大数跨境

北航Carbon:焦耳加热技术赋能激光诱导石墨烯纸基微电容性能飞跃

北航Carbon:焦耳加热技术赋能激光诱导石墨烯纸基微电容性能飞跃 中科精研材料制备技术研究院
2025-02-10
0
点击蓝字|关注我们




导语



随着便携式和微型化柔性电子技术的不断发展,对下一代具有更高功率能量密度、灵活性、形状多样性以及更高模块化和集成度的储能设备的需求日益增长。微超级电容器(MSCs)作为一种新型储能器件,因其超高功率密度、超快充放电速率、优异的循环稳定性、环境友好性和显著安全性等优点,在便携式电子设备、智能穿戴设备等领域展现出巨大的应用潜力。
然而,目前基于激光诱导石墨烯(LIG)的MSCs存在着电容性能有限的瓶颈,限制了其进一步发展和应用。


研究亮点
  • 创新的焦耳加热处理方法北京航空航天大学罗斯达教授团队提出引入焦耳加热作为一种关键的原位处理手段,结合激光诱导石墨烯纸基MSC(LIGP-MSC)的组装以实现电容增强。
  • 显著提升的电容性能:通过将热处理温度从20°C提高到500°C,LIGP中形成了越来越多的纳米孔,显著提高了其比表面积(从160.97 m²/g增加到533.49 m²/g)和孔体积(从0.179 cm³/g增加到0.553 cm³/g),从而显著提升了电容性能。
  • 快速高效的制备过程:只需5分钟,在550°C下加热即可实现J-LIGP-MSC的比面积电容(CA)达到12.61 mF/cm²,展现出卓越的机械灵活性、循环性和模块化。
图文解读

图1:J-LIGP-MSCs制备过程

通过激光转化、原位焦耳加热、激光图案化切割和MSCs组装四步法制备了J-LIGP-MSCs。利用CO₂激光器处理商用PI纸,通过调整激光参数直接转化LIGP,进而通过焦耳加热改善其电导率和亲水性,最终通过激光切割成形并组装成电容器。

