塑料电商第一股,最安全便捷的塑料交易平台,股票代码:837297
本周塑料市场走势向好,报价逐步走高。本周初期货市场出现难得一见的普涨行情,塑料期货品种涨幅更是明显,加之央行近日释放流动性,资金面活跃,期货在期末更是跳空高开突破上涨。现货市场看涨心态明显,周内多次出现二次报盘,市场询盘增多,市场低价货源成交良好。
1
周综述
本周聚乙烯市场价格上涨明显。周初线性期货连续高开上行,提振市场交投,各大市场报价小幅走高,涨幅在50-150元/吨。而后线性期货连续高开震荡,石化频繁上调出厂价格,加之近期装置检修停车较为密集,国际原油走势较好,利好因素云集,市场报价一再上涨,现货交投气氛活跃,成交侧重商谈。
本周国内PP市场涨势不断,场内报盘走高100-200元/吨不等。石化出厂价轮番上调,对市场成本形成较强支撑。加之PP期货高开震荡及国际油价连续走高,进一步提振业者看涨心态。部分商家试探高报出货,超低货源逐渐消失。周中起,PP期货连续上行再创新高,带动现货市场气氛向好。业者对后市信心加强,商家继续高报挺价出货,然下游工厂主动备货意愿偏低,市场交投表现清淡。
本周国内PVC市场氛围良好,电石料涨幅在150-250元/吨,乙烯料价格变动不大。受V1709期货破位上涨带动,加之国内PVC检修企业增加,库存较少等利好支撑,国内PVC企业陆续上调出厂价格,市场商家心态受到提振,看涨氛围凸显,报价随之拉涨。下游询盘积极性提高,且买涨不买跌心态下,成交好转。截止到本周末国内电石法5型料主流报价在5770-6050元/吨;乙烯料主流市场价格在6150-6450元/吨,高型号价格高150元/吨。
2
国内成交价格走势

根据我的塑料网真实成交数据显示,本周市场成交量较上周有所上升。截至本周末,当前线性主流价格在9000-9450元/吨,环比上涨400元/吨;高压主流价格在9900-10500元/吨,环比上涨250元/吨左右;低压价格在9700-10000元/吨,价格窄幅波动。下游刚需采购为主。
根据我的塑料网真实成交数据显示,本周国内PP市场报盘稳中走高。截止本周五拉丝主流价格在7600-7950元/吨不等,较上周走高150-200元/吨左右;低融共聚价格在7750-8700元/吨不等,较上周走高100-150元/左右。期货及石化政策成为拉涨行情的关键。
本周国内PVC市场价格走高,华东、华南地区报价重回6000元/吨以上。截至本周末,华北地区山东信发SG-5厂提5750元/吨,较上周五涨180元/吨;齐鲁S1000少量出货,库提价格在6950元/吨,较上周五跌100元/吨;杭州周边联创SG-5送到报6140元/吨,较上周五涨200元/吨;广州天湖SG-5库提6000元/吨,较上周五涨220元/吨。
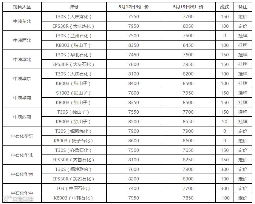
3
出厂价格调整
表1 本周国内PE出厂价格调整(单位:元/吨)

表2 本周国内PP出厂价格调整(单位:元/吨)

表3 本周国内PVC出厂价格调整(单位:元/吨)

4
本周期货综述

本周大商所连塑主力合L1709震荡下行,周初开盘报8835元/吨,周五收盘报8810元/吨,最高报8895元/吨,最低至8535元/吨,周涨105元/吨或1.21%。成交量增加至46.2万手,持仓增加至40.4万手。
本周国内PP期货主力1709合约连续走高。具体来看,周初开盘价在7577元/吨,周五收盘7488元/吨,最高8109元/吨,最低7535元/吨,周涨607元/吨或8.11%。成交量增加至61.0万手,持仓量增加至65.9万手。
本周国内PVC期货主力1709合约大幅反弹。具体来看,周初开盘在5690元/吨,最高5875元/吨,最低5620元/吨,收盘报5725元/吨,较上周涨110元/吨,周涨幅1.96%,成交量增加至124.3万手,持仓量增加至14.3万手。
5
本周美金市场回顾

