问题。
科学材料站
文 章 简 介
近日,来自澳大利亚新南威尔士大学与中国科学技术大学的研究团队,在 Nature Energy 上发表题为“Regulation of hydrothermal reaction kinetics with sodium sulfide for certified 10.7% efficiency Sb2(S,Se)3 solar cells”的研究论文。该工作系统揭示了Sb2(S,Se)3水热沉积过程中的反应路径和中间体形成机制,并首次提出通过在前驱体溶液中引入硫化钠(Na2S),实现对反应动力学的有效调控。这一策略成功解决了传统水热体系中硒释放过快、不利成分梯度以及深能级缺陷密集等问题,使器件获得了11.02% 的最高效率(认证效率 10.7±0.37%),刷新了该体系的效率纪录。
科学材料站
本 文 要 点
要点一:揭示水热体系中 Sb–S / Sb–Se 的竞争反应路径
在传统 Sb2(S,Se)3水热沉积体系中,硫源(S2O32-)与硒源(硒脲,SU)在高温高压条件下并非独立参与反应,而是首先发生复杂的前驱体转化。研究发现,SU 会在 S2O32- 的参与下生成 SeSO32- 中间体,该中间体中的 Se–S 键相较于 S2O32-中的 S–S 键更容易断裂,从而在反应初期更有利于 Sb–Se 键的形成。这一过程导致硒在沉积早期被快速消耗,而随着硒脲的迅速耗尽,后期沉积过程逐渐转向以 Sb2S3 的形成为主。最终,这种时间依赖性的反应动力学在薄膜厚度方向引入了显著的 Se/S 成分梯度。该成分不均匀性不仅影响薄膜的微观结构,还为后续器件中的能带畸变和缺陷形成埋下隐患,是限制水热法Sb2(S,Se)3器件性能提升的关键因素之一。
要点二: Na2S 调控反应动力学,实现硒/硫均匀引入
针对上述反应失衡问题,作者在前驱体溶液中引入了少量硫化钠(Na2S),并发现其在水热体系中起到了多重调控作用。Na2S 在溶液中可发生可逆水解从而有效提高并缓冲体系 pH,避免反应过程中溶液逐渐酸化。pH 的稳定显著减缓了硒脲的分解速率,抑制了反应初期 Se 的过快释放,使SeSO32- 的生成与消耗更加平衡。进而使 Sb2S3与 Sb2Se3 的生成过程在整个沉积过程中更加协同。得益于这一动力学调控机制,Sb2(S,Se)3薄膜在整个厚度方向实现了稳定且均匀的硒/硫分布。沉积速率更加平缓,显著减少了传统水热体系中常见的内部空洞和结构不连续问题。
图1. 水热反应原理。a, 在 STS 与 SU 水热反应后,对反应溶液进行真空干燥所得残留物的拉曼光谱。位于 343、447 和 458 cm⁻¹ 的特征峰分别对应于SeSO32- 的 Se–S 伸缩振动、S2O32- 的 S–S 伸缩振动 以及 SO42- 的v₂ 模式(对称弯曲振动)。插图:样品外观。b, 两步水热反应后所得沉淀物的 X 射线衍射(XRD)图谱。反应悬浊液经离心收集沉淀,并进行后续退火处理。衍射峰可分别索引为Sb2S3(PDF#42-1393) 和 Sb2Se3(PDF#15-0861)。c, d, 控制条件(CT,c)和引入 Na2S 的 SS 条件(d)下水热合成主要反应路径的示意图。蓝色、橙色和粉紫色箭头分别表示三条随时间演化的主要反应路径,即 路径 i:Sb2S3的生成、路径 ii:Sb2Se3的生成 以及 副产物生成路径。箭头宽度表示反应速率。中间体、产物和副产物分别以 绿色、浅蓝色和红色方框 标示。插图为对应的反应速率与 pH 随时间变化曲线,显示 SS 条件下的反应速率明显比 CT 条件更为平稳。
要点三:成分均匀性改善带来能带结构与载流子输运的协同优化