图2:结构与成分变化

通过TG-DSC和XPS分析揭示了焦耳加热处理后LIGP中非晶碳的分解和石墨烯结构的重构,Raman光谱和XRD分析进一步证实了非晶碳的消除和晶体质量的提升。

图3:比表面积与孔隙结构

BET比表面积分析和孔径分布分析显示,焦耳加热处理显著增加了LIGP的比表面积和孔隙体积,形成了大量1.5至5纳米尺寸的孔隙,为电解液渗透提供了更多的活性位点。

图4:电导率与亲水性

J-LIGP的电导率和亲水性随加热温度的变化结果表明,焦耳加热处理可以显著改善LIGP的亲水性,增强其电化学性能。

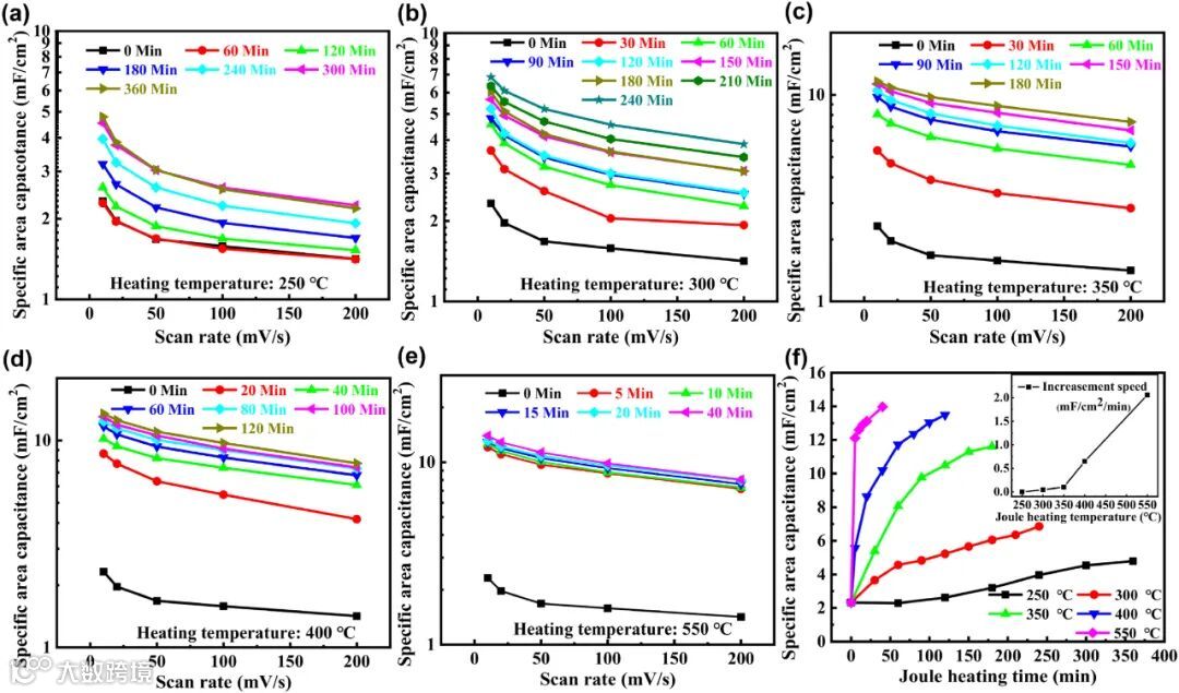
图5:电容性能提升

循环伏安(CV)和恒流充放电(CC)测试结果表明,随着焦耳加热处理温度的升高,J-LIGP-MSCs的比面积电容(CA)显著增加,表明焦耳加热处理是提升LIGP基电容器性能的有效手段。

图6:焦耳加热时间的影响

进一步探讨了焦耳加热时间对电容性能的影响,结果表明,在一定温度范围内,加热时间的延长可以进一步提升电容器的性能。

图7:机械灵活性与可扩展性

展示了J-LIGP-MSCs的机械柔性、循环稳定性和可扩展性,证实了其在弯曲、折叠等机械变形下的性能稳定性,并可通过串联或并联的方式实现定制化的电压和电容输出,具有广泛的应用前景。
    总结与展望
本研究提出了一种基于焦耳加热的原位处理方法,用于提高激光诱导石墨烯(LIG)基微超级电容器(MSCs)的电容性能。通过分析J-LIGP的微观结构和成分变化,研究发现焦耳加热可以分解LIGP中的非晶碳,并形成纳米级孔,从而显著提高其比表面积、孔体积和润湿性。这些结构变化导致J-LIGP-MSCs的电容性能显著提升,例如,500°C焦耳加热的J-LIGP-MSCs在10 mV/s扫描速率下的比面积电容(CA)达到13.71 mF/cm²,是未加热LIGP-MSCs的六倍。此外,J-LIGP-MSCs还展现出良好的柔韧性、稳定性和可扩展性,使其成为高性能柔性储能器件的理想选择。
在材料科学和能源存储领域,高效的实验设备是推动科研进展的关键因素之一。深圳中科精研科技有限公司推出的高通量全自动焦耳加热装置,为材料制备带来了革命性的变革。该装置具备毫秒级升温(最快升温速率可达1000℃/S-20000℃/S)、高通量处理(同时处理25个以上样品)、全自动化操作(支持24小时不间断运行)以及广泛的适用性(适用于多种材料体系),能够显著提升科研效率。这种先进的焦耳加热装置不仅能够满足科研人员在高温实验中的多样化需求,还能为类似LIG基MSCs的制备提供强大的技术支持,助力科研人员在高性能材料和能源存储领域取得更多突破性成果。

🚀 点击图片,立即领取专属大礼! 🎁


【声明】内容源于网络
0
0
中科精研材料制备技术研究院
内容 0
粉丝 0
中科精研材料制备技术研究院
总阅读0
粉丝0
内容0