内毒素是革兰氏阴性菌细胞壁外膜中的核心成分,对细菌的生存和适应至关重要。它不仅在细菌的结构稳定性中发挥着关键作用,还通过其与宿主免疫系统的互动,参与多种生物学反应。
本文将深入探讨内毒素的化学组成、功能、毒性及其在医学和药物行业中的重要性。
1
什么是内毒素?
内毒素是革兰氏阴性菌细胞壁外膜的主要组成部分。通常,内毒素一词可与脂多糖(LPS)互用,尽管少数内毒素并非脂多糖。内毒素在细菌中的主要功能是结构性和保护性。
革兰氏阴性菌的特征是具有两层膜:内膜包裹细胞质,而外膜将细菌细胞壁与外界环境隔开。因此,外膜作为细菌抵御环境威胁的第一道防线。在大多数情况下,外膜并非普通的磷脂双层膜,而是由外层的脂多糖和内层的磷脂组成的不对称双层膜(图1)。
图1:革兰氏阴性菌具有内膜和外膜两层。外膜将细菌细胞壁与外界环境隔开,并含有脂多糖(LPS)或内毒素。
2
内毒素的重要性
对人类和动物而言,内毒素属于致热原(发热诱因),即使微量(皮克级)进入血液循环也会引发多种生物反应。仅1毫克内毒素的静脉注射就可能致命。
在医药和医疗行业中,内毒素检测对于产品质量与安全至关重要。注射剂、生物制品(如胰岛素)及医疗植入物必须保持无菌。。然而,如果存在革兰氏阴性菌,灭菌过程中可能释放内毒素。内毒素具有热稳定性,即使细菌死亡后仍能持续存在。无论是沸煮还是高压灭菌均无法使其失活,但有研究表明次氯酸盐和过氧化物可使其失效。
3
内毒素的化学组成
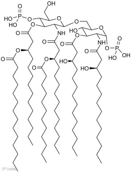
内毒素为两亲性分子,不同菌株的化学组成差异较大。内毒素分子量约为10 kDa,一般由三部分组成:含脂肪酸和二糖磷酸的脂质成分(Lipid A)、O特异性多糖侧链(O-抗原)以及核心多糖链(图2)。
图2:脂多糖(LPS)内毒素的基本结构
Lipid A是内毒素的毒性组分。它是磷酸化的N-乙酰葡糖胺二糖,包含疏水部分(脂肪酸的脂链),可将内毒素锚定在细菌膜中,其余部分突出于细胞表面(图1)。尽管结构高度保守,但可根据环境变化进行修饰。
图3:大肠杆菌内毒素Lipid A的化学结构。核心多糖由短链糖组成,不同细菌甚至不同菌株之间可能存在差异。
4
内毒素的功能
内毒素是革兰氏阴性菌外膜的主要成分,对细菌生存至关重要。它维持细菌结构完整性,并作为保护性两亲性屏障抵御化学攻击。内毒素形成的屏障仅允许低分子量亲水性分子通过,使革兰氏阴性菌对多种抗菌化合物具有耐受性。
在宿主体内,脂多糖能保护细菌免受吞噬细胞或血清成分的杀伤。值得注意的是,内毒素结构的变异形成了不同的抗原菌株,这增加了细菌规避先前针对特定菌株形成的免疫反应的机会,从而促进了耐药性的进化。
4
毒性
由于内毒素暴露于细菌表面,先天免疫系统已进化出识别其威胁并作出反应的能力。当革兰氏阴性菌被免疫系统杀死时,其膜片段携带的内毒素释放入血液,可能引发发热和腹泻。血液中内毒素存在(内毒血症)通常导致低血压、呼吸衰竭和氧气输送减少。
作为LPS中最保守的部分,免疫系统主要针对Lipid A作出反应。免疫反应完全依赖先天免疫,由Toll样受体4(TLR4)与MD2复合物介导(图4)。
图4:TLR4(蓝色)-MD2(绿色)二聚体复合物与内毒素的Lipid A(红色)结合示意。TLR4跨膜结构示意。作者:David Goodsell
TLR4可刺激巨噬细胞和内皮细胞分泌促炎性细胞因子及一氧化氮。此外,内毒素还能促进B细胞分化、增殖及免疫球蛋白分泌(主要为IgG和IgM)。同时,补体和凝血级联被激活,引发炎症、血管扩张、中性粒细胞趋化、凝血、出血及休克。
5
内毒素检测
内毒素检测方法多种多样。体外检测方法包括LAL实验和ELISA,可在酶标仪上进行,显著提高通量与效率。
马蹄蟹变形血细胞裂解物(LAL)实验是常用的内毒素检测方法。LAL检测基于从马蹄蟹血液中分离的变形血细胞提取物,可分为比色法或浊度法。亦有基于重组蛋白与荧光底物的替代LAL实验(图5)。更多信息请参阅我们的博客文章: “LAL检测:利用活化石探测细菌污染”
图5:荧光内毒素检测实验。荧光强度越高,内毒素含量越高。
所有内毒素检测均可在酶标仪上完成。这些方法通常需要吸收光酶标仪来探测显色反应(LAL及最典型的ELISA)或浊度变化。基于重组蛋白和荧光底物的检测则需使用荧光酶标仪。
BMG LABTECH旗下可用于内毒素定量的酶标仪包括:SPECTROstar Nano、Omega系列、VANTAstar、CLARIOstar Plus及PHERAstar FSX。
