研究进展
锂离子电池(LIBs)的负极材料合成对其生产效率、成本和电化学性能具有重要影响。然而, 要实现低成本、高速且具有良好可扩展性的负极材料合成工艺以满足实际应用需求,仍然面临一些技术难点。本研究提出一种原位快速并联电热冲击(in situ flash shunt-electrothermal shock, SETS)的新方法,用于对金属氧化物类材料进行可控制、高效且低能耗的合成。研究使用ZIF-67作为前驱体,在铜箔载体上通过电热分解法快速(0.1-0.3秒)进行热解,成功制备了由10-15纳米次晶CoO/Co纳米粒构成的多孔空心立方体结构材料,并对其形貌特征实现了有效控制。结果表明,采用SETS法制备的CoO/Co@N-C材料在0.2A/g下150循环后可逆容量高达1503.7mAh/g,在6A/g下400循环后稳定容量达434.1mAh/g,表现出优异的电化学性能。该工艺将活性材料的合成与电极片的制备整合为一个流程,简化了电极的制备过程。由于该工艺的简单性和可扩展性强,它可应用于金属氧化物类材料的大规模合成,实现纳米制造工艺的工业化应用。但其具体作用机理和影响因素仍需进一步深入研究,以期实现更广泛的工业应用。
图文导读

图1. 原位快速并联电热冲击技术(SETS)合成过程及原理
本研究成功开发了一种原位快速热解法用于合成基于金属氧化物的电极材料。我们首次实现了MOF前体直接固定在铜电流集电极上进行原位快速电热分解,制备出由10-15nm次晶CoO/Co@N-C纳米粒组成的多孔空心立方体负极(图1a(1))。然后,利用该法制备的活性材料直接在铜箔上组装成电池(图1a(2)-(3))。
该种方法之所以能够在极短时间内对前体进行热分解,主要原因如下:(1)导电添加剂超P具有极好的导电性,在通电时会产生焦耳热进行加热(28-31);(2)铜箔的电阻随温度升高而增大,使部分电流分流进入材料进行加热(图1e,f);(3)超P作为加热源,随温度升高电阻下降,促进电流分流加热效果(图1c,d)。该法利用电路原理实现了输入电流的精细控制,实现了温和而均匀的加热效果(图1f公式)。
与传统方法相比,该法克服了长时间高温处理的缺点,大幅提高了合成速度。同时,原位快速加热-冷却过程有利于形成优异的纳米结构(图1b),更好地保留了前体结构特征。这为定制新型电极材料及优化电池性能提供了一种有效途径。但该法合成过程机理及参数优化还需进一步研究,以期实现工业化应用。

图2. 原位快速并联电热冲击技术的温度曲线及相应样品的表征
本部分对前体进行SETS法合成电极过程中的特定步骤进行总结和分析:SETS法中首先对前体进行预热,根据TG曲线(图S1),预热时的最高瞬态温度约为470°C(电压25V)(1)。然后,将中间产物在645-720°C(645°C,电压29V;665°C,29.5V;685°C,30V;720°C,31.5V)的瞬态温度下进一步加热,以确保MOF前体完全分解为最终产物CoO/Co@N-C(2)。图2a-c和图S2a显示了对应的温度变化曲线。SEM和XRD等表征结果显示(图2d-k,l),在预热后分别以645°C、665°C和685°C进行SETS加热处理的三个样品中,仅685°C样品表征峰消失,立方体结构完全破坏,表明此温度下前体完全分解(3)。此外,通过在碳布上进行对比实验,证实了SETS法中铜箔短路效应的存在,使得相同电压下加热时间缩短,温度升高更为平缓(图S4a)(4)。总之,通过对SETS过程参数的优化,我们找到了适当的预热和主加热温度,实现了MOF前体的高效分解,为定制新型电极材料奠定基础。但其合成机理及影响因素仍需深入研究。
一方面,加热时间的长短主要取决于材料本身的电阻和支撑载体的电阻。与以碳布为载体的电热冲击过程更趋于串联电路不同,SETS法中的整个电路为并联电路(图1e,f和图S4b)。因此,由于总电阻的差异,根据公式3可以得出,在相同电压下,铜箔的放电时间会比碳布短(图5)。

图5. 在相同电压(30V)下电容器放电时间的对比
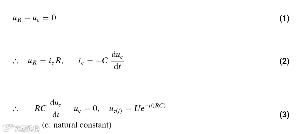
理论支持如下:
首先,绘制了电容器从充电到放电状态的完整系统电路图,如图3和图4所示。(R表示ZIF-67/超P/CMC和支撑体(碳布或铜箔)的总电阻。)
初始状态(t < 0):开关设置为S1,电源U为电容器充电,U和C已知;Uc(0-)= U(图3)。

