科学材料站
文 章 信 息
硒键合铋基氧化物赋予高比能、高倍率水系钠离子电池
第一作者:翟艺
通讯作者:李秋龙*,冯永宝*
单位:南京工业大学
科学材料站
研 究 背 景
水系钠离子电池(ASIBs)因其在安全性、环境友好性和低成本方面的显著优势,在大规模储能领域展现出巨大的应用潜力。然而,其实际应用受限于较差的能量密度,这主要归因于负极材料容量较低。氧化铋(Bi2O3)负极材料具有较高的理论储钠容量,但其导电性和结构稳定性较差。针对上述问题,本文通过一种简便的溶剂热-硒键合合成策略,成功在碳布(CC)上直接生长了新型二维层状Bi2O2Se纳米片阵列,并将其用作自支撑Bi2O2Se NSs/CC负极。研究表明,硒键合不仅提高了材料的导电性,还增强了其对Na⁺的捕获能力,并降低了Na+的迁移能垒。得益于这种“结构-化学”协同调控作用,所制备的Bi2O2Se NSs/CC电极展现了超高的容量和优异的倍率性能。当其与InHCF/CC正极匹配组装成全电池后,该ASIBs实现了高能量密度和功率密度,并表现出卓越的循环稳定性。此项工作为开发高性能ASIBs负极材料提供了有价值的理论指导。
科学材料站
文 章 简 介
近日,来自南京工业大学的冯永宝/李秋龙团队在期刊《Materials Today Physics》上发表题为“Selenium bonded bismuth-based oxides enables high-energy and high-rate aqueous sodium-ion batteries”的研究论文。该研究通过一种简便的溶剂热-硒键合合成策略,成功在碳布上直接生长了新型二维层状Bi2O2Se纳米片阵列,并将其用作水系钠离子电池的自支撑负极。研究发现,硒键合不仅提高了材料的导电性,还增强了其对Na+的捕获能力并降低了Na+的迁移能垒。得益于这种“结构-化学”协同调控作用,所制备的负极材料展现了超高的容量和优异的倍率性能,组装后的全电池实现了高能量密度和功率密度,并表现出卓越的循环稳定性。该工作为开发高性能水系钠离子电池关键负极材料提供了新的思路和理论指导。
图1 (a)Bi2O2Se NSs/CC制备过程示意图。(b)Bi2O2Se NSs/CC的SEM图像。Bi2O2Se NSs/CC的TEM图像(c)、HRTEM图像(d)以及EDS面图像(e-h)。
图2 Bi2O3 NSs和Bi2O2Se NSs的(a)XRD图谱,(b)XPS全谱图,高分辨率XPS光谱(c)Bi 4f,(d)Se 3d,(e)O 1s,以及(f)拉曼光谱。
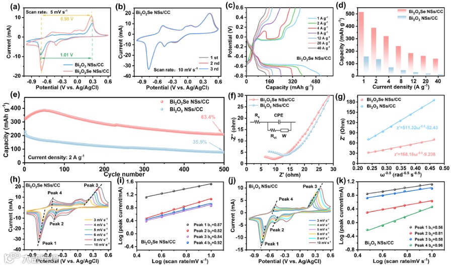
图3 (a)Bi2O3 NSs/CC和Bi2O2Se NSs/CC在5 mV s-1下的CV曲线。Bi2O2Se NSs/CC电极在10 mV s-1下的前三条CV曲线(b)及不同电流密度下的GCD曲线(c)。(d) 倍率性能,(e)在2 A g-1下的循环性能,(f)EIS图谱,(g)Bi2O3 NSs/CC和Bi2O2Se NSs/CC电极在低频区的Z’与ω-0.5关系图。(h)Bi2O2Se NSs/CC在不同扫描速率下的CV曲线,及(i)log(i)与log(v)的关系图。(j)Bi2O3 NSs/CC在不同扫描速率下的CV曲线,及(k)log(i)与log(v)的关系图。
图4 (a)前两次循环的GCD曲线,(b, c)非原位XRD图谱,(d)(101)晶面的放大视图,(e)(103)和(110)晶面的放大视图。Bi2O2Se NSs/CC电极的非原位XPS光谱(f)Bi 4f,(g)O 1s,(h)Se 3d,(i)Na 1s。
图5 Bi2O3(a)和Bi2O2Se(b)的态密度(DOS)。(c)Na+嵌入后的体积变化率。(d)Bi2O3和Bi2O2Se表面对Na+的吸附能计算值及相应的构型模型。Bi2O3(e)和Bi2O2Se(f)的差分电荷密度分布。Bi2O3(g)和Bi2O2Se(h)的Bader电荷分布。(i)Bi2O2Se与Bi2O3的Na⁺迁移能垒对比。
图6 (a)Bi2O2Se NSs/CC和InHCF/CC电极在5 mV s-1下的CV曲线。(b)不同扫描速率下的CV曲线,(c)EIS谱图,(d)倍率性能及对应的GCD曲线(e),(f)Ragone图,(g)在2 A g-1下的循环性能,以及(h)水系钠离子电池(ASIBs)点亮器件的光学照片。
科学材料站
本 文 要 点
要点一:Bi2O3负极材料的关键挑战
水系钠离子电池(ASIBs)因其高安全性和低成本在大规模储能领域前景广阔,但其发展受限于负极材料较低的容量。Bi2O3虽具有高达669.8 mAh g-1的理论储钠容量,但在实际应用中面临两大核心瓶颈:其一,循环过程中体积膨胀严重,易引发结构坍塌和活性物质脱落,阻塞Na+扩散通道;其二,本征电子导电性差,限制了高电流密度下的电荷转移动力学,导致倍率性能和循环稳定性不佳。这些缺陷制约了Bi2O3基负极材料在高性能ASIBs中的应用。
要点二:"结构-化学"协同调控策略的设计与实施
