聚烯烃塑料,包括低密度聚乙烯、高密度聚乙烯和聚丙烯,是塑料废物中占比最大的类别,约占60%。尽管机械回收在废物管理中扮演着重要角色,但对于聚烯烃等材料,它往往无法生产出高质量的回收材料。因此,化学回收技术,如催化裂化、加氢裂解和催化热解,成为将聚烯烃转化为燃料和润滑油的有前景的方法。然而,这些技术通常能耗高,且需要额外步骤来生产单体。为了克服这些限制,本研究探索了电化学回收方法,特别是通过快速焦耳加热技术,利用H-ZSM-5催化剂在毫秒级时间内高效地将聚烯烃塑料解构成C2-C4烯烃,这一过程不仅提高了单体的选择性,还显著降低了能耗和二氧化碳排放,为塑料废物的循环利用开辟了新途径。
2024年7月5日,特拉华大学Dionisios G. Vlachos教授等人在《Nature Communications》上发表了题为“Recycling polyolefin plastic waste at short contact times via rapid joule heating”的论文。本研究提出了一种创新的化学回收策略,旨在通过电化学方法将聚烯烃塑料废物高效转化为轻质烯烃(C2-C4),以减轻其在垃圾填埋场和环境中的积累。尽管将聚烯烃真正循环转化为高产量、低能耗、低碳排放的C2-C4单体在实际的聚合物-催化剂比例下一直是一个技术挑战,本研究成功展示了一种利用快速脉冲焦耳加热(Rapid Pulse Joule Heating,RPH)技术的单步电化学方法。该方法在H-ZSM-5催化剂的作用下,能够在毫秒级时间内高效地将聚烯烃塑料解构为轻质烯烃,且在远高于以往研究的聚合物-催化剂比例下实现高生产率。该催化剂对于产生窄分布的轻质烯烃至关重要。此外,脉冲操作和蒸汽共给技术的应用,使得解构过程具有高度的选择性(产品组分超过90%为C2-C4烃类),同时最小化了催化剂的失活,与传统的连续焦耳加热相比,显示出明显的优势。本实验室规模的方法不仅验证了对真实废物材料的有效解构能力,还表现出对添加剂和杂质的耐受性,以及在循环聚烯烃塑料废物管理中的多功能性。这一成果为聚烯烃塑料的化学回收提供了一种高效、环保的新途径,具有重要的学术意义和应用前景。
本研究深入探讨了聚烯烃塑料废物的化学解构技术,旨在通过创新的电化学方法实现其高效转化。聚烯烃,包括低密度聚乙烯(LDPE)、高密度聚乙烯(HDPE)和聚丙烯(PP),是塑料废物中最主要的成分,约占总量的60%。尽管机械回收在废物管理中扮演着关键角色,但对于聚烯烃等材料,其回收产物往往品质不高。因此,化学升级回收技术应运而生,旨在将这些塑料转化为更高价值的产品,如燃料、润滑油和蜡。
然而,聚烯烃中的碳-碳键难以活化,这使得现有化学回收过程能耗高且产品选择性低。传统的化学回收方法,如图1所示的路径1,通常需要通过加氢裂化产生石脑油,再经过高温蒸汽裂化转化为C2-C4烯烃,这一过程不仅能耗高,而且需要多个步骤。为了克服这些挑战,本研究提出了一种直接的电化学方法——快速脉冲焦耳加热(Rapid Pulse Joule Heating, RPH),在H-ZSM-5催化剂的作用下,能够在毫秒级时间内将聚烯烃直接转化为C2-C4烯烃。

图 1: 将聚烯烃转化为单体的化学路径。路径1包括在高压氢气条件下对塑料进行加氢裂化,以产生石脑油,然后通过高温蒸汽裂解转化为 C2–C4 烯烃。路径2展示了通过快速脉冲或连续焦耳加热在 H-ZSM-5 催化剂上直接转化聚烯烃的方法。
在实验过程中,研究人员优化了反应参数,如图2所示,包括直流电压、脉冲数量、聚合物与催化剂的比例以及氦气流量,以实现最佳的单体转化率和产物分布。实验结果表明,通过调节这些参数,能够显著提高轻质烯烃的产率和选择性。此外,研究人员还发现脉冲操作和蒸汽共给能够显著提高解构的选择性,并减少催化剂的积碳,从而降低了催化剂的失活速率。