Sb2(S,Se)3的价带顶主要由 S 3p 和 Se 4p 轨道贡献,因此硫/硒比例沿厚度方向的变化会直接导致价带能级的空间起伏。传统水热薄膜中,由于 Se 在早期富集、后期不足,形成了沿厚度方向逐渐下降的不利价带顶(VBM)梯度。在superstrate结构器件中,空穴需要穿过整个吸收层才能被空穴传输层收集,该 VBM 梯度会在体内形成额外的能垒,严重阻碍空穴输运并加剧体相复合。通过 Na2S调控反应动力学后,Sb2(S,Se)3薄膜中硒/硫分布趋于均匀,VBM 梯度被有效“拉平”。阴极发光(CL)表征结果显示,不同深度处的发光峰位保持高度一致,同时整体发光强度明显增强,表明非辐射复合显著降低。能带结构的均匀化与体相复合的抑制协同作用,为高效载流子输运提供了关键物理基础。
图2. 元素分布。a、b, CT 样品(a)和 SS 样品(b)的横截面 TEM 图像及对应的 EDS 元素分布图。c、d, 沿 a、b 图中黄色箭头方向得到的 CT 样品(c)和 SS 样品(d)的原子百分比随深度变化的分布曲线。横截面样品通过聚焦离子束(FIB)制备,监测的元素包括 O、S、Se、Cd、Sn 和 Sb。
图3. 横截面阴极发光(CL)光谱及能带边分布。 a–c, CT 样品横截面的扫描电子显微镜(SEM)图像(a)、阴极发光(CL)分布图(b)以及沿起始点方向(由橙色箭头标示)的 CL 光谱(c)。d–f, SS 样品横截面的扫描电子显微镜(SEM)图像(d)、阴极发光(CL)分布图(e)以及沿起始点方向(由橙色箭头标示)的 CL 光谱(f)。其中,a 和 d 中橙色箭头的起点定义为 Origin(起始点)。超薄横截面样品均通过聚焦离子束(FIB)制备。在 b 和 e 中,图像亮度对应于选定带通波长窗口内的 CL 强度。不同深度处获得的光谱线型叠加于同一图中,以直观展示峰位随深度变化的行为,详见补充图 7 和 8。c 和 f 中出现的高能峰源自 CdS 层。g, 由 c 和 f 中 CL 光谱提取的峰位能量。h, CT 与 SS 样品在沉积早期阶段的 CL 光谱对比。i、j, CT(i)和 SS(j)器件的能带边分布示意图。沉积早期的 Sb2(S,Se)3薄膜通过将水热反应时间缩短至 20 min 制备,最终厚度约为 20 nm。Sb₂(S,Se)₃ 的能带位置通过紫外光电子能谱(UPS)和 UV–vis 吸收光谱测定(详见补充图 10),其余功能层的能带位置引自参考文献 29。蓝色带“+”号的圆点表示体内自由空穴,其需沿箭头方向传输并最终被 Spiro-OMeTAD 收集。ΔE 表示在 CT 条件下由于价带顶(VBM)梯度引入的空穴传输能垒,该能垒在 SS 条件下消失。a.u. 表示任意单位。
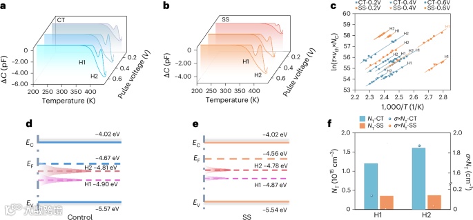
要点四:深能级缺陷的抑制与器件性能的全面提升
进一步的 O-DLTS 表征表明,传统水热体系中 Sb2(S,Se)3薄膜普遍存在较高浓度的深能级缺陷,主要包括硫空位(V_S)和 Sb_S 反位缺陷。这类缺陷能级较深,难以电离,是强烈的 Shockley–Read–Hall 复合中心,会显著缩短载流子寿命。Na2S 的引入在降低反应速率的同时,使前驱体原子有更充分的时间占据热力学上更稳定的晶格位点,从而显著抑制了深能级缺陷的形成。此外,溶液中直接参与反应的 S2- 也有助于局部化学计量比的恢复,减少未饱和键的生成。实验结果显示,调控后薄膜中深能级缺陷的俘获截面与缺陷密度乘积降低近两个数量级,使得载流子浓度明显提高,串联电阻降低,器件的短路电流密度和填充因子均获得显著提升。最终,该策略帮助器件实现了 11.02% 的最高效率,并获得了 10.7 ± 0.37% 的权威认证效率。