图3. 电容器充电状态的电路图
开关切换后(t ≥ 0):开关设置为S2,电容器通过R放电。此时,根据变换定理:uc(0-)= uc(0+) = U(图4)。

图4. 电容器放电状态的电路图
根据柯西电压定律(KVL):

由于铜箔和碳布电阻差异(Rcopper < Rcarbon),根据公式3易得uc(t)与t的关系(图5)。
另一方面,如果没有短路效应,碳材料将接收过多能量易产生过多焦耳热,难以控制所需温度范围,导致前体结构难以保留(图S4)。在相同温度条件下,SETS法与碳布电热冲击法进行对比,后者由于加热时间过长仍难控制结构完整性(图S5)。
总之,SETS技术能更精细地调控焦耳热量,实现产品的定制需求。与传统高温炉加热相比,SETS法操作简单高效,制备出的材料粒径小、缺陷高(图1b,图S6)。但其机理及影响因素仍需深入研究,以期实现工业化应用。

图6. CoO/Co@N-C复合材料的结构与特性表征
TEM、高分辨TEM(HRTEM)、选区衍射(SAED)、STEM及N2吸附测试分析了CoO/Co@N-C粒子的结构特征。低倍TEM图像(图6a)显示粒子中心和边缘呈现不均匀对比度,表明存在空心结构。HRTEM图像(图6c)显示10nm颗粒内CoO(200)面间距2.13Å和Co(111)面间距2.04Å。SAED图(图6d)显示Co(200)面和Co(111)面,以及微晶石墨烯(100)面间距均约2.1Å。HAADF-STEM图像和元素分布图(图6e1-e6、f1-f6)显示均匀分布的C、Co、O和N。N2吸附分析(图S7)显示CoO/Co@N-C为介孔材料,主要孔径2和35nm,对应纳米粒间隙和立方体内腔隙。BET表面积279m2/g,孔容量0.435cm3/g,高于大多数Co基纳米结构。XPS(图6g-j)表明存在C-N键,证实石墨层存在。拉曼光谱(图S9)表明CoO/Co@N-C石墨层程度高于对照。SEM-EDS和质量差分法表征了电极成分比例。总之,充分分析了CoO/Co@N-C多孔立方体结构的微观特征。

图7. CoO/Co@N-C纳米复合材料的电化学性能
采用循环伏安法(图7a)和电化学阻抗谱分析了原位合成于铜箔上的CoO/Co@N-C电极的电化学性能。循环伏安曲线显示了CoO还原为Co、SEI层形成和Li+插入碳层过程中的三个还原峰值。随后循环,0.01V峰值稳定,而0.58V和1.06V峰值分别向0.89V和1.31V偏移,表明CoO/Co@N-C立方体结构被破坏,SEI层不可逆形成。从第二个循环开始,循环伏安曲线的峰值电位和电流强度趋于稳定,表明循环性能优异。正放过程峰值变化不大,分别归因于Li+从碳层脱落、部分SEI层分解和Co0向CoO氧化。电池在0.2A/g下首五个循环的放电-充电曲线(图7b)显示初次放电容量1747.3mAh/g,初次收率91%。随后循环曲线重合度高,150次循环后可达1503.7mAh/g,收率98%。0.5A/g下300次循环容量可达1182mAh/g。2A/g、4A/g和6A/g下分别400次循环后容量719.3mAh/g、465.6mAh/g和434.1mAh/g,收率均超99%。电阻谱(图7c)表明SEI层薄且稳定,电极界面离子和电子迁移效率高。Li+扩散系数从首次1×10-8cm2/s提高到400次7.9×10-8cm2/s。SEM(图7g)和TEM(图7h)表明结构在长期循环中保持稳定。总之,CoO/Co@N-C电极具有容量高、循环寿命长和优异的速率能力等卓越性能。
总结
本文提出一种通用的SETS策略,用于在0.3秒内进行过渡金属氧化物基纳米复合电极的原位合成,这些电极来源于金属-有机框架(MOFs)被固定在铜衬底上。该方法可以应用于其他前体材料。与传统加热方法相比,我们的方法通过简单、高效,减少能量损失和节省时间。SETS方法通过电流分离实现精确可控的电热冲击,从而成功合成了具有完整结构的多孔空心系统。此外,极快的加热和冰冷过程有利于亚晶粒和超细活性纳米粒子的形成。利用这一技术原位制备的CoO/Co@N-C纳米复合电极显示出了卓越的电化学性能。鉴于SETS技术本身的高效性和简单性,它预计将成为未来一种重要的纳米材料合成平台。
相关文章:Yan Wu, Qi Qi, Tianlang Peng, Junjie Yu, Xinyu Ma, Yizhuo Sun, Yanling Wang, Xiaoshi Hu, Yongjun Yuan, and Haiying Qin. In Situ Flash Synthesis of Ultra-High-Performance Metal Oxide Anode through Shunting Current-Based Electrothermal Shock. ACS Applied Materials & Interfaces 2024 16 (13), 16152-16163.