推荐阅读
>>客户之声|CLARIOstar和PHERAstar支持早期药物研发中的多种生物学测定
>>利用 CLARIOstar Plus 的增强动态范围功能实现更快速的 PyroGene™ 内毒素检测
>>384孔高通量细胞能量代谢分析BMG CLARIOstar助力肝细胞癌治疗中线粒体能量重塑的新靶点研究
>>BMG VANTAstar® 联合生物梅里埃ENDOZYME® II 试剂盒:EDR技术革新内毒素检测,开启智能化新时代
>>Nature顶刊研究揭示阿尔茨海默病治疗新机制,BMG LABTECH多功能酶标仪为tau蛋白解聚提供关键数据支持
>>BMG多功能酶标仪国内用户出版物快报 (2025年8月)
>>研究前沿 | 用荧光偏振技术研究青霉素与PBP5的相互作用,解析抗生素耐药的分子机制
>>【邀请函】2025 BMG LABTECH药筛用戶技术交流会
>>BMG多功能酶标仪国内用户出版物快报 (2025年7月)
>>BMG多功能酶标仪国内用户出版物快报 (2025年6月)
>>SelectScience2025 科学家选择奖揭晓:BMG LABTECH 以创新内容斩获行业殊荣
>>使用CLARIOstar Plus酶标仪测定植物样品和食品中的抗氧化能力
>>BMG多功能酶标仪国内用户出版物快报 (2025年5月)
>>Meta-Ready细胞能量代谢分析仪推动突破性发现:天然化合物Harmine通过增强代谢耦合促进神经元轴突再生
>>MINI TALKS:神经退行性疾病检测利器PA-QuIC完美实现蛋白聚集检测
>>BMG多功能酶标仪国内用户出版物快报 (2025年4月)
>>【讲座回放】解锁细胞能量代谢研究新维度:高通量多参数分析系统在线粒体研究中的应用
>>BMG多功能酶标仪国内用户出版物快报 (2025年3月)
>>硬核筛选,PHERAstar FSX助力赛诺菲整合平台完成自动化多重分析
>>【3月21日】第二场BMG多功能酶标仪答疑会!欢迎报名参加!
>>MINI TALKS:微生物检测中的魔鬼细节,如何优化OD600检测
>>BMG多功能酶标仪国内用户出版物快报 (2025年1月)
>>BMG多功能酶标仪国内用户出版物快报 (2024年12月)
>>BMG多功能酶标仪国内用户出版物快报 (2024年10-11月)
>>BMG多功能酶标仪国内用户出版物快报 (2024年9月)
>>BMG多功能酶标仪国内用户出版物快报 (2024年8月)
>>BMG多功能酶标仪国内用户出版物快报 (2024年7月)
>>BMG多功能酶标仪国内用户出版物快报 (2024年6月)
>>BMG多功能酶标仪国内用户出版物快报 (2024年5月)
>>BMG多功能酶标仪国内用户出版物快报 (2024年4月)
>>【讲座回放】从基因到生物体,神经退行性疾病研究全面解决方案
>>BMG多功能酶标仪国内用户出版物快报 (2024年2月)
>>BMG多功能酶标仪国内用户出版物快报 (2024年1月)
>>神经退行性疾病研究系列(三): 神经退行性疾病生物标志物检测方法
>>【讲座回放】神经退行性疾病研究系列(二):线粒体功能障碍研究
>>BMG多功能酶标仪国内用户出版物快报 (2023年12月)
>>讲座邀请:神经退行性疾病研究系列(二):线粒体功能障碍研究
>>太“cool”啦:先进系统为温敏分析提供稳定的环境
>>神经退行性疾病研究系列(二): 怎样利用微孔板读板机研究蛋白错折叠
>>了解微孔板,选对微孔板
>>【视频回放】神经退行性疾病研究系列(一): RT-QUIC在检测蛋白错折叠的应用
>>BMG多功能酶标仪国内用户出版物快报 (2023年11月)
>>神经退行性疾病研究系列(一):怎样研究线粒体功能障碍与神经退行性疾病的关系
>>客户心声丨PHERAstar FSX提高药物筛选效率
>>MINI TALKS:如何在BMG LABTECH多功能酶标仪上设定聚焦
>>MINI TALKS:如何在BMG LABTECH多功能酶标仪上设置Flash(闪光)
>>BMG多功能酶标仪国内用户出版物快报 (2023年9月)
>>让通量起飞!解放你的实验时间,90分钟一步法ELISA快速分析方案来啦 | 联合讲座
>>MINI TALKS:如何优化BMG LABTECH多功能酶标仪增益(PMT Gain)
>>MINI TALKS:走进尖端!双荧光素酶分析进阶 ― 六重分析!