图4. 缺陷表征。a、b, 在脉冲电压为 0.2 V、0.4 V 和 0.6 V 条件下,CT 样品(a)和 SS 样品(b)的 O-DLTS 信号。两个负峰(H1 和 H2)对应于 Sb₂(S,Se)₃ 中的空穴陷阱(施主型缺陷)。c, 由 O-DLTS 信号得到的 Arrhenius 作图,其中 vth 表示热速度。c 图中的数据点通过对 O-DLTS 信号中包含的内部瞬态过程进行离散拉普拉斯变换计算获得,实线为对数据点的线性拟合结果。d、e, 在脉冲电压为 0.2 V 条件下,CT 和 SS 样品的能带结构及缺陷能级示意图。其中 Ec、Ev 和 EF分别表示导带底(CBM)、价带顶(VBM)和费米能级。各能级均以对应的电子伏特(eV)数值标注。锥形阴影区域表示缺陷的俘获截面大小(开口宽度)及缺陷密度(延伸程度)。f, 在脉冲电压为 0.2 V 条件下,H1 和 H2 缺陷对应的缺陷密度 NT及 (σ × NT) 的数值。为清晰展示相差一个至两个数量级的数据,右侧纵坐标轴采用了断轴处理。
图5. 载流子浓度与光电性能。a, 由 C–V 测量得到的 Mott–Schottky 曲线,用于表征 Sb2(S,Se)3体相中的有效载流子浓度,其在纵轴上以 NCV表示。横轴中的 Wd表示在所施加偏压下的耗尽区宽度。b、c, CT 和 SS 器件的 J–V 曲线(b)及外量子效率(EQE)曲线(c)。d–g, CT(n = 9)和 SS(n = 22)器件的开路电压(Voc)、短路电流密度(Jsc)、填充因子(FF)以及光电转换效率(PCE)的统计分布。d–g 中箱线图的最小值、最大值、中位值、箱体边界、须线范围及分位数定义一致,具体说明见 g 图中的图例。
科学材料站
总 结 与 展 望
本研究从水热沉积过程中硫、硒前驱体的反应行为出发,系统揭示了Sb2(S,Se)3薄膜生长过程中关键中间体的形成机制及其对成分分布、能带结构和缺陷特性的深远影响。在此基础上,作者提出并验证了一种通过引入硫化钠调控反应动力学的有效策略,实现了对硒释放速率和硒/硫竞争反应的精确平衡。该方法不仅显著改善了薄膜沿厚度方向的成分均匀性,消除了不利的价带顶梯度,同时有效抑制了硫空位和反位缺陷等深能级缺陷的形成,从而在材料质量和器件性能两个层面实现协同优化,最终推动 Sb2(S,Se)3太阳能电池效率达到 11.02%,并获得 10.7% 的权威认证效率。
更为重要的是,该工作并未停留在单一效率提升层面,而是通过对水热反应机理的系统解析,为理解和优化密闭溶液体系中的薄膜生长过程提供了可借鉴的范式。所提出的“动力学调控” 思路具有较强的普适性,有望推广至其他多阴离子化合物或复杂溶液法半导体体系中。未来,结合原位或准原位表征手段进一步揭示反应中间体的动态演化过程,并将该动力学调控策略与界面工程、器件结构设计相结合,有望持续推动Sb2(S,Se)3及相关新型薄膜光伏材料在高效率、低成本和规模化应用方向上的发展。
科学材料站
文 章 链 接
Regulation of hydrothermal reaction kinetics with sodium sulfide for certified 10.7% efficiency Sb2(S,Se)3 solar cells
https://doi.org/10.1038/s41560-025-01952-0
科学材料站
通 讯 作 者 简 介
郝晓静教授现任澳大利亚新南威尔士大学光伏与可持续能源学院卓越教授,光伏新材料与叠层电池研究组组长。主要研究领域包括高效薄膜电池(硫族化合物、钙钛矿),叠层太阳能电池,以及应用硫族化合物生产清洁燃料。其团队在新兴薄膜太阳能电池方面已取得了多项效率记录。在国际权威刊物Nature Energy,Nature Photonics等期刊发表论文220余篇,凭借在新一代薄膜光伏领域的长期突出贡献,郝晓静教授在2020年获得总理科学奖(2020 Prime Minister's Prizes for Science)、2021年获得澳大利亚科学院帕西奖(2021 Australian Academy of Science Pawsey Medal),2022年当选澳大利亚技术科学与工程院院士,2025年当选澳大利亚科学院院士并入选桂冠学者计划。
