电-芬顿(EF)技术作为一种高效的电化学高级氧化过程,在降解持久性有机污染物方面表现出显著效果。该技术通过在阴极原位生成过氧化氢(H2O2),并通过金属离子催化活化产生羟基自由基(·OH),有效降低了H2O2处理和储存的风险。然而,H2O2的合成和活化仍是EF技术中的关键挑战。为了提高催化效率,研究者们转向了异质电-芬顿(hetero-EF)技术,利用固体催化剂改性电极,如Fe基金属碳材料,以促进H2O2的原位生成和活化。此外,多金属掺杂的碳材料,如锰基材料,因其高可用性和多价态特性,显示出了提升电子传输和催化活性的潜力。为了解决多金属掺杂不均匀的问题,高温冲击(HTS)技术被引入,通过焦耳热提供大梯度热场,实现金属的均匀掺杂和纳米颗粒的均匀分散,同时在金属纳米颗粒表面形成稳定的碳层,为制备高效催化剂提供了新途径。
2022年,天津大学王灿、赵欣、李彦超等在《Chemosphere》上发表了题为“Mn doping improves in-situ H2O2 generation and activation in electro-Fenton process by Fe/Mn@CC cathode using high-temperature shock technique" 的论文。本研究成功通过高温冲击(High-temperature shock, HTS)技术制备了Fe/Mn@碳布(CC)复合材料,并将其应用于异质电-芬顿(Heterogeneous electro-Fenton, hetero-EF)过程中,以实现甲基异噻唑啉酮(Methylisothiazolinone, MIT)的降解。Fe/Mn@CC电极上的纳米晶体被掺杂了铁和锰氧化物,并被碳层覆盖,显著提高了电催化性能,具有高电化学活性表面积和低电阻。该Fe/Mn@CC改性阴极能够有效地原位产生并活化过氧化氢(H2O2),表现出对MIT降解的高电催化活性。在30 mA电流、0.75 L/min通气强度和初始pH值为3的条件下,100分钟内实现了95.2%的MIT降解效率。通过循环伏安曲线和稳定性测试,研究揭示了Fe/Mn@CC中FeII/MnII的动力学有利再生和H2O2的活化。FeII/III和MnII/III之间的电子转移,以及阴极上直接的FeII/MnII再生,显著促进了H2O2的利用,最终导致了MIT的降解。该研究不仅展示了HTS技术在制备高效电-芬顿催化剂方面的潜力,也为实际水处理应用提供了新的策略。

在本研究中,通过高温冲击(HTS)技术成功制备了Fe/Mn@碳布(CC)复合材料,并将其应用于异质电-芬顿(hetero-EF)过程中,以实现甲基异噻唑啉酮(MIT)的高效降解。制备的Fe/Mn@CC阴极通过掺杂Fe和Mn氧化物并覆盖碳层,显著提升了电催化性能,具有高电化学活性表面积和低电阻。该复合材料能够在较短时间内实现MIT的高效降解,展示了其在水处理领域的应用潜力。
图1 展示了Fe/Mn@CC阴极的制备过程。首先,碳布经过超声清洗和干燥处理,随后浸泡在含有MnSO4和FeCl3的混合溶液中,再次进行干燥处理,最终通过HTS技术在60A电流、32V电压、1100°C最高温度和真空氛围下制备出Fe/Mn@CC。
图2 通过扫描电子显微镜(SEM)和透射电子显微镜(TEM)图像,展示了Fe/Mn@CC的形貌特征。SEM图像显示了Fe/Mn颗粒在碳布上的多面体和球形形态,TEM图像则揭示了Fe/Mn颗粒被碳层包裹的核心-壳结构。元素映射分析进一步证实了Fe和Mn在碳布上的均匀分布。
