微孔板,又称酶标板或多孔板,是常见的实验耗材,目前广泛应用于生命科学和制药研究,以及临床诊断和分析研究。
微孔板分不同的材质、颜色、孔密度,还有多种孔形和容量,各有不同的用途。工欲善其事,必先利其器,对各类微孔板进行全面了解,才能为具体的分析应用挑选出最适合的微孔板。在本文中,我们着重于光谱分析应用,总结微孔板的分类。
孔密度
Formats
尽管各个制造商生产的微孔板在尺寸和孔位上存在细微差别,但所有微孔板的基底尺寸都是相同的。孔以矩形矩阵排列,6/12/24/48/96孔/384孔和1536孔板(图 1)较为常见。市面上也有3456孔板,但并不常用。
图1:几种不同孔密度的微孔板。
孔容积取决于孔密度。最常用的是96孔板,更高密度的格式适用于小反应体系。384孔、1536孔,乃至3456孔板可承载更多种样品,减少试剂用量,从而降低成本。
孔密度对移液方式也有所影响。通常来说,无法手动对高孔密度(如1536孔和 3456孔)的微孔板移液,需要使用移液设备。对于384孔板,手动移液仍是可行的,但操作繁琐,并不推荐这种做法。因此,对于高孔密度板的使用,要在小反应体系所节省的成本和操作过程耗费的成本之间权衡。这种取舍是进行高通量筛选的机构通常要面临的,而非大部分生命科学实验室。
用于ELISA的微孔板通常是96孔,可装12个8孔条(图2)。这种结构在一定程度上简化了使用和操作。
图 2:ELISA板可装十二个可拆卸八孔条。使用时可按需安装。
材质
Materials
常用的微孔板材质有聚碳酸酯(PC)、聚苯乙烯(PS)和环烯烃共聚物(COC)。聚合物的种类会影响透光率、自体荧光、吸水性和气体交换,从而影响使用、应用和分析质量。
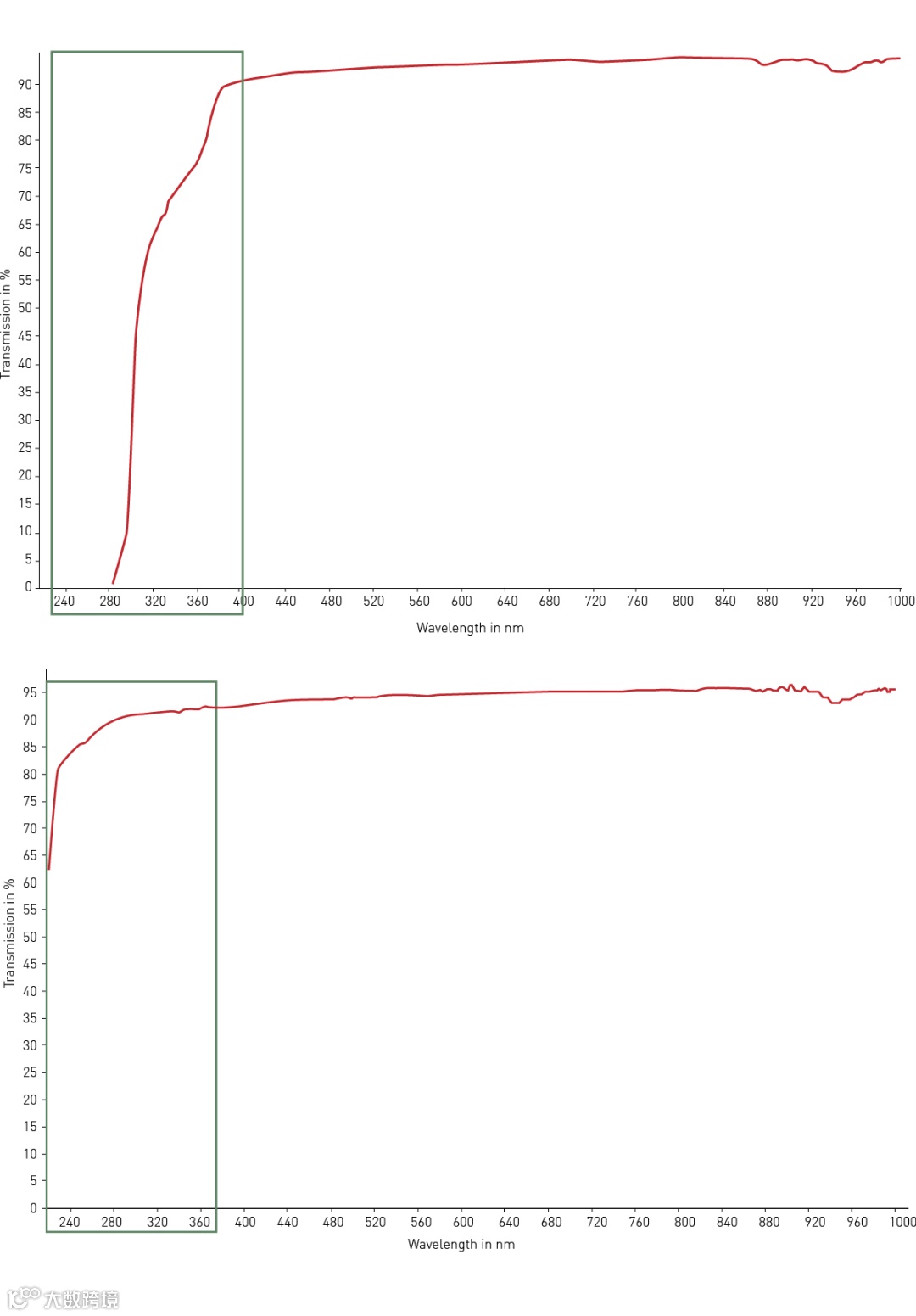
实验室中的塑料器材多为PS制成。较好的透明度使其成为光学检测、吸光度测定(如ELISA)和显微镜检测的理想材料。但有一点,PS不能透射紫外光(<320 nm),因此不适合用于RNA和DNA定量。而COC在200-400nm范围内具有更好的紫外线透射率和较低的自体荧光(图 3)。
图3:PS(上)和COC(下)的透光率
对于光学和显微应用,以及高内涵筛选,玻璃和石英是透明度、自体荧光和透光性能最好的材料。但这些材料价格昂贵且易碎,大多不是一次性的。
