大数跨境

最新最全!4月19日PE\PP调价汇总,赶紧来围观

最新最全!4月19日PE\PP调价汇总,赶紧来围观 智采小工单
2019-04-19
2
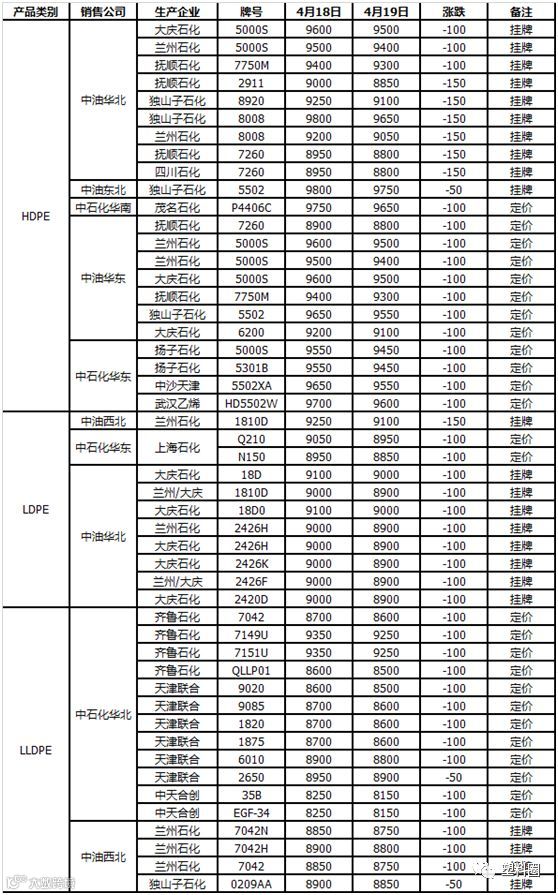
导读:期货连日走低,场内出货难度持续增强。石化库存和销售压力之下,继续下调出厂价格,PE多数销售大区降价50-

 期货连日走低,场内出货难度持续增强。石化库存和销售压力之下,继续下调出厂价格,PE多数销售大区降价50-150/吨不等。PP方面,今日降价企业明显减少,但降幅扩大,出厂价格最高降至250/吨!

PE


PP


【声明】内容源于网络
0
0
智采小工单
内容 0
粉丝 0
智采小工单
总阅读0
粉丝0
内容0