图 2: 在不同操作条件下,热的和催化的快速脉冲加热(RPH)对低密度聚乙烯(LDPE)解构的性能。
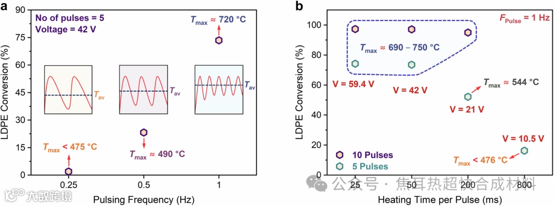
图3进一步探讨了脉冲参数对解构效率的影响,包括脉冲频率和加热时间。这些发现为实现更高效、更环保的聚烯烃塑料回收提供了重要的指导。

图 3: 脉冲对转化率的影响。
在比较连续焦耳加热(Continuous Joule Heating, CJH)与快速脉冲焦耳加热(RPH)的效果时,如图4所示,研究人员发现尽管CJH在轻质烯烃产率上略有优势,但RPH在催化剂的可重复使用性方面表现更佳。此外,研究人员还发现共给蒸汽能够进一步提高轻质烯烃的产率并减少积碳,如图5所示。
图 4: 加热模式性能和催化剂重复使用比较。

图 5: 共给蒸汽对性能的影响。
最后,研究人员还验证了RPH技术对各种实际塑料废物的解构能力,如图6所示,包括不同来源的聚乙烯和聚丙烯材料,以及含有添加剂和杂质的实际塑料。这些结果证明了RPH技术的普适性和对实际应用的适应性。通过这些系统的实验和分析,本研究为聚烯烃塑料废物的电化学回收提供了一种高效、环保的新途径。
图 6: 不同原料及其它文献研究的性能比较。
本研究提出的快速脉冲焦耳加热(Rapid Pulse Joule Heating, RPH)技术在催化裂解聚烯烃废物方面展现出巨大潜力,能够有效地将聚烯烃解聚为单体。得益于碳素纤维纸(CFP)的超快速反应器加热能力,塑料解构仅需500毫秒(通过10个50毫秒的脉冲)。H-ZSM-5催化剂促进了聚合物向轻质烃类的高效转化,在完全转化时C2-C4产品收率超过75%。此外,该技术在文献中的现有研究中实现了生产力的显著提升,催化剂用量仅为现有技术的约1/50至1/200。
尽管连续焦耳加热(Continuous Joule Heating, CJH)在提高轻质烯烃产量方面相比RPH有所改善,但其催化剂失活现象更为严重。在RPH中共给蒸汽可以减少积碳,从而增加了单体产量,性能优于CJH。值得注意的是,我们在完全转化时展示了超过90%的C2-C4烃类产品收率,突显了RPH在单体生产方面的潜力。产物中丙烯与乙烯的高比例(约2.6-3.5)表明该技术特别适合于丙烯的生产。与传统的催化热解相比,聚合物的薄膜结构消除了热传递限制,省去了与之相关的庞大反应器,从而实现了模块化系统。
此外,RPH对各种实际原料的有效性为从聚烯烃生产单体开辟了新的途径,提供了一种可持续的方法,同时减少了相关的二氧化碳排放。尽管所提出的电化学反应器在将塑料废物转化为单体方面显示出前景,但它目前仅是一个原型实验室规模的框架,其商业化潜力有限。需要进一步开发,特别是在反应器设计上以便于扩大规模和连续运行,以及优化产品回收方法。此外,在更大规模上的基准测试对于促进实际大规模实施至关重要。
Esun Selvam, Kewei Yu, Jacqueline Ngu, Sean Najmi & Dionisios G. Vlachos. Recycling polyolefin plastic waste at short contact times via rapid joule heating. Nat Commun 15, 5662 (2024).
https://doi.org/10.1038/s41467-024-50035-3