PCR微孔板(图 4)多为PC和聚丙烯(PP)材质,适用于温度变化较大的样品(比如需要在-80°C 存储)。
图4:96孔PCR微孔板
颜色
Colour
微孔板通常有四种“颜色”:透明、黑色、白色和灰色(图 5)。颜色选择不当会影响数据质量。
图5:几种不同颜色的微孔板
吸光度测定需要用透明(包括UV可透)微孔板,因为在这种模式下,光要从样品穿过。黑色微孔板会部分淬灭样品信号,因为通过样品的光信号会被部分吸收。这类微孔板适合荧光强度(包括FRET)和荧光偏振测定。这些模式的信号强度通常较高,黑色有助于减少背景、自体荧光和孔间干扰,从而提供更好的信噪比。
但不建议使用黑色微孔板进行发光、时间分辨荧光 (TRF) 和 TR-FRET测定,因为这些模式的信号强度本来就比较弱,而黑色会进一步猝灭信号。建议使用反射能力更高的白色板,有助于最大限度地增强信号。
灰色板是介于黑色和白色之间的一种折中解决方案。此类微孔板特别适用于 AlphaScreen® 和AlphaLISA®,灰色可以减少孔间干扰和背景,同时仍能提供良好的信号。
孔形状
Well shape
孔形状分为圆形和方形,方形又分为直角和圆角。与圆形孔相比,方形孔容纳的样品量更大,透光面积也更大。圆形孔的总面积较小,更适合摇床。此外,相邻的圆形孔不会共用一个孔壁,相比于方形孔,可以更好地避免孔间的信号串扰。
孔底形状
Well bottom
孔底形状也分多种(图 6)。F底(平底)透光性最好,是贴壁细胞培养的理想选择,适合使用酶标仪或显微镜进行底部读取。
V底(锥形底)利于最大限度地利用量少且贵重的样品。但锥形不适用于分光光度计或成像应用。
U底(圆形底)有利于混合、清洗和涂布。U底孔也便于移液且无残留,通常用于悬浮细胞和球体细胞。
C底(弧形边缘底)介于F底和U底之间——平底部分使其适用于光学测量,弧形边缘使其便于混合和清洗。
图6:几种不同的孔底形状
表面处理
Well coatings
由于样品和孔表面材料之间会产生作用,孔的表面特性起着重要作用。主要分三种:1)无结合力或低结合力,2)中结合力和3)高结合力。对于生物化学光谱分析和高通量筛选应用,无涂层的PS板通常是首选,属于中结合力。
无结合力板可防止核酸、蛋白质和肽与孔表面结合。特定的涂层可降低背景并改善信噪比。