>>BMG多功能酶标仪国内用户出版物快报 (2023年7月)
>>BMG使用小贴士(三):如何优化微孔板读板机测量的焦距?
>>BMG使用小贴士(一):如何优化微孔板读板机的增益设置?
>>BMG多功能酶标仪国内用户出版物快报 (2023年6月)
>>BMG多功能酶标仪国内用户出版物快报 (2023年5月)
>>BMG多功能酶标仪国内用户出版物快报 (2023年4月)
>>伯齐科技喜讯:BMG LABTECH在中国市场份额大幅提高
>>BMG多功能酶标仪国内用户出版物快报 (2023年3月)
>>BMG LABTECH酶标仪被世卫生物标准化专家委员会纳入SOP流程!
>>BMG LABTECH又获得SelectScience颁发的两枚新质量奖章
>>祝贺伯齐科技再获BMG LABTECH多功能酶标仪厂家2022年度优秀表现与销售大奖
>>BMG多功能酶标仪国内用户出版物快报 (2023年2月)
>>BMG多功能酶标仪国内用户出版物快报 (2023年1月)
>>BMG多功能酶标仪国内用户出版物快报 (2022年10月)
>>BMG多功能酶标仪国内用户出版物快报 (2022年9月)
>>BMG多功能酶标仪国内用户出版物快报 (2022年8月)
>>线上讲座邀请——极速PCR技术配上高通量荧光定量检测:SARS-CoV-2高通量快速检测平台
>>BMG多功能酶标仪国内用户出版物快报 (2022年6月)
>>BMG多功能酶标仪国内用户出版物快报 (2022年5月)
>>CLARIOstar Plus动态范围扩展技术,15分钟搞定内毒素检测
>>PHERAstar FSX,高通量药物筛选1536-3456通量也轻松拿捏
>>BMG多功能酶标仪国内用户出版物快报 (2022年4月)
>>BMG多功能酶标仪国内用户出版物快报 (2022年3月)
>>BMG多功能酶标仪国内用户出版物快报 (2022年2月)
>>MINI TALKS:酶标仪荧光检测时如何进行Gain值调节
>>BMG多功能酶标仪国内用户出版物快报 (2022年1月)
>>THUNDER™ TR-FRET与PHERAstar FSX珠联璧合,细胞因子定量强大助手
>>BMG多功能酶标仪国内用户出版物快报 (2021年12月)
>>BMG多功能酶标仪国内用户出版物快报 (2021年11月)
>>BMG多功能酶标仪国内用户出版物快报 (2021年10月)
>>BMG PA-QuIC助力国家疾控中心开展东亚最大规模的遗传性朊病毒病研究
>>技术讲座:BMG酶标仪助力治疗COVID-19药物文库筛选
>>BMG多功能酶标仪国内用户出版物快报 (2021年9月)
>>BMG多功能酶标仪国内用户出版物快报 (2021年8月)
>>BMG多功能酶标仪国内用户出版物快报 (2021年7月)
>>BMG多功能酶标仪国内用户出版物快报 (2021年6月)
>>BMG多功能酶标仪国内用户出版物快报 (2021年5月)
>>BMG Stacker叠板机,简化微孔板处理,提高实验室检测通量
>>BMG多功能酶标仪国内用户出版物快报 (2021年4月)
>>BMG多功能酶标仪国内用户出版物快报 (2021年3月)
>>BMG多功能酶标仪国内用户出版物快报 (2021年2月)
>>BMG多功能酶标仪国内用户出版物快报 (2021年1月)
>>BMG多功能酶标仪国内用户出版物快报 (2020年12月)
>>BMG多功能酶标仪国内用户出版物快报 (2020年11月)
>>BMG多功能酶标仪国内用户出版物快报 (2020年10月)
>>BMG客户之声:CLARIOstar Plus酶标仪分析细胞外囊泡及它们在癌症中的作用
>>BMG多功能酶标仪国内用户出版物快报 (2020年8月)
