科学材料站
文 章 信 息
木质素磺酸盐分子锚定聚苯胺用于高性能钠离子电池负极
主要作者:童绎帆
通讯作者:卓浩*,彭新文*,钟林新*
单位:华南理工大学,新加坡国立大学
科学材料站
研 究 背 景
钠元素天然储量丰富、分布广泛且前驱体成本低廉,使钠离子电池在可持续发展与供应链安全层面具备显著优势。在此背景下, 有机电极材料(OEMs)凭借优异的分子可调控性与高理论比容量,在钠离子电池领域愈发受到重视。有机电极材料可依靠官能团的可逆氧化还原反应实现钠离子存储。这种以表面主导的可逆吸脱附机制,能够大幅加快钠离子迁移速率,是实现高倍率性能的核心优势。但目前有机电极材料的实际应用仍受多重固有缺陷制约:合成工艺常涉及有毒溶剂、高能耗、复杂纯化的非绿色流程;其二,有机材料易在电解液中溶解,且充放电循环过程中体积形变显著。因此,开发合成工艺绿色简便、性能优异、耐电解液溶解的新型有机电极材料,是推动钠离子电池技术落地的关键。
科学材料站
文 章 简 介
近日,华南理工大学先进造纸与纸基材料全国重点实验室联合新加坡国立大学机械工程系在国际顶级期刊Green Chemistry (影响因子:9.2) 上发表题为“Lignosulfonate molecular anchoring of polyaniline for high performance sodium-ion battery anodes”的研究工作。本研究提出一种简易绿色的分子锚定策略,构筑聚苯胺/木质素磺酸盐PANI/SL复合负极。其中木质素磺酸盐既可作为生物质基模板,又可充当掺杂剂,构建耐溶解、非共价一体化的导电网络。电化学测试结果表明:该PANI/SL负极展现出优异的循环稳定性,在2.0 A g-1电流密度下循环3800圈后,容量保持率仍可达99.2%。机理研究证实,材料储钠行为来源于C=N、C=O官能团的氧化还原反应,以及π-Na+的相互协同作用。此外,放大制备实验进一步验证了该分子锚定结构的稳定性与实用性。
科学材料站
本 文 要 点
要点一:通过磺酸盐基团与质子化亚胺的静电作用形成结构锚定构建导电复合材料
作者将苯胺(ANI)单体在酸性条件下发生质子化,并与SL的磺酸盐基团(–SO₃⁻)形成静电结合。过硫酸铵(APS)将ANI氧化生成苯胺自由基阳离子。PANI与SL通过PANI中的质子化亚胺位点(–NH+=)与SL的磺酸盐基团(–SO₃⁻)之间的静电作用相互连接,形成结构锚定效应,使复合材料呈现规整的无定形形貌。PANI/SL体系包含两类关键基团:SL中的酚羟基和PANI中的非质子化胺基。在初始充电过程中,这些基团通过电化学氧化转化为C=O和C=N活性位点。这些活性基团与芳香环吸附作用共同构成复合材料的主要储钠位点。
图一:PANI/SL负极材料的结构锚定策略及机理
要点二 PANI/SL复合材料中的多重非共价相互作用
作者采用多种表征方式验证复合材料中的非共价相互作用。拉曼光谱证实PANI亚胺基团的质子化;UV-Vis中,PANI/SL与PANI中醌-苯跃迁相关的630 nm处吸收峰显著减弱,表明SL降低了PANI中极化子跃迁所需的能量;Tauc图显示SL掺杂引起的带隙窄化;EPR为极化子转变提供证据;XPS的N 1s光谱显示PANI/SL中存在–NH+=,S 2p光谱证实–SO3-的存在;几何优化表明质子化亚胺氮与磺酸盐氧之间存在强氢键;RDG分析验证清晰识别出强氢键和π-π堆积区域;电子结构计算显示 PANI/SL的HOMO-LUMO能隙降低。
图二:PANI/SL复合材料中的界面相互作用
要点三 半电池测试PANI/SL负极的高容量快充潜力