陈涛教授现任中国科学技术大学材料科学与工程系教授,博士生导师。近十年来从事太阳能电池材料及器件方面的研究工作,包括材料制备方法、半导体缺陷研究、高效率器件制备等,研究成果在Nature Energy, Nature Commun., Adv. Mater., JoS等期刊发表论文110余篇,H-因子45,受邀撰写太阳能电池领域著作两章节。发展了水热沉积法制备硒硫化锑薄膜并将其应用到太阳能电池中,实现了该类太阳能电池光电转换效率10%的突破。发表学术论文100余篇,部分成果在Nature Energy, Nature Communincations, Energy and Environmental Science, Journal of the American Chemical Society, Science Bulletin,Science China Materials等期刊发表或接收,受邀撰写太阳能电池专业著作两章节,担任Journal of Semiconductors编委。近五年来主持国家重点研发计划课题、国家自然科学基金委重点支持项目等。
钱晨博士现为澳大利亚新南威尔士大学(University of New South Wales, UNSW)光伏与可再生能源工程学院博士后,长期致力于新型薄膜光伏材料及器件的研究,研究方向主要集中在锑基硫族化合物太阳能电池的材料生长机理、反应动力学调控、界面工程及器件性能优化等方面。钱晨博士在水热法薄膜沉积、材料缺陷调控,多维度表征及半透化应用等方面开展了系统而深入的研究,在 Nature Energy, Advanced Materials等国际高水平期刊发表研究成果。其工作在理解溶液法薄膜生长机制及推动 Sb2(S,Se)3 太阳能电池效率提升方面具有重要学术价值。
黄嘉亮博士现为澳大利亚新南威尔士大学(University of New South Wales, UNSW)光伏与可再生能源工程学院高级讲师及高级研究员,在薄膜太阳能电池领域拥有超过 15 年的研究经验。其研究专长涵盖多种新兴光伏材料体系,包括多晶硅(poly-Si)、黄铜矿结构材料(kesterite)、硫硒族化合物以及钙钛矿太阳能电池。黄博士当前的研究兴趣主要集中在:高效率新型薄膜太阳能电池中的缺陷工程与能量损失机制解析;基于电子显微技术的多尺度、多模态关联表征方法;以及高性能薄膜光伏技术的开发与应用。
科学材料站
课 题 组 招 聘
新南威尔士大学郝晓静院士课题组正在招收博士研究生,可协助申请奖学金,标准约AUD37,000/year(免税,随年份略有浮动)。郝晓静教授现任澳大利亚新南威尔士大学光伏与可持续能源学院卓越教授,光伏新材料与叠层电池研究组组长。主要研究领域包括高效薄膜电池(硫族化合物、钙钛矿),叠层太阳能电池,以及应用硫族化合物生产清洁燃料。其团队在新兴薄膜太阳能电池方面已取得了多项效率世界记录。在国际权威刊物Nature Energy,Nature Photonics等期刊发表论文220余篇。
研究方向:高效Sb2(S,Se)3太阳能电池及该材料其他相关应用
要求:
-
有光伏材料或相关领域背景 -
以第一作者或重要贡献作者发表过sci论文 -
英语达到雅思四个6水平(如学术水平优异可议)
入学时间:2026-27年入学(可根据申请人和奖学金进度灵活安排)
申请方式:有意者请将简历+代表性成果发送至:c.qian@unsw.edu.au
添加官方微信 进群交流
SCI二氧化碳互助群
SCI催化材料交流群
SCI钠离子电池交流群
SCI离子交换膜经验交流群
SCI燃料电池交流群
SCI超级电容器交流群
SCI水系锌电池交流群
SCI水电解互助群
SCI气体扩散层经验交流群
备注【姓名-机构-研究方向】
投稿请联系contact@scimaterials.cn
点分享
点赞支持
点在看