高结合微孔板通常用于需要将分子固定在孔表面的分析。最典型的应用是ELISA。
普通非无菌微孔板不适用于细胞培养和基于细胞的分析。除了无菌处理外,还需要进行亲水表面处理,以促进细胞更好地附着在孔底。这种亲水性处理通常称为 “组织培养处理”,简称TC处理。还有基于细胞外基质蛋白(如胶原蛋白、纤连蛋白和层粘连蛋白)的涂层,以及合成涂层(如聚赖氨酸)。悬浮细胞、类器官和球体细胞则需要细胞排斥表面。
在进行基于细胞的分析时,通常建议从孔底部读取,所以孔底必须是透明的。根据测定方法的不同,孔壁可以是白色或黑色。塑料(PS或COC)、玻璃或石英都可作为透明底部的材料。
酶标仪读取并量化微孔板中液体样品产生的光信号。尽管都要符合ANSI/SLAS标准,但不同制造商生产的微孔板在尺寸和孔位上仍有细微差别,这会影响测量数据。对于384/1536孔板,即使孔位置在横向或纵向有很小的偏移,也可能导致测量点偏离孔的中心,甚至偏离到孔壁的位置。
有何对策?BMG LABTECH酶标仪(图 7)自带微孔板选择数据库,其中包括来自不同制造商的50多种不同规格的孔板。用户也可以在软件中导入定制的微孔板设计样式。
图7:BMG LABTECH的单功能和多功能酶标仪
点击下方“阅读原文”,可继续了解更多微孔板知识。
转载自:BMG LABTECH
推荐阅读
>>【视频回放】神经退行性疾病研究系列(一): RT-QUIC在检测蛋白错折叠的应用
>>BMG多功能酶标仪国内用户出版物快报 (2023年11月)
>>神经退行性疾病研究系列(一):怎样研究线粒体功能障碍与神经退行性疾病的关系
>>客户心声丨PHERAstar FSX提高药物筛选效率
>>MINI TALKS:如何在BMG LABTECH多功能酶标仪上设定聚焦
>>MINI TALKS:如何在BMG LABTECH多功能酶标仪上设置Flash(闪光)
>>BMG多功能酶标仪国内用户出版物快报 (2023年9月)
>>让通量起飞!解放你的实验时间,90分钟一步法ELISA快速分析方案来啦 | 联合讲座
>>MINI TALKS:如何优化BMG LABTECH多功能酶标仪增益(PMT Gain)
>>MINI TALKS:走进尖端!双荧光素酶分析进阶 ― 六重分析!
