
-
超快速制备方法:本研究提出了一种利用闪蒸焦耳加热技术在约3秒内制备晶态V2O3和非晶态钠钒酸盐(V2O3/a-NVO)异质结构的方法,有效解决了传统钒基氧化物阴极材料的固有缺陷。 -
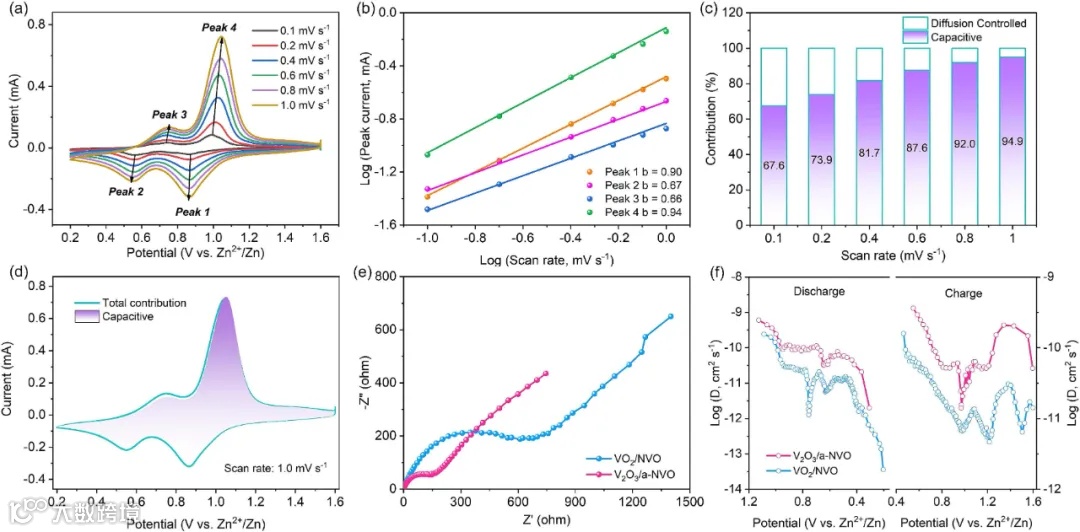
显著的电化学性能:V2O3/a-NVO异质结构展现出显著的伪电容贡献和加速的反应动力学,以及独特的质子插入机制,增强了电荷动力学。 -
优异的循环稳定性:在10 A/g的大电流密度下经过5000个循环后,该异质结构仍能保持138 mAh/g的高容量,显示出卓越的长期循环稳定性。
实验结果与方法
-
异质结构制备:通过将商业V2O5粉末在NaCl溶液中搅拌,与尿素前驱体混合,在石英管中通过闪蒸焦耳加热设备进行高温烧结,快速热冲击过程促进了尿素的快速热解,生成由晶态V2O3和非晶态钠钒酸盐(NVO)组成的异质结构。 -
物理化学结构分析:XRD图谱显示V2O3/a-NVO样本中V2O3和NVO的特征峰,证实了异质结构的成功构建。SEM和HRTEM图像展示了V2O3/a-NVO异质结构的形貌变化,元素分布图显示了O、V和Na原子的均匀分布。
-
图1:展示了V2O3/a-NVO异质结构的制备过程和XRD图谱,证实了异质结构的成功构建。 
-
图2:通过SEM和HRTEM图像展示了V2O3/a-NVO异质结构的形貌变化。
-
图3:XPS和XAS测量结果表征了V2O3/a-NVO异质结构的电子结构和元素组成。
-
图4:展示了V2O3/a-NVO阴极作为ZIBs阴极的电化学性能。
-
图5:评估了V2O3/a-NVO电极的电化学动力学行为。
-
图6:通过原位XRD表征,揭示了V2O3/a-NVO电极在充放电状态下的结构演变。
如果您对设备有兴趣,欢迎联系张老师:13121391941