针对上述挑战,本研究提出了一种"结构-化学"协同调控策略,通过简便的溶剂热-硒键合两步法,在碳布(CC)上成功构筑了新型二维层状Bi2O2Se纳米片阵列(Bi2O2Se NSs/CC)自支撑负极。该设计体现了多维度的协同优化:在结构层面,垂直生长的纳米片阵列提供了极高的比表面积,有利于电解液充分渗透;纳米片间的空隙可有效缓冲循环过程中的体积膨胀;自支撑结构免除了粘结剂和导电剂的使用,提高了活性物质利用率。在化学层面,硒元素的引入与Bi2O3发生键合,形成Bi2O2Se新物相,从本质上优化了材料的电子结构和表面化学性质。
要点三:硒键合增强储钠性能的微观机制解析
密度泛函理论(DFT)计算深入揭示了硒键合带来的三重增效机制:首先,态密度分析表明Bi2O2Se的带隙(1.0 eV)较Bi2O3(1.3 eV)更窄,本征导电性显著提升,有利于快速电子传输;其次,吸附能计算显示Bi2O2Se对Na⁺的吸附能(-3.3 eV)强于Bi2O3(-2.3 eV),增强了活性材料对钠离子的捕获能力;第三,Na+迁移能垒从Bi2O3的较高值降至Bi2O2Se的0.3 eV,且Na⁺嵌入后体积变化率仅为3.2%,远低于Bi2O3的5.2%,显著改善了离子扩散动力学和结构稳定性。差分电荷密度分析进一步揭示了Na与Se原子间的强电子相互作用,Bader电荷分析证实了电荷的有效重新分布。这些理论结果共同阐明了硒键合如何从导电性、离子吸附能力和扩散动力学三个维度协同提升储钠性能。
要点四:优异的电化学性能及全电池应用验证
得益于上述协同效应,Bi2O2Se NSs/CC负极展现出卓越的电化学性能:在1 A g-1电流密度下可逆容量高达512.9 mAh g-1,即使在40 A g-1的超高电流密度下仍能保持140.8 mAh g-1,倍率性能优异;在2 A g-1下循环500圈后容量保持率达63.4%,展现出良好的循环稳定性。将Bi2O2Se NSs/CC负极与InHCF/CC正极匹配组装成全电池后,该ASIBs在2 A g-1下循环500圈容量保持率高达96.8%,同时实现了95.11 Wh kg-1的高能量密度和21.37 kW kg-1的高功率密度,其综合性能优于已报道的多数水系电池和超级电容器。更为重要的是,该全电池成功点亮商用LED器件,直观验证了其在实际应用场景中的可行性。这一"结构-化学"协同调控策略为开发高性能ASIBs负极材料提供了新的设计思路和理论指导,对推动安全、大规模储能系统的发展具有重要意义。
科学材料站
文 章 链 接
Selenium bonded bismuth-based oxides enables high-energy and high-rate aqueous sodium-ion batteries
https://doi.org/10.1016/j.mtphys.2026.102066
科学材料站
通 讯 作 者 简 介
李秋龙,博士,教授,2020年10月以海外高层次人才C类计划入职南京工业大学材料科学与工程学院。连续三年入选全球前2%顶尖科学家(World's Top 2% Scientists)年度影响力榜单(2023/2024/2025年)。一直聚焦于新型水系电化学储能系统、锂/钠离子电池、电磁屏蔽与吸波材料前沿方向,在高性能电化学储能材料及高效电磁屏蔽和吸波材料的设计与可控制备等方面取得了系统性成果。以第一/通讯作者(包含共同)在Adv. Funct. Mater., Adv. Sci., Energy Storage Mater. (3篇), Small (5篇), Carbon, J. Colloid Interf. Sci. (3篇), Compos. Part B, Compos. Part A (3篇), Sci. Bull., Nano Res., Mater. Today Phys, Chem. Eng. J. (2篇), Small Methods (2篇), J. Mater. Chem. A (5篇), J. Energy Storage (3篇), Mater. Today Energy (3篇)等国际一流学术期刊上发表论文60余篇,其中5篇入选Web of Science高被引论文,总被引4600余次(H-index为38),授权国家发明专利2项。主持国家自然科学基金、中国博士后基金、江苏省博士后基金、南京工业大学人才科研启动项目、教育部重点实验室开放基金、产学研项目等10余项。以第一完成人荣获2025年度江苏省材料学会科学技术奖(基础研究)二等奖(1/3)。担任Nat. Mater., Adv. Mater., Adv. Funct. Mater., Adv. Energy Mater., ACS Nano, Energy Storage Mater., Compos. Part B, J. Mater. Sci. Technol., Compos. Sci. Technol., Small等50余种国际期刊审稿人。
科学材料站
团 队 招 聘
热忱欢迎来自化学、材料、能源科学、凝聚态物理等领域的博士后、博士生、硕士生和本科生加入我们的研究团队。
联系方式:qlli@njtech.edu.cn(李秋龙老师)
添加官方微信 进群交流
SCI二氧化碳互助群
SCI催化材料交流群
SCI钠离子电池交流群
SCI离子交换膜经验交流群
SCI燃料电池交流群
SCI超级电容器交流群
SCI水系锌电池交流群
SCI水电解互助群
SCI气体扩散层经验交流群
备注【姓名-机构-研究方向】
投稿请联系contact@scimaterials.cn
点分享
点赞支持
点在看