半电池电化学性能测试表明,PANI/SL在0.1、0.2、0.5、1.0、2.0和3.0 A g-1下,容量分别达到302.9、244.5、208.0、187.9、165.6和149.5 mAh g-1。0.5 A g-1下PANI/SL循环350圈后仍保持239.8 mAh g-1的容量,PANI/SL的容量保持率达到98.1%。2.0 A g-1 PANI/SL可稳定循环3800圈,最终容量为151.8 mAh g-1,容量保持率高达99.2%。对比已报道有机负极(包括有机-无机复合负极),PANI/SL表现出极具竞争力的循环寿命。通过SEM分析微观结构演变,进一步证实了电极完整性的宏观差异。
图三: PANI/SL的电化学性能及形貌演变
要点四 CV分析阐明PANI/SL反应机理及动力学特性
PANI/SL在0.1 mV s-1扫速下的首圈循环伏安曲线中,氧化峰在首圈与后续循环中重叠性较差,而还原峰重叠度良好,与初始电化学活化过程一致。PANI和PANI/SL电极的主要氧化还原峰对应的b值均接近1.0,表明两者均以表面电容型存储为主。PANI/SL电极可通过扩散控制过程获得额外储钠容量,与官能团氧化还原反应实现协同储钠。
图四: 阐明PANI/SL反应机理及动力学特性的CV分析
要点五 电化学原位表征分析PANI/SL氧化还原型储钠机制
原位拉曼光谱显示放电过程中,C–O、C–N、C–N+・及C=C峰强度增强,充电后减弱。GITT计算钠离子扩散系数表明,PANI/SL在高电压脱钠过程中动力学过程缓慢,源于氧的电负性高于氮,脱钠过程需克服更高能垒。原位EIS显示PANI/SL因形成连续的导电网络,初始阻抗更低,电荷转移动力学更优异。DRT图显示PANI/SL电极在2~3 V范围内,出现另一弛豫峰与木质素中含氧官能团的法拉第氧化还原反应相关,可加速钠离子传输。
图五:PANI/SL电化学过程表征
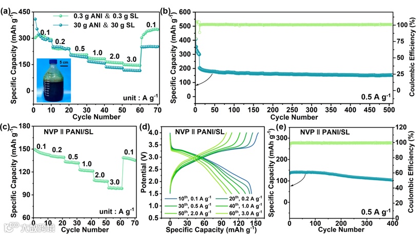
要点六 PANI/SL具有规模化制备潜力
规模化制备的电极与小批量制备的电极相比,初始循环阶段容量衰减略快但后续容量趋于稳定,表明该制备策略具有良好的规模化潜力。。全电池表现出优异倍率性能,在2.0 A g-1下循环400圈后,容量保持率仍达76.8%。
图六:规模化PANI/SL的实用性评估
科学材料站
结 论
本研究通过简便、绿色的分子锚定策略,成功制备出具有优异稳定性的PANI/SL有机复合阳极。利用SL的结构特性,有效抑制了聚苯胺的溶出,构建了稳定的非共价键连接网络,不仅提升了电极的导电性,还显著缓解了体积膨胀。PANI/SL电极的储钠机制源于C=O、C=N官能团的氧化还原反应及芳香环的π-Na+相互作用,其倍率性能、循环稳定性及规模化潜力均表现突出。本研究提出的基于木质素衍生物的分子锚定策略,为有机电极材料的稳定性提升提供了新路径,同时通过高值化利用工业副产物,实现了可持续发展与高性能储能的双赢,为钠离子电池有机电极的设计与应用提供了重要参考。
科学材料站
文 章 链 接
“Lignosulfonate molecular anchoring of polyaniline for high performance sodium-ion battery anodes”
https://doi.org/10.1039/D6GC00469E
添加官方微信 进群交流
SCI二氧化碳互助群
SCI催化材料交流群
SCI钠离子电池交流群
SCI离子交换膜经验交流群
SCI燃料电池交流群
SCI超级电容器交流群
SCI水系锌电池交流群
SCI水电解互助群
SCI气体扩散层经验交流群
备注【姓名-机构-研究方向】
投稿请联系contact@scimaterials.cn
点分享
点赞支持
点在看


