
在新能源与储能技术领域,高效、稳定的能量存储技术是推动绿色发展的关键。近期,华东理工大学的研究团队利用超快焦耳加热技术对甲烷热解碳黑进行高温改性,大幅提升其性能,使其在超级电容器电极材料开发中展现出巨大的应用潜力。这一研究成果以“Ultrafast Joule Heating Modification of Methane-Pyrolyzed Carbon Black for Supercapacitor Application”为题发表在《Langmuir》期刊上,标志着这一领域的技术突破。
能源挑战与超级电容器的前景
甲烷热解碳黑作为一种副产品,是制造超级电容器电极材料的低成本选择,但其导电性和结构性能的提升仍是当前的研究重点。
华东理工大学沈中杰副教授、刘海峰教授团队通过超快焦耳加热技术对甲烷热解碳黑进行高温改性,显著提升其石墨化程度和电化学性能。研究结果显示,在1576°C左右,碳黑实现了初步石墨化,并在2000°C时达到2300 S/m的高电导率。改性后的碳黑在超级电容器中表现出优异的稳定性,比电容在高电流负载下保持较低的衰减率。这一研究为低成本、高性能超级电容器电极材料的开发提供了新思路。
1. 超快焦耳加热技术的创新应用
2. 碳黑结构与性能的系统研究
3. 超级电容器性能显著提升
超快焦耳加热设备示意图展示了碳黑样品的处理流程,快速升温至目标温度并冷却后得到改性样品。

密度泛函理论(DFT)计算揭示改性碳黑的能带结构和态密度变化,为其优异电导率提供理论支持。
X射线衍射(XRD)和拉曼光谱分析表明,碳黑在高温下石墨化程度显著提升,有序结构增强。
不同温度下的孔隙结构和电导率变化说明了高温处理对碳黑内部结构的优化及导电性能的提升。
显微镜图像展示了碳黑颗粒的形貌演变,缺陷修复后形成有利于电化学性能的多孔结构。
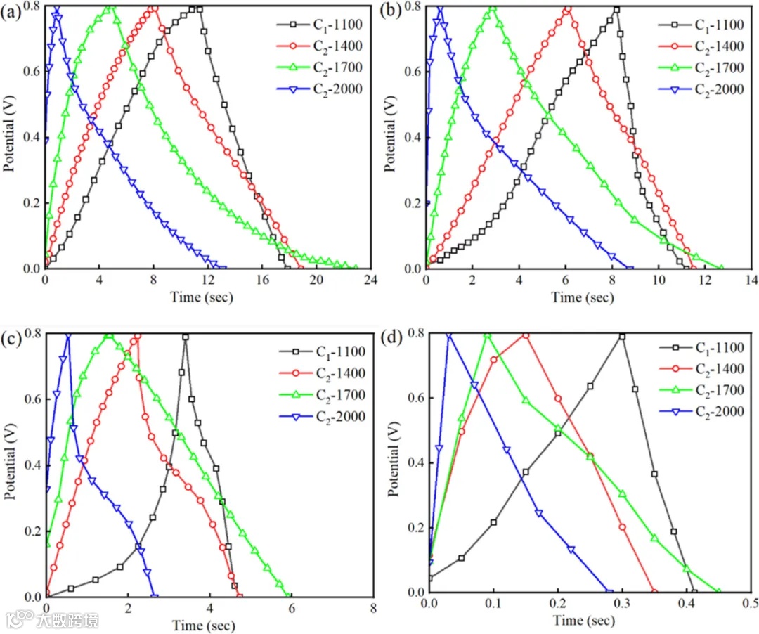
循环伏安曲线与恒流充放电测试验证了改性碳黑的高比电容和稳定性能,体现了其应用优势。
未来,基于本研究成果,进一步探索碳材料在能源存储、传感器与高性能电子器件中的应用具有重要意义。通过对工艺条件的优化与多领域协同研究,预计将大幅提升碳材料的性能表现和应用范围,为新材料技术的发展注入新的活力。
欢迎关注我们的公众号或访问官方网站(https://www.zhongkejingyan.com.cn/
如果您对设备有兴趣,欢迎联系张老师:13121391941