本周PE美金涨跌互现。线性主流牌号报价在1100-1130美元/吨,部分保税货物有贸易商高报在1150美元/吨,主流保税报盘在1130美元/吨。高压方面延续跌势,部分低位成交在1150美元/吨,市场主流报盘在1200美元/吨。中空报盘阴跌,市场主流价格在1070美元/吨;低压膜市场主流报盘在1100-1120美元/吨,成交有所放量。低压注塑方面成交重心继续下移,部分高融注塑低报至1080美元/吨。
表4 美金PP市场价格对比表

本周美金PP市场跌势放缓,跌幅在15-45美元/吨左右,成交较上周转好。截止本周五美金拉丝价格在970-1000美元/吨。
表5 亚洲PVC市场收盘价格表

本周亚洲PVC市场价格基本稳定。CFR中国维持在869-873美元/吨,CFR东南亚稳定在880-885美元/吨,CFR印度维持在930-932美元/吨。亚洲6月份船货价格尚未公布,市场人士对后期走势存在较大分歧。
6
上下游分析
国际原油
本周国际油价呈现出触底反弹走势,前期下跌行情宣告终结。过去一周,消息面最大的改善来自于投资者对延长减产信息的恢复。
电石市场简析
本周电石市场整体盘整运行,个别地区报价小跌。至本周末各地电石到家价格为:华北地区接收价2660-2900元/吨;河南接收价在2760-2770元/吨;陕西当地货源送到2410-2480元/吨。
下游开工图析
本周棚膜需求延续清淡,多数企业进入停机检修状态。日光温室膜需求处于淡季,厂家多停机生产,开机厂家寥寥无几。本周地膜需求结束,需求不佳,个别大厂维持少量,开工率在1-2成。
截止5月19日当周,国内聚丙烯下游行业开工率没有明显变化。其中塑编行业开工率在56%左右,共聚行业开工率在60%,BOPP行业开工率在68%左右。
本周国内PVC下游制品开工提升有限,维持在49.1%上下。华北地区本周受一带一路会议影响,部分下游开工受限;华东地区局部受环保限制,其他变化不大。
7
下周预测
PE:我的塑料网(www.myplas.com)预计下周国内PE市场小幅上涨,波动幅度在100-200元/吨左右。LLDPE价格在9100-9500元/吨,LDPE主流市场价格在9950-10550元/吨,HDPE膜料主流市场价格在9750-10000元/吨。
利多因素:期货连续走强;石化停车检修较为密集;石化上调出厂价格;国际原油价格连续走高。
利空因素:终端需求一般,谨慎观望居多。
其他因素:关注塑料期货及原油走势变化。
PP:我的塑料网(www.myplas.com)预计下周国内PP市场震荡上行,涨幅在100-200元/吨不等。
利多因素:部分石化装置停车检修;石化库存缓慢下降;在OPEC将延长减产协议支撑下油价继续走高;PP期货连续走强,一定程度提振业者心态;石化出厂价连续上调,场内货源成本支撑加强。
利空因素:下游工厂新增订单有限,整体刚需未见起色。
其他因素:关注石化出厂情况、PP期货走向和下游补货情况。
PVC:我的塑料网(www.myplas.com)预计下周国内PVC市场报价延续上行,幅度在50-100元/吨。
利多因素:阳煤恒通、新疆圣雄、海平面氯碱厂、黑龙江昊华、齐鲁石化等装置检修,衡阳建滔、天津大沽、乐金大沽降负荷至5成,后期河北盛华、方大锦化、内蒙宜化等装置检修,供应量减少;原料电石价格维持高位;PVC期货突破上涨。
利空因素:下游企业开工有限,对市场货源消化力度不足。
其他因素:商家心态变化;原油走势变化。