图3 通过X射线光电子能谱(XPS)分析,揭示了Fe/Mn@CC中C、O、Fe和Mn元素的存在,以及Fe和Mn的掺杂状态。Fe 2p和Mn 2p的高分辨谱图显示了Fe和Mn的不同价态,表明了材料表面的氧化态。
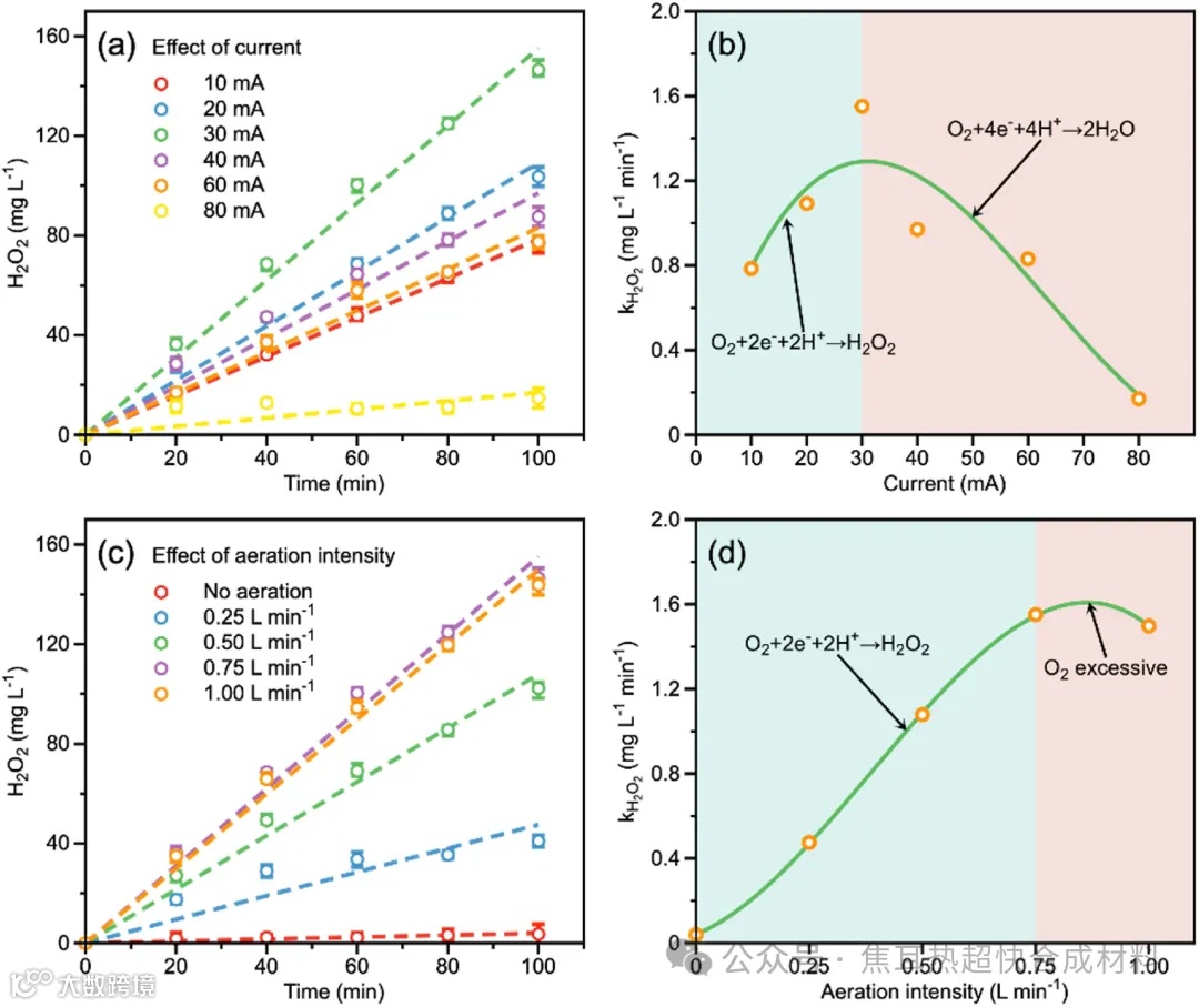
图4 研究了在不同电流和通气强度下H2O2的生成情况。结果显示,H2O2的生成速率随着电流和通气强度的增加而增加,但当电流超过30 mA时,H2O2的生成速率开始下降。这可能是由于高电流密度下发生的副反应。
图5 展示了不同反应参数对MIT降解效率的影响。结果表明,Fe/Mn@CC阴极在60分钟内对MIT的降解效率最高,且随着电流的增加,降解速率常数增加。此外,初始MIT浓度和通气强度也显著影响降解效率。
图6 探讨了自由基在MIT降解过程中的作用。通过使用不同的自由基清除剂,研究了·OH和·O2−在降解过程中的贡献。结果表明,·OH是MIT降解的主要活性物质。
图7 为Fe/Mn@CC阴极在hetero-EF过程中的反应机制示意图,展示了Fe和Mn在催化剂表面促进电子转移和H2O2活化的过程,以及金属催化剂在氧化还原反应中的重要作用。
本研究不仅展示了Fe/Mn@CC复合材料在电-芬顿系统中的高效催化性能,而且为设计和优化水处理催化剂提供了重要的实验数据和理论基础。
总结与展望
本研究成功利用高温冲击(HTS)技术合成了Fe和Mn共掺杂的Fe/Mn@CC电极材料,并在异质电-芬顿(hetero-EF)反应中展现出卓越的性能。制备的复合材料具有以下独特优势:
纳米粒子的均匀分布:通过HTS技术,实现了Fe和Mn氧化物在碳布上的均匀掺杂,这不仅扩大了活性位点的暴露,还提高了质量传递速率。
碳壳结构:复合材料外层的碳壳结构有效防止了纳米粒子的聚集,保障了材料的长期稳定性。
多价态特性:Fe和Mn的多价态特性增强了电荷转移,提高了催化活性。
在CC表面原位生成的H2O2表现出1.552 mg L−1 min−1的生产效率,作为hetero-EF反应的有效催化剂,Fe/Mn@CC电极在pH 3条件下对甲基异噻唑啉酮(MIT)的最大降解速率可达0.069 min−1。自由基捕获和测量实验证实了·OH是有机化合物降解的主要活性物质。低价态的Mn加速了Fe3+/Fe2+的还原,确保了H2O2的持续活化。此外,Fe和Mn之间的紧密接触有利于催化剂表面的电子转移,显著提高了Fe/Mn@CC的降解速率。由于MnO2的存在,Fe/Mn@CC纳米复合材料具有良好的循环性,经过三次反应后效率仍保持在95.0%。
总体而言,本研究不仅证明了通过HTS技术制备电-芬顿阴极的可行性,而且还证实了Fe/Mn双金属催化剂的高催化性能。这些发现为开发新型高效水处理技术提供了重要的科学依据和技术支持。未来研究可以进一步优化复合材料的制备工艺,探索其在更广泛的污染物处理中的应用,并评估其在实际水处理环境中的长期稳定性和经济性。此外,深入研究催化剂的微观结构与催化性能之间的关系,将有助于设计出更加高效、稳定的水处理材料。
Yanchao Li, Can Wang, Shuang Pan, Xin Zhao, Ning Liu. Mn doping improves in-situ H2O2 generation and activation in electro-Fenton process by Fe/Mn@CC cathode using high-temperature shock technique. Chemosphere, 2022
https://doi.org/10.1016/j.chemosphere.2022.136074.