>>BMG多功能酶标仪国内用户出版物快报 (2023年7月)
>>BMG使用小贴士(三):如何优化微孔板读板机测量的焦距?
>>BMG使用小贴士(一):如何优化微孔板读板机的增益设置?
>>BMG多功能酶标仪国内用户出版物快报 (2023年6月)
>>BMG多功能酶标仪国内用户出版物快报 (2023年5月)
>>BMG多功能酶标仪国内用户出版物快报 (2023年4月)
>>伯齐科技喜讯:BMG LABTECH在中国市场份额大幅提高
>>BMG多功能酶标仪国内用户出版物快报 (2023年3月)
>>BMG LABTECH酶标仪被世卫生物标准化专家委员会纳入SOP流程!
>>BMG LABTECH又获得SelectScience颁发的两枚新质量奖章
>>祝贺伯齐科技再获BMG LABTECH多功能酶标仪厂家2022年度优秀表现与销售大奖
>>BMG多功能酶标仪国内用户出版物快报 (2023年2月)
>>BMG多功能酶标仪国内用户出版物快报 (2023年1月)
>>BMG多功能酶标仪国内用户出版物快报 (2022年10月)
>>BMG多功能酶标仪国内用户出版物快报 (2022年9月)
>>BMG多功能酶标仪国内用户出版物快报 (2022年8月)
>>线上讲座邀请——极速PCR技术配上高通量荧光定量检测:SARS-CoV-2高通量快速检测平台
>>BMG多功能酶标仪国内用户出版物快报 (2022年6月)
>>BMG多功能酶标仪国内用户出版物快报 (2022年5月)
>>CLARIOstar Plus动态范围扩展技术,15分钟搞定内毒素检测
>>PHERAstar FSX,高通量药物筛选1536-3456通量也轻松拿捏
>>BMG多功能酶标仪国内用户出版物快报 (2022年4月)
>>BMG多功能酶标仪国内用户出版物快报 (2022年3月)
>>BMG多功能酶标仪国内用户出版物快报 (2022年2月)
>>MINI TALKS:酶标仪荧光检测时如何进行Gain值调节
>>BMG多功能酶标仪国内用户出版物快报 (2022年1月)
>>THUNDER™ TR-FRET与PHERAstar FSX珠联璧合,细胞因子定量强大助手
>>BMG多功能酶标仪国内用户出版物快报 (2021年12月)
>>BMG多功能酶标仪国内用户出版物快报 (2021年11月)
>>BMG多功能酶标仪国内用户出版物快报 (2021年10月)
>>BMG PA-QuIC助力国家疾控中心开展东亚最大规模的遗传性朊病毒病研究
>>技术讲座:BMG酶标仪助力治疗COVID-19药物文库筛选
>>BMG多功能酶标仪国内用户出版物快报 (2021年9月)
>>BMG多功能酶标仪国内用户出版物快报 (2021年8月)
>>BMG多功能酶标仪国内用户出版物快报 (2021年7月)
>>BMG多功能酶标仪国内用户出版物快报 (2021年6月)
>>BMG多功能酶标仪国内用户出版物快报 (2021年5月)
>>BMG Stacker叠板机,简化微孔板处理,提高实验室检测通量
>>BMG多功能酶标仪国内用户出版物快报 (2021年4月)
>>BMG多功能酶标仪国内用户出版物快报 (2021年3月)
>>BMG多功能酶标仪国内用户出版物快报 (2021年2月)
>>BMG多功能酶标仪国内用户出版物快报 (2021年1月)
>>BMG多功能酶标仪国内用户出版物快报 (2020年12月)
>>BMG多功能酶标仪国内用户出版物快报 (2020年11月)
>>BMG多功能酶标仪国内用户出版物快报 (2020年10月)
>>BMG客户之声:CLARIOstar Plus酶标仪分析细胞外囊泡及它们在癌症中的作用
>>BMG多功能酶标仪国内用户出版物快报 (2020年8月)