>>MINI TALKS:速GET“一键式”细胞能量代谢检测分析解决方案
>>BMG多功能酶标仪国内用户出版物快报 (2020年7月)
>>BMG多功能酶标仪国内用户出版物快报 (2020年6月)
>>BMG超灵敏发光活细胞实时监测助力PROTACs药物筛选
>>MINI TALKS:BGiQuant高通量荧光核酸定量方案
>>BMG多功能酶标仪喜获2020 SelectScience质量大奖
>>MINI TALKS:CRISPR-RNA低体积准确定量
>>BMG多功能酶标仪国内用户出版物快报 (2020年4月)
>>Molecular Cell:CLARIOstar Plus-ACU活细胞实时监测助力RNA病毒药物筛选
>>BMG多功能酶标仪国内用户出版物快报 (2020年3月)
>>MINI TALKS:如何更好地检测药物结合动力学助力新药研发
>>BMG多功能酶标仪国内用户出版物快报 (2020年1月-2月)
>>BMG酶标仪MARS软件升级,助力新版药典生物检定统计法数据分析
>>CLARIOstar Plus多功能酶标仪:实验室应用中检测功能最全面的工具
>>法国Servier(施维雅制药)BMG PHERAstar酶标仪用户专访
>>BMG荣获SelectScience年度生命科学领域文章大奖
>>MINI TALK:BMG动态范围扩展技术,快来看看这是什么神仙操作
>>BMG参展SLAS 2019, 喜获多家高通量自动化厂家仪器整合展示
>>Nature Medicine | BMG特色应用-肠道微生物高通量超低氧环境实时培养分析
>>HTRF-1536通量时代——PHERAstar FSX高通量药物筛选金标准
>>讲座:德国BMG多功能酶标仪在细胞凋亡,毒性,能量代谢以及缺血灌注中的应用
>>BMG PHERAstar FSX 备受制药巨头阿斯利康高通量药物筛选总监认可推荐
>>蛋白聚集研究新方向:“人类疯牛病”也许能通过皮肤蛋白传染
>>BMG CLARIOstar LVF 超级光栅获得美国专利
>>国际阿尔茨海默症日 | BMG发布神经退行性疾病研究方法案例分析
>>神经退行性疾病研究利器 —BMG酶标仪完美实现蛋白聚集研究
>>美国NIH引入BMG FLUOstar Omega多功能酶标仪研发快速朊病毒测试
>>讲座视频回放:神经退行性疾病研究利器 —BMG酶标仪完美实现蛋白聚集研究
>>解救二代测序稀有样本定量难题 BMG CLARIOstar超高灵敏度dsDNA荧光定量检测
>>MetaCell-TM在海德堡EMBL研讨会上隆重介绍细胞代谢金标准检测平台
>>BMG PHERAstar FSX 高通量超灵敏HTS多功能酶标仪入选Selectscience杂志2016最佳药物研发产品十强
>>Nature Methods亮点推荐细胞代谢胞内氧检测技术
>>网络讲座:尖端分子相互作用检测-nanoBRET在CLARIOstar多功能酶标上实现
>>CLARIOstar多功能酶标仪—用于微孔板发光检测的最佳工具
>>英国Sygnature Discovery采用德国BMG PHERAstar FSX进行高端药物研发
>>讲座视频回放:二代测序样本前处理:高通量核酸/文库定量方案
>>Webinar网络讲座:BMG Omega ACU细胞代谢研究平台独特而全面的细胞能量代谢研究解决方案
欢迎关注进科驰安官方微信(微信公众号:Bio-Gene)
回复:BMG,查看更多相关视频
长按/扫描以下二维码可识别关注公众号

广州进科驰安科技有限公司
Bio-Gene Technology Limited
热线:176 2009 3784
www.bio-gene.com.cn
marketing@bio-gene.com.cn
香港 北京 上海 广州