>>MINI TALKS:速GET“一键式”细胞能量代谢检测分析解决方案
>>BMG多功能酶标仪国内用户出版物快报 (2020年7月)
>>BMG多功能酶标仪国内用户出版物快报 (2020年6月)
>>BMG超灵敏发光活细胞实时监测助力PROTACs药物筛选
>>MINI TALKS:BGiQuant高通量荧光核酸定量方案
>>BMG多功能酶标仪喜获2020 SelectScience质量大奖
>>MINI TALKS:CRISPR-RNA低体积准确定量
>>BMG多功能酶标仪国内用户出版物快报 (2020年4月)
>>Molecular Cell:CLARIOstar Plus-ACU活细胞实时监测助力RNA病毒药物筛选
>>BMG多功能酶标仪国内用户出版物快报 (2020年3月)
>>MINI TALKS:如何更好地检测药物结合动力学助力新药研发
>>BMG多功能酶标仪国内用户出版物快报 (2020年1月-2月)
>>BMG酶标仪MARS软件升级,助力新版药典生物检定统计法数据分析
>>CLARIOstar Plus多功能酶标仪:实验室应用中检测功能最全面的工具
>>法国Servier(施维雅制药)BMG PHERAstar酶标仪用户专访
>>BMG荣获SelectScience年度生命科学领域文章大奖
>>MINI TALK:BMG动态范围扩展技术,快来看看这是什么神仙操作
>>BMG参展SLAS 2019, 喜获多家高通量自动化厂家仪器整合展示
>>Nature Medicine | BMG特色应用-肠道微生物高通量超低氧环境实时培养分析
>>HTRF-1536通量时代——PHERAstar FSX高通量药物筛选金标准
>>讲座:德国BMG多功能酶标仪在细胞凋亡,毒性,能量代谢以及缺血灌注中的应用
>>BMG PHERAstar FSX 备受制药巨头阿斯利康高通量药物筛选总监认可推荐
>>蛋白聚集研究新方向:“人类疯牛病”也许能通过皮肤蛋白传染
>>BMG CLARIOstar LVF 超级光栅获得美国专利
>>国际阿尔茨海默症日 | BMG发布神经退行性疾病研究方法案例分析
>>神经退行性疾病研究利器 —BMG酶标仪完美实现蛋白聚集研究
>>美国NIH引入BMG FLUOstar Omega多功能酶标仪研发快速朊病毒测试
>>讲座视频回放:神经退行性疾病研究利器 —BMG酶标仪完美实现蛋白聚集研究
>>解救二代测序稀有样本定量难题 BMG CLARIOstar超高灵敏度dsDNA荧光定量检测
>>MetaCell-TM在海德堡EMBL研讨会上隆重介绍细胞代谢金标准检测平台
>>BMG PHERAstar FSX 高通量超灵敏HTS多功能酶标仪入选Selectscience杂志2016最佳药物研发产品十强
>>Nature Methods亮点推荐细胞代谢胞内氧检测技术
>>网络讲座:尖端分子相互作用检测-nanoBRET在CLARIOstar多功能酶标上实现
>>CLARIOstar多功能酶标仪—用于微孔板发光检测的最佳工具
>>英国Sygnature Discovery采用德国BMG PHERAstar FSX进行高端药物研发
>>讲座视频回放:二代测序样本前处理:高通量核酸/文库定量方案
>>Webinar网络讲座:BMG Omega ACU细胞代谢研究平台独特而全面的细胞能量代谢研究解决方案
欢迎关注进科驰安官方微信(微信公众号:Bio-Gene)
回复:BMG,查看更多相关视频
长按/扫描以下二维码可识别关注公众号

广州进科驰安科技有限公司
Bio-Gene Technology Ltd.
热线:176 2009 3784
www.bio-gene.com.cn
marketing@bio-gene.com.cn
香港 北京 上海 广州 济南